
OWNER’S MANUAL
INFRARED RADIOMETER
Models SI-411, SI-421, SI-431, and SI-4H1
(including SS models)

APOGEE INSTRUMENTS, INC.
721 WEST 1800 NORTH, LOGAN, UTAH 84321, USA TEL: (435) 792-4700 | FAX: (435) 787-8268
WEB: APOGEEINSTRUMENTS.COM
DECLARATION OF CONFORMITY
EU Declaration of Conformity
This declaration of conformity is issued under the sole responsibility of the manufacturer:
Apogee Instruments, Inc. 721 W 1800 N
Logan, Utah 84321 USA
for the following product(s):
Models: SI-411, SI-421, SI-431, SI-4H1 Type: Infrared Radiometer
The object of the declaration described above is in conformity with the relevant Union harmonization legislation:
2014/30/EU Electromagnetic Compatibility (EMC) Directive
2011/65/EU Restriction of Hazardous Substances (RoHS 2) Directive
Standards referenced during compliance assessment:
EN 61326-1:2013 Electrical equipment for measurement, control and laboratory use EMC requirements
EN 50581:2012 Technical documentation for the assessment of electrical and electronic products with respect to the restriction of hazardous substances
Please be advised that based on the information available to us from our raw material suppliers, the products manufactured by us do not contain, as intentional additives, any of the restricted materials including cadmium, hexavalent chromium, lead, mercury, polybrominated biphenyls (PBB), polybrominated diphenyls (PBDE).
Further note that Apogee Instruments does not specifically run any analysis on our raw materials or end products for the presence of these substances, but rely on the information provided to us by our material suppliers.
Signed for and on behalf of:
Apogee Instruments, May 2016
Bruce Bugbee
President
Apogee Instruments, Inc.
INTRODUCTION
All objects with a temperature above absolute zero emit electromagnetic radiation. The wavelengths and intensity of radiation emitted are related to the temperature of the object. Terrestrial surfaces (e.g., soil, plant canopies, water, snow) emit radiation in the mid infrared portion of the electromagnetic spectrum (approximately 4-50 µm).
Infrared radiometers are sensors that measure infrared radiation, which is used to determine surface temperature without touching the surface (when using sensors that must be in contact with the surface, it can be difficult to maintain thermal equilibrium without altering surface temperature). Infrared radiometers are often called infrared thermometers because temperature is the desired quantity, even though the sensors detect radiation.
Typical applications of infrared radiometers include plant canopy temperature measurement for use in plant water status estimation, road surface temperature measurement for determination of icing conditions, and terrestrial surface (soil, vegetation, water, snow) temperature measurement in energy balance studies.
Apogee Instruments SI series infrared radiometers consist of a thermopile detector, germanium filter, precision thermistor (for detector reference temperature measurement), and signal processing circuitry mounted in an anodized aluminum housing, and a cable to connect the sensor to a measurement device. All radiometers also come with a radiation shield designed to minimize absorbed solar radiation, but still allowing natural ventilation. The radiation shield insulates the radiometer from rapid temperature changes and keeps the temperature of the radiometer closer to the target temperature. Sensors are potted solid with no internal air space and are designed for continuous temperature measurement of terrestrial surfaces in indoor and outdoor environments. SI-400 series sensors output a digital signal using SDI-12 protocol version 1.3.
SENSOR MODELS
| Model | Output |
| SI-400 Series | SDI-12 |
| SI-100 Series | Voltage |

Sensor model number and serial number are located on a label near the pigtail leads on the sensor cable. If you need the manufacturing date of your sensor, please contact Apogee Instruments with the serial number of your sensor.
The four FOV options and associated model numbers are shown below:

