![]()
AN1335: RS9116 SoC Crystal Selection Guide
Version 1.1
August 1, 2021
silabs.com | Building a more connected world.
+ AN1335: RS9116 SoC Crystal Selection Guide
Version 1.1
RS9116 SoC – 40 MHz Crystal Selection Guide
This Application Note provides guidelines in selecting the 40 MHz crystal oscillator that is needed for RS9116 SoCbased designs.
RS9116 SoC devices contain a 40 MHz crystal oscillator. Topics covered here include oscillator theory and some recommended crystals for these devices.
This document supports RS9116 SoC devices. SoC devices include QMS and WMS packages.
RS9116 requires an external 32 kHz clock for certain applications. Check RS9116 datasheet for details about the external 32 kHz clock requirements. This Application Note does not provide details about the external 32 kHz clock.
Oscillator Theory
2.1 What is an Oscillator?
An oscillator is an electronic circuit that generates a repetitive or periodic time-varying signal. In the context of RS9116 SoC devices, this oscillator signal is used to clock the execution of instructions and peripherals in the device. For radio communication, the oscillator also provides an accurate and low noise frequency reference to the transceiver. There are multiple ways of generating such a signal, each with different properties that influence project cost, the board size, and the stability of the clock signal.
2.1.1 RC Oscillators
RC oscillators are built from resistors, capacitors, and an inverting amplifier. They come at a low cost and have a shorter startup time than the crystal oscillator but are generally less accurate and produce more noise. The RS9116 SoC devices provide multiple internal RC-oscillators including one high-frequency RC oscillator and one low frequency
RC oscillator. While the internal RC oscillators can ensure proper operation of the RS9116 SoC device, they are inadequate for applications such as radio communication.
2.1.2 Crystal Oscillators
Crystal oscillators use the mechanical vibration of a crystal to generate the clock signal. Due to the molecular composition of the crystal matter and the angle in which the crystal is cut, this type of oscillator is very precise and stable over a wide temperature range. The most used crystal is the quartz crystal. Producing quartz crystals requires very stable temperature and pressure conditions over a few weeks. This makes crystal oscillators more expensive than RC oscillators.
2.1.3 Piezoelectricity
Quartz crystals hold the direct piezoelectric property. This means an applied electric field will cause the crystal to deform. Conversely, a deformation of the crystal will cause a voltage across the terminals. Once the oscillator has started, the changing voltage on the terminals of the vibrating crystal is used as the clock signal. 2.2 Basic Principle of Oscillators![]()
The principle behind the oscillator is a positive feedback loop satisfying the Barkhausen condition: If the closed-loop gain is larger than unity and the total phase lag is 360°, the resulting closed-loop system is unstable and will self reinforce. This is a necessary, but not a sufficient condition for oscillations to be present. When the necessary conditions are met, any disturbance (noise) in the oscillator will cause oscillations to start. The frequency that fulfills the Barkhausen condition is amplified the most because it is in phase with the original signal.
The initial oscillations are very weak, and it takes time to amplify the signal to the desired magnitude. When oscillations are established, only a small amount of energy is needed to compensate for losses in the circuit. Mathematically, a closed-loop gain of one is required to maintain steady-state oscillations. The RS9116 SoC relies on an adjustable
current source controlled by the automatic gain controller to achieve and maintain the desired amplitude.
The figure above shows that the oscillator circuitry consists of two parts: an amplification stage and a filter that decides which frequency experiences a 360° phase lag. In the case of a crystal oscillator, the filter consists of the crystal and external load capacitors.
2.2.1 Startup Time
The magnitude of the closed-loop gain has a great influence on the startup time. Low gain can cause excessively long startup time or failure, and too high gain can also make the startup to fail altogether. The ideal gain is dependent on the negative resistance of the oscillator circuit, which is defined in the Negative Resistance in the Crystal Parameters section.
For the same reason, the oscillation frequency influences the startup time. A crystal in the kHz range would have a considerably longer startup time than a crystal in the MHz range because the time it takes to circulate the loop is longer. Typical startup times for the RS9116 SoC are 300-600 µs.
2.2.2 Modeling the Crystal
The crystal can be described by the electrical equivalent circuit as shown in the figure below.![]()
- Cs is the motional capacitance. It represents the piezoelectric charge gained from a displacement in the crystal.
- Rs is the motional resistance. It represents the mechanical losses in the crystal.
- Ls is the motional inductance. It represents the moving mass in the crystal.