SPECIFICATIONS
| SI-411 | SI-421 | SI-431 | SI-4H1 | |
| Input Voltage Requirement | 5.5 to 24 V DC | |||
| Current Drain | 0.6 mA (quiescent),1.3 mA (active) | |||
| Calibration Uncertainty (-20 to 65 C), when target and detector temperature are within 20 C | 0.2 C | 0.2 C | 0.3 C | 0.2 C |
| Calibration Uncertainty (-40 to 80 C), when target and detector temperate are different by more than 20 C (see Calibration Traceability below) | 0.5 C | 0.5 C | 0.6 C | 0.5 C |
| Measurement Repeatability | less than 0.05 C | |||
| Stability (Long-term Drift) | less than 2 % change in slope per year when germanium filter is maintained in a clean condition (see Maintenance and Recalibration section below) | |||
| Response Time | 0.6 s, time for detector signal to reach 95 % following a step change; fastest data transmission rate for SDI-12 circuitry is 1 s | |||
| Response Time | 22º half angle | 18º half angle | 14º half angle | 32º horizontal half angle; 13º vertical half angle |
| Spectral Range | 8 to 14 µm; atmospheric window (see Spectral Response below) | |||
| Operating Environment | -45 to 80 C; 0 to 100 % relative humidity (non-condensing) | |||
| Dimensions | 23 mm diameter; 60 mm length | |||
| Mass | 190 g (with 5m of lead wire) | |||
| Cable | 5 m of two conductor, shielded, twisted-pair wire; additional cable available in multiples of 5 m; santoprene rubber jacket (high water resistance, high UV stability, flexibility in cold conditions); pigtail lead wires | |||
Calibration Traceability
Apogee SI series infrared radiometers are calibrated to the temperature of a custom blackbody cone held at multiple fixed temperatures over a range of radiometer (detector/sensor body) temperatures. The temperature of the blackbody cone is measured with replicate precision thermistors thermally bonded to the cone surface. The precision thermistors are calibrated for absolute temperature measurement against a platinum resistance thermometer (PRT) in a constant temperature bath. The PRT calibration is directly traceable to the NIST.
Spectral Response

Spectral response of SI series infrared radiometers. Spectral response (green line) is determined by the germanium filter and corresponds closely to the atmospheric window of 8-14 µm, minimizing interference from atmospheric absorption/emission bands (blue line) below 8 µm and above 14 µm. Typical terrestrial surfaces have temperatures that yield maximum radiation emission within the atmospheric window, as shown by the lackbody
curve for a radiator at 28 C (red line).
DEPLOYMENT AND INSTALLATION
The mounting geometry (distance from target surface, angle of orientation relative to target surface) is determined by the desired area of surface to be measured. The field of view extends unbroken from the sensor to the target surface. Sensors must be carefully mounted in order to view the desired target and avoid including unwanted surfaces/objects in the field of view, thereby averaging unwanted temperatures with the target temperature (see Field of View below). Once mounted, the green cap must be removed. The green cap can be used as a protective covering for the sensor, when it is not in use.
An Apogee Instruments model AM-210 mounting bracket is recommended for mounting the sensor to a cross arm or pole. The AM-210 allows adjustment of the angle of the sensor with respect to the target and accommodates the radiation shield designed for all SI series infrared radiometers.

Field of View
The field of view (FOV) is reported as the half-angle of the apex of the cone formed by the target surface (cone base) and the detector (cone apex), as shown below, where the target is defined as a circle from which 98 % of the radiation detected by the radiometer is emitted.

Sensor FOV, distance to target, and sensor mounting angle in relation to the target will determine target area.
Different mounting geometries (distance and angle combinations) produce different target shapes and areas, as shown below.

A simple FOV calculator for determining target dimensions based on infrared radiometer model, mounting height, and mounting angle, is available on the Apogee website: http://www.apogeeinstruments.com/using-your-apogeeinstruments-infrared-radiometer/.
CABLE CONNECTORS
Apogee started offering in-line cable connectors on some bare-lead sensors in March 2018 to simplify the process of removing sensors from weather stations for calibration by not requiring the full cable to be uninstalled back to the data logger.
The ruggedized M8 connectors are rated IP67, made of corrosion-resistant marine-grade stainless-steel, and designed for extended use in harsh environmental conditions.
Instructions
Pins and Wiring Colors: All Apogee connectors have six pins, but not all pins are used for every sensor. There may also be unused wire colors inside the cable. To simplify data logger connection, we remove the unused pigtail lead colors at the data logger end of the cable.
If you ever need a replacement cable, please contact us directly to ensure ordering the proper pigtail configuration.
Alignment: When reconnecting your sensor, arrows on the connector jacket and an aligning notch ensure proper orientation.
Disconnection for extended periods: When disconnecting the sensor for an extended period of time from a station, protect the remaining half of the connector still on the station from water and dirt with electrical tape or other method.
Tightening: Connectors are designed to be firmly finger-tightened only. There is an o-ring inside the connector that can be overly compressed if a wrench is used. Pay attention to thread alignment to avoid crossthreading. When fully tightened, 1-2 threads may still be visible.

Inline cable connectors are installed 30 cm from the head (pyranometer pictured)

A reference notch inside the connector ensures proper alignment before tightening.

When sending sensors in for calibration, only send the short end of the cable and half the connector.

Finger-tighten firmly
OPERATION AND MEASUREMENT
All SI-400 series radiometers have an SDI-12 output, where target and detector temperatures are returned in digital format. Measurement of SI-400 series radiometers requires a measurement device with SDI-12 functionality that includes the M or C command.
VERY IMPORTANT: Apogee changed all wiring colors of our bare-lead sensors in March 2018 in conjunction with the release of inline cable connectors on some sensors. To ensure proper connection to your data device, please note your serial number or if your sensor has a stainless-steel connector 30 cm from the sensor head then use the appropriate wiring configuration below.
Wiring for SI-400 Series with Serial Numbers range 0-3056

Wiring for SI-400 Series with Serial Numbers 3057 and above or with a cable connector

Sensor Calibration
Apogee SI series infrared radiometers are calibrated in a temperature controlled chamber that houses a custombuilt blackbody cone (target) for the radiation source. During calibration, infrared radiometers (detectors) are held in a fixture at the opening of the blackbody cone, but are thermally insulated from the cone. Detector and target temperature are controlled independently. At each calibration set point, detectors are held at a constant temperature while the blackbody cone is controlled at temperatures below (12 C), above (18 C), and equal to the detector temperature. The range of detector temperatures is -15 C to 45 C (set points at 10 C increments). Data are collected at each detector temperature set point, after detectors and target reach constant temperatures.
All Apogee SDI-12 infrared radiometer models (SI-400 series) have sensor-specific calibration coefficients determined during the custom calibration process. Coefficients are programmed into the microcontroller at the factory. Calibration data for each sensor are provided on a calibration certificate (example shown on following page).