- C0 is the shunt capacitance between the electrodes and stray capacitance from the casing.
For low frequencies, the electrical equivalent circuit will exhibit capacitive behavior. The presence of the inductor becomes more noticeable as the frequency, and thus the reactance, increases. Ignoring the shunt capacitance C0, the series resonant frequency is defined where the reactance of the inductor and capacitor cancels. At this frequency, the crystal appears only resistive with no shift in phase. The series resonance frequency, fS, therefore, determines the relationship between CS and LS. This can be calculated with the equation below. The series resonance frequency is the natural resonance frequency where the energy transformation between mechanical and electrical energy is most effective.![]()
At higher frequencies, the equivalent circuit will appear inductive, which implies higher impedance. When the inductive reactance from the crystal cancels the capacitive reactance from shunt capacitance C0, another resonance frequency with zero phase shift exists. This frequency is called the anti-resonant frequency, fA. At this frequency, the impedance is 0.![]()
The range of frequencies between fS and fA is called the area of parallel resonance and is where the crystal will normally oscillate. At the resonant frequency, the phase lag in the feedback loop is provided by an amplifier with 180° phase lag and two capacitors with a combined 180° phase lag. In practice, the amplifier provides a little more than 180° phase shift, which means the crystal must appear slightly inductive to fulfill the Barkhausen criterion.
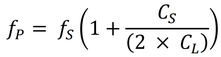
2.2.3 Series and Parallel Resonant Crystals
Physically there is no difference between series and parallel resonant crystals. Series resonant crystals are specified to oscillate at the series resonant frequency where the crystal appears with no reactance. Because of this, no external capacitance should be present as this would lower the oscillating frequency to below the natural resonance frequency.
These crystals are intended for use in circuits with no external capacitors where the oscillator circuit provides 360° phase shift.
Parallel resonant crystals require a capacitive load to oscillate at the specified frequency and this is the resonance mode required for RS9116 SoC devices. On RS9116 SoC devices, the load capacitors are located on-chip, and their values can be controlled by firmware. Thus, RS9116 SoC devices do not require external load capacitors, reducing
BOM cost and saving PCB space. The exact oscillation frequency for a parallel resonant crystal can be calculated with the equation below, where CL is the load capacitance seen by the crystal. CL is therefore an important design parameter and is given in the datasheet for parallel resonant crystals.![]()
RS9116 Crystal Oscillator
The RS9116 SoC has a 40 MHz internal oscillator mode that can be used by connecting a 40 MHz crystal between the pins XTAL_IN and XTAL_OUT. The SoC has integrated crystal load capacitors, eliminating the need for external components. Load capacitance must be calibrated and stored in eFuse using calibration software. Refer to AN1336 for the calibration procedure. The figure below shows the connections.![]()
Crystal Parameters
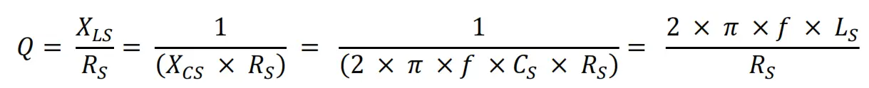
4.1 Quality Factor
The quality factor Q is a measure of the efficiency or the relative storage of energy to dissipation of energy in the crystal. For the electrical-equivalent circuit, the equation below states the relation between R, C and Q. In practice, crystals with higher Q-values are more accurate, but have a smaller bandwidth for which they oscillate. Therefore, high Q-factor crystals will start slower than crystals with higher frequency tolerance.![]()
XLS and XCS are the reactance of LS and CS, respectively, at the operating frequency of the crystal.
4.2 Load Capacitance
As seen in the equation below, the two capacitors CL1 and CL2 provide a capacitive load for the crystal. The effective load capacitance CL, as seen from the XTAL_IN and XTAL_OUT pins on the 9116 SoC is the series combination of CL1 and CL2 through the ground.![]()
Where: Cstray is the pin capacitance of the microcontroller and any parasitic capacitance and can often be assumed in the range 2-5pF.
Right choice of CL is important for proper operating frequency. Crystals with small load capacitance would typically start faster than crystals requiring a large CL. Large load capacitors also increase power consumption. It is recommended to use a crystal with CL as specified in Recommended Crystal section.
Note: The RS9116 SoC devices have internal loading capacitors and do not need external capacitors connected to the crystal. See the device datasheet or reference manual for more information.