Calibration overview data are listed in box in upper left-hand corner, temperature errors are shown in graph, and calibration date is listed below descriptions of calibration procedure and traceability.
SDI-12 Interface
The following is a brief explanation of the serial digital interface SDI-12 protocol instructions used in Apogee SI-400 series infrared radiometers. For questions on the implementation of this protocol, please refer to the official version of the SDI-12 protocol: http://www.sdi-2.org/specification.php (version 1.4, August 10, 2016).
Overview
During normal communication, the data recorder sends a packet of data to the sensor that consists of an address and a command. Then, the sensor sends a response. In the following descriptions, SDI-12 commands and responses are enclosed in quotes. The SDI-12 address and the command/response terminators are defined as follows:
Sensors come from the factory with the address of “0” for use in single sensor systems. Addresses “1 to 9” and “A to Z”, or “a to z”, can be used for additional sensors connected to the same SDI-12 bus.
“!” is the last character of a command instruction. In order to be compliant with SDI-12 protocol, all commands must be terminated with a “!”. SDI-12 language supports a variety of commands. Supported commands for the Apogee Instruments SI-400 series infrared radiometers are listed in the following table (“a” is the sensor address. The following ASCII Characters are valid addresses: “0-9” or “A-Z”).
Supported Commands for Apogee Instruments SI-400 Series Infrared Radiometers
| Instruction Name | Instruction Syntax | Description |
| Send Identification Command | al! | Send Identification Information |
| Measurement Command | aM! | Tells the Sensor to take a Measurement |
| Measurement Command w/ Check Character | aMCI | Tells the Sensor to take a Measurement and return it with a Check Character |
| Change Address Command | aAb! | Changes the Address of the Sensor from a to b |
| Concurrent Measurement Command | aC! | Used to take a measurement when more than one sensor is used on the same data line |
| Concurrent Measurement Command w/ Check Character | aCC! | Used to take a measurement when more than one sensor is used on the same data line. Data is returned with a check character. |
| Address Query Command | ?! | Used when the address is unknown to have the sensor identify its address |
| Get Data Command | aDO! | Retrieves the data from a sensor |
Make Measurement Command: M!
The make measurement command signals a measurement sequence to be performed. Data values generated in response to this command are stored in the sensor’s buffer for subsequent collection using “D” commands. Data will be retained in sensor storage until another “M”, “C”, or “V” command is executed. M commands are shown in the following examples:
| Command | Response | Response to 0D0! |
| aM! or aM0! | a0011<cr><lf> | Target temperature |
| aM1! | a0012<cr><lf> | Target temperature and sensor body temperature |
| aM2! | a0012<cr><If> | Target millivolts and sensor body temperature |
| aMC! or aMC0! | a0011<cr><lf> | Target temperature w/ CRC |
| aMC1! | a0012<cr><lf> | Target temperature and sensor body temperature w/ CRC |
| aMC2! | a0012<cr><If> | Target millivolts and sensor body temperature w/CRC |
where a is the sensor address (“0-9”, “A-Z”, “a-z”) and M is an upper-case ASCII character.
The target temperature and sensor body temperature are separated by the sign “+” or “-“, as in the following example (0 is the address):
| Command | Sensor Response | Sensor Response when data is ready |
| 0M! | 00011<cr><lf> | 0<cr><lf> |
| 0D0! | 0+23.4563<cr><lf> | |
| 0M1! | 00012<cr><lf> | 0<cr><lf> |
| 0D0! | 0+23.4563+35.1236<cr><lf> | |
| 0M2! | 00012<cr><If> | 0<cr><If> |
| 0D0! | 0+1.0+35.1236<cr><If> |
where 23.4563 is target temperature, 1.0 is target millivolts, and 35.1236 is detector (sensor body) temperature.
Concurrent Measurement Command: aC!
A concurrent measurement is one which occurs while other SDI-12 sensors on the bus are also making measurements. This command is similar to the “aM!” command, however, the nn field has an extra digit and the sensor does not issue a service request when it has completed the measurement. Communicating with other sensors will NOT abort a concurrent measurement. Data values generated in response to this command are stored in the sensor’s buffer for subsequent collection using “D” commands. The data will be retained in the sensor until another “M”, “C”, or “V” command is executed:
| Command | Response | Response to 0D0! |
| aC! | a00101<cr><lf> | Target temperature |
| aC1! | a00102<cr><lf> | Target temperature and sensor body temperature |
| aC2! | a00102<cr><If> | Target millivolts and sensor body temperature |
| aCC! | a00101<cr><lf> | Target temperature w/ CRC |