4.3 Equivalent Series Resistance
The Equivalent Series Resistance is the resistance in the crystal during oscillation and varies with the resonance frequency. ESR, given by the equation below, will typically decrease with increasing oscillation frequency.![]()
The 40 MHz XO in the RS9116 SoC cannot guarantee startup of crystals with ESR larger than a certain limit. Please refer to the device datasheet for further details. The smaller the ESR, compared to this maximum value, the better gain margin for startup of the crystal which in turn reduces the startup time. Additionally, a small ESR value gives lower power consumption during oscillation.
Note that HF crystals have ESR of a few tens of Ohms as compared to the LF crystals, which have ESR values normally measured in kΩ. Therefore, a few Ohms of series resistance has more influence on the startup margin in the MHz range as compared to the kHz range.
4.4 Drive Level
Drive level is a measure of the power dissipated in the crystal. The crystal manufacturer should specify the maximum power dissipation value tolerated by the crystal in the crystal datasheet. Exceeding this value can damage the crystal.![]()
Here, I is the RMS current flowing through the crystal.
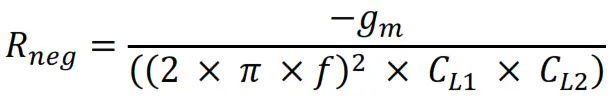
4.5 Minimum Negative Resistance
A critical condition for oscillations to build up requires the energy supplied to exceed the energy dissipated in the circuit. In other words, the negative resistance of the amplifier has to exceed the equivalent series resistance in the crystal. An approximate formula for negative resistance is given in the equation below.![]()
Where: gm is the transconductance of the oscillator circuitry.
To ensure safe operation of overall voltage and temperature variations, ensure that the ESR does not exceed the device datasheet maximum. This maximum value corresponds to the oscillator circuit’s realizable negative resistance.
If the crystal ESR does not satisfy this criterion, another crystal with lower ESR should be chosen. The equation above shows an approximate formula for this calculation which excludes shunt capacitance and internal loss.
4.6 Frequency Stability
Frequency stability is the maximum frequency deviation from the specified oscillating frequency over the given operating temperature range.
4.7 Frequency Tolerance
Frequency tolerance is the maximum frequency deviation from the specified oscillating frequency at 25 °C. This parameter gives an indication of variations between individual crystals.
Recommended Crystals
Below are the specifications of the 40 MHz crystal required for usage with RS9116 SoC. The product designer must ensure these are followed; if not, the crystal oscillator circuitry will not have stable operation and can lead to inoperative crystal oscillator circuitry.
| Parameter | Parameter Description | Min | Typ | Max | Units |
| Fosc | Oscillator Frequency | 40 | MHz | ||
| Mode | Mode of operation | Fundamental | |||
| Resonance | Series or Parallel resonance | Parallel | |||
| Drive | Drive level | 100 | uW | ||
| Fosc Acc | Frequency Variation with Temp and Voltage | -20 | 20 | ppm* | |
| ESR | Equivalent series resistance | 60 | Q | ||
| Load cap | Load capacitance range | 7 | 10 | pF | |
* NOTE: The Wi-Fi standard requires the transmit frequency to be within 20 ppm of the specified value. Crystal frequency is the reference for this, and the crystal may show a variation due to its manufacturing process, voltage, and temperature. In addition, crystal frequency also changes over time due to aging. To ensure that the transmit frequency
would be within +/- 20 ppm over the lifetime of the device, the frequency must be trimmed/calibrated during manufacture to provide sufficient margin to account for the drift. For example, if the frequency variation due to the process is 4 ppm, then the variation due to voltage, temperature, and aging must be lesser than 16 ppm.
The table below lists some of the crystals that have been used along with RS9116 SoC and tested. The designer must pick a crystal that satisfies their requirements on size, tolerance, and temperature range.
| Manufacturer | TXC | Epson | Transco |
| Frequency | 40 MHz | 40 MHz | 40 MHz |
| Part Number | 8Y40070013 | FA-20H 40.0000MF10Z-K3 | CS22-F10200008-40.000M-TR |
| CL (pF) | 8 | 10 | 8 |
| ESR max (Ω) | 30 | 40 | 60 |
| Frequency Tolerance (PPM) | ±8 | ±10 | ±10 |
| Frequency Stability (PPM) | ±16 | ±10 | ±20 |
| Drive Level (pW) Maximum | 200 | 200 | 300 |
| Operating Temp (deg C) | -40C to +105C | -20C to +75C | -40C to +85C |
PCB Layout Guidelines
The product designer must follow the guidelines below during PCB placement and routing:
- Since the total load capacitance is the summation of PCB trace capacitance and pin capacitance at the XTAL_IN and XTAL_OUT pins, it is recommended that the crystal be placed as close to the SoC as possible to minimize parasitic capacitance.