| aCC1! | a00102<cr><lf> | Target temperature and sensor body temperature w/ CRC |
| aCC2! | a00102<cr><If> | Target millivolts and sensor body temperature w/CRC |
where a is the sensor address (“0-9”, “A-Z”, “a-z”, “*”, “?”) and C is an upper-case ASCII character.
For example (0 is the address):
| Command | Sensor Response |
| 0C! | 000101<cr><lf> |
| 0D0! | 0+23.4563<cr><lf> |
| 0C1! | 000102<cr><lf> |
| 0D0! | 0+23.4563+35.1236<cr><lf> |
| 0C2! | 000102<cr><If> |
| 0D0! | 0+1.0+35.1236<cr><If> |
where 23.4563 is target temperature, 1.0 is target millivolts, and 35.1236 is detector (sensor body) temperature.
Change Sensor Address: aAb!
The change sensor address command allows the sensor address to be changed. If multiple SDI-12 devices are on the same bus, each device will require a unique SDI-12 address. For example, two SDI-12 sensors with the factory address of 0 requires changing the address on one of the sensors to a non-zero value in order for both sensors to communicate properly on the same channel:
| Command | Response | Description |
| aAb! | b<cr><lf> | Change the address of the sensor |
where a is the current (old) sensor address (“0-9”, “A-Z”), A is an upper-case ASCII character denoting the instruction for changing the address, b is the new sensor address to be programmed (“0-9”, “A-Z”), and ! is the standard character to execute the command. If the address change is successful, the datalogger will respond with the new address and a <cr><lf>.
Send Identification Command: aI!
The send identification command responds with sensor vendor, model, and version data. Any measurement data in the sensor’s buffer is not disturbed:
| Command | Response | Description |
| aI! | a13Apogee SI-4mmvvvxx…xx<cr>lf> | The sensor serial number and other identifying values are returned |
where a is the sensor address (“0-9”, “A-Z”, “a-z”, “*”, “?”), mm is a the sensor model number (11, 21, 31, or H1), vvv is a three character field specifying the sensor version number, and xx…xx is serial number.
Metadata Commands
Identify Measurement Commands
The Identify Measurement Commands can be used to view the command response without making a measurement. The command response indicates the time it takes to make the measurement and the number of data values that it returns. It works with the Verification Command (aV!), Measurement Commands (aM!, aM1! … aM9!, aMC!, aMC1! … aMC9!), and Concurrent Measurement Commands (aC!, aC1! … aC9! , aCC!, aCC1! … aCC9!). The format of the Identify Measurement Command is the address, the capital letter I, the measurement command, and the command terminator (“!”), as follows:
<address>I<command>!
The format of the response is the same as if the sensor is making a measurement. For the Verification Command and Measurement Commands, the response is atttn<CR><LF>. For the C Command, it is atttnn<CR><LF>. For the High Volume Commands, it is atttnnn<CR><LF>. The address is indicated by a, the time in seconds to make the measurement is indicated by ttt, and the number of measurements is indicated by n, nn, and nnn. The response is terminated with a Carriage Return (<CR>) and Line Feed (<LF>). Identify Measurement Command example:
| 3IMC2! | The Identify Measurement Command for sensor address 3, M2 command, requesting a CRC. |
| 30032<CR><LF> | The response from sensor address three indicating that the measurement will take three seconds and two data values will be returned. |
Identify Measurement Parameter Commands
The Measurement Parameter Commands can be used to retrieve information about each data value that a command returns. The first value returned is a Standard Hydrometeorological Exchange Format (SHEF) code. SHEF codes are published by the National Oceanic and Atmospheric Administration (NOAA). The SHEF code manual can be found at http://www.nws.noaa.gov/oh/hrl/shef/indexshef.htm. The second value is the units of the parameter. Additional fields with more information are optional.
The Measurement Parameter Commands work with the Verification Command (aV!), Measurement Commands (aM!, aM1! … aM9!, aMC!, aMC1! … aMC9!), and Concurrent Measurement Commands (aC!, aC1! … aC9! , aCC!, aCC1! … aCC9!).
The format of the Identify Measurement Parameter Command is the address, the capital letter I, the measurement command, the underscore character (“_”), a three-digit decimal number, and the command terminator (“!”). The three-digit decimal indicates which number of measurement that the command returns, starting with “001” and continuing to “002” and so on, up to the number of measurements that the command returns.
<address>I<command>_<three-digit decimal>!
The format of the response is comma delimited and terminated with a semicolon. The first value is the address. The second value is the SHEF code. The third value is the units. Other optional values may appear, such as a description of the data value. The response is terminated with a Carriage Return (<CR>) and Line Feed (<LF>).
a,<SHEF Code>,<units>;<CR><LF>
Identify Measurement Parameter Command example:
| 1IC_001! | The Identify Measurement Parameter Command for sensor address 1, C command, data value 1. |
| 1,RW,Watts/meter squared, incoming solar radiation;<CR><LF> | The response from sensor address 1, SHEF code RW, units of Watts/meter squared, and additional information of incoming solar radiation. |
Target Temperature Measurement
SI-400 series infrared radiometers have an SDI-12 output. The following equations and the custom calibration coefficients described in this section are programmed into the microcontroller. Target temperature is output directly in digital format.
The detector output from SI series radiometers follows the fundamental physics of the Stefan-Boltzmann Law, where radiation transfer is proportional to the fourth power of absolute temperature. A modified form of the Stefan-Boltzmann equation is used to calibrate sensors, and subsequently, calculate target temperature:
![]()
where TT is target temperature [K], TD is detector temperature [K], SD is the millivolt signal from the detector, m is slope, and b is intercept. The mV signal from the detector is linearly proportional to the energy balance between the target and detector, analogous to energy emission being linearly proportional to the fourth power of temperature in the Stefan-Boltzmann Law.
During the calibration process, m and b are determined at each detector temperature set point (10 C increments across a -15 C to 45 C range) by plotting measurements of TT4 TD4 versus mV. The derived m and b coefficients are then plotted as function of TD and second order polynomials are fitted to the results to produce equations that determine m and b at any TD:
![]()
Where C2, C1, and C0 are the custom calibration coefficients listed on the calibration certificate (shown above) that comes with each SI-100 series radiometer (there are two sets of polynomial coefficients, one set for m and one set for b). Note that TD is converted from Kelvin to Celsius (temperature in C equals temperature in K minus 273.15) before m and b are plotted versus TD.
To make measurements of target temperatures, Eq. (1) is rearranged to solve for TT [C], measured values of SD and TD are input, and predicted values of m and b are input:
![]()
Emissivity Correction
Appropriate correction for surface emissivity is required for accurate surface temperature measurements. The simple (and commonly made) emissivity correction, dividing measured temperature by surface emissivity, is incorrect because it does not account for reflected infrared radiation.
The radiation detected by an infrared radiometer includes two components: 1. radiation directly emitted by the target surface, and 2. reflected radiation from the background. The second component is often neglected. The magnitude of the two components in the total radiation detected by the radiometer is estimated using the emissivity (ε) and reflectivity (1 – ε) of the target surface:
![]()
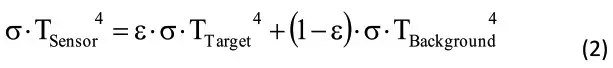
where E Sensor is radiance [W m-2 sr-1] detected by the radiometer, E Target is radiance [W m-2 sr-1] emitted by the target surface, E Background is radiance [W m-2 sr-1] emitted by the background (when the target surface is outdoors the background is generally the sky), and is the ratio of non-blackbody radiation emission (actual radiation emission) to blackbody radiation emission at the same temperature (theoretical maximum for radiation emission). Unless the target surface is a blackbody ( = 1; emits and absorbs the theoretical maximum amount of energy based on temperature), E sensor will include a fraction (1– ε ) of reflected radiation from the background.
Since temperature, rather than energy, is the desired quantity, Eq. (1) can be written in terms of temperature using the Stefan-Boltzmann Law, E = T4 (relates energy being emitted by an object to the fourth power of its absolute temperature):
![]()
where T Sensor [K] is temperature measured by the infrared radiometer (brightness temperature), T Target [K] is actual temperature of the target surface, T Background [K] is brightness temperature of the background (usually the sky), and is the Stefan-Boltzmann constant (5.67 x 10-8 W m-2 K-4). The power of 4 on the temperatures in Eq. (2) is valid for the entire blackbody spectrum.
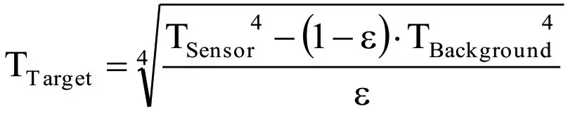
Rearrangement of Eq. (2) to solve for T Target yields the equation used to calculate the actual target surface temperature (i.e., measured brightness temperature corrected for emissivity effects):
![]()
Equations (1)-(3) assume an infinite waveband for radiation emission and constant € at all wavelengths. These assumptions are not valid because infrared radiometers do not have infinite wavebands, as most correspond to the atmospheric window of 8-14 um, and € varies with wavelength. Despite the violated assumptions, the errors for emissivity correction with Eq. (3) in environmental applications are typically negligible because a large proportion of the radiation emitted by terrestrial objects is in the 8-14 um waveband (the power of 4 in Eqs. (2) and (3) is a reasonable approximation), for most terrestrial objects does not vary significantly in the 8-14 um waveband, and the background radiation is a small fraction (1 — ε) of the measured radiation because most terrestrial surfaces have high emissivity (often between 0.9 and 1.0). To apply Eq. (3), the brightness temperature of the background (Tgackgrouna) Must be measured or estimated with reasonable accuracy. If a radiometer is used to measure background temperature, the waveband it measures should be the same as the radiometer used to measure surface brightness temperature. Although the ¢ of a fully closed plant canopy can be 0.98-0.99, the lower € of soils and other surfaces can result in substantial errors if ¢ effects are not accounted for.
MAINTENANCE AND RECALIBRATION
Blocking of the optical path between the target and detector, often due to moisture or debris on the filter, is a common cause of inaccurate measurements. The filter in SI series radiometers is inset in an aperture, but can become partially blocked in four ways:
- Dew or frost formation on the filter.
- Salt deposit accumulation on the filter, due to evaporating irrigation water or sea spray. This leaves a thin white film on the filter surface. Salt deposits can be removed with a dilute acid (e.g., vinegar). Salt deposits cannot be removed with solvents such as alcohol or acetone.
- Dust and dirt deposition in the aperture and on the filter (usually a larger problem in windy environments). Dust and dirt are best removed with deionized water, rubbing alcohol, or in extreme cases, acetone.
- Spiders/insects and/or nests in the aperture leading to the filter. If spiders/insects are a problem, repellent should be applied around the aperture entrance (not on the filter).
Clean inner threads of the aperture and the filter with a cotton swab dipped in the appropriate solvent. Never use an abrasive material on the filter. Use only gentle pressure when cleaning the filter with a cotton swab, to avoid scratching the outer surface. The solvent should be allowed to do the cleaning, not mechanical force.
It is recommended that infrared radiometers be recalibrated every two years. See the Apogee webpage for details regarding return of sensors for recalibration (http://www.apogeeinstruments.com/tech-support-recalibrationrepairs/).
TROUBLESHOOTING AND CUSTOMER SUPPORT
Independent Verification of Functionality
The simplest way to check sensor functionality is the aM2! command. This command returns detector temperature and detector voltage output. Detector temperature should read very near room temperature. When the aperature of the sensor is covered with aluminum foil, the voltage output should read very near 0 mV.
If the sensor does not communicate with the datalogger, use an ammeter to check the current drain. It should be near 0.6 mA when the sensor is not communicating and spike to approximately 1.3 mA when the sensor is communicating. Any current drain greater than approximately 6 mA indicates a problem with power supply to the sensors, wiring of the sensor, or sensor electronics.
Compatible Measurement Devices (Dataloggers/Controllers/Meters)
Any datalogger or meter with SDI-12 functionality that includes the M or C command.
An example datalogger program for Campbell Scientific dataloggers can be found on the Apogee webpage at http://www.apogeeinstruments.com/content/Infrared-Radiometer-Digital.CR1.
Modifying Cable Length
SDI-12 protocol limits cable length to 60 meters. For multiple sensors connected to the same data line, the maximum is 600 meters of total cable (e.g., ten sensors with 60 meters of cable per sensor). See Apogee webpage for details on how to extend sensor cable length (http://www.apogeeinstruments.com/how-to-make-aweatherproof-cable-splice/).
Signal Interference
In instances where SI-400 series radiometers are being used in close proximity to communications (near an antenna or antenna wiring), it may be necessary to alternate the data recording and data transmitting functions (i.e., measurements should not be made when data are being transmitted wirelessly). If EMI is suspected, place a tinfoil cap over the front of the sensor and monitor the signal voltage from the detector. The signal voltage should remain stable at (or very near) zero.
APOGEE INSTRUMENTS, INC, | 721 WEST 1800 NORTH, LOGAN, UTAH 84321, USA
TEL: (435) 792-4700 | FAX: (435) 787-8268 | WEB: APOGEEINSTRUMENTS.COM
Copyright ©2018 Apogee instruments, Inc.


