- Minimize trace lengths to less than 8 mm.
- Clocks and frequently switched signals should not be routed close to the crystal.
- Crystal traces should be protected with ground traces and guard rings.
- Do not cross the crystal signals with any other signal on any layer.
- Guard rings should not be connected to other ground connections on the PCB on Top layer.
- When two-layer PCBs are used, digital signals should not be routed on the opposite side of the PCB directly under the crystal.
- It is recommended to fill the opposite side of the PCB under the crystal with a clean ground plane.
The image below provides one of the examples, but the designer must find ways of improving the layout compared to the routed crystal below.
![]()
Testing
Once the crystal has been identified and samples obtained, product testing can begin. The product should be tested at applicable temperatures (like -40C, +25C, +85C) and supply voltage ranges. Also, multiple product samples may need to be tested. Ensure the crystal oscillator circuitry starts and maintains oscillation during the active period of RS9116. Sufficient operating margins must be ensured by the user, before finalizing the circuit.
For measuring the PPM of the crystal circuitry, the designer must essentially measure RF frequency. PPM can be calculated based on the expected and measured RF frequency values. PPM variation must be measured at various RF frequencies – at least min, mid, and max frequency values.
There is an option to configure the Crystal Good time in the software command ‘Opermode’. This command is in Config Feature Bitmap[24:25], as shown below. The default is 1000us. The current version of the Programming Reference Manual would have the latest information on configuring the parameters of the internal crystal oscillator. Crystal Good time must be programmed such that the crystal starts up and maintains oscillations within this time. Ensure there is a sufficient margin of at least 200us between the programmed Crystal Good time value and the measured Start-up time. If the margin is much higher, then the power consumption can be more, because RS9116 will be idle and wasting power till the programmed Good time is completed. So, consider both the measured Start-up time and Power consumption to program a suitable Crystal Good time value.
config_feature_bit_map[24:25]
Configurability options for 40MHz XTAL good time in
| BIT(25) | BIT(24) | Good time |
| 0 | 0 | 1000 |
| 0 | 1 | 2000 |
| 1 | 0 | 3000 |
| 1 | 1 | 600 |
Listed below are the guidelines for measuring the Start-up time of the Crystal oscillator circuit. Ensure that the Start-up
time is 600us (max), across all testing conditions.
- Use an active probe with a capacitance not more than 1pF.
- Connect the probe between XTAL_IN and GND pins.
- Run one of the applications for starting the RS9116’s crystal oscillator circuitry. For example, run the BLE advertising program.
- Set trigger on XTAL_IN at around 300mV.
- Change the time scale of the oscilloscope so that it can capture ~1ms duration after the trigger.
- The point at which XTAL_IN voltage amplitude abruptly settles indicates that fast start-up circuit is turned off and the XTAL clock is available (XTAL_VALID point).
- Measure the time interval between the first rise in XTAL_IN voltage and the point where the oscillations are stable. This point is referred to as XTAL_VALID (Here it is ~300us).
- Make sure that the oscillation doesn’t collapse after the XTAL_VALID point.
- Measure the peak to peak amplitude of oscillation once it is settled.
![]()
The image above shows the voltage at the XTAL_IN pin while the crystal oscillator is starting up, captured in the oscilloscope.
The time taken for the amplitude to cross the threshold is ~300us in this case, from the time when the oscillator is enabled (time between vertical markers M1 and M2). Once the amplitude threshold is crossed (vertical marker M2), fast start-up circuit is disabled and voltage amplitude at XTAL_IN stabilizes.
Soldering Guidelines
In general, soldering is a sensitive process, especially for low-frequency crystals. To reduce the impact of such a process on the crystal parameters user should consider the guidelines below. The user may also check guidelines from the crystal manufacturers and follow the same.
- Exposing crystals to temperatures above their maximum ratings can damage the crystal and affect their ESR value. Refer to the crystal datasheet for the right reflow temperature curve (if not provided, ask the manufacturer).
- PCB cleaning is recommended to obtain the maximum performance by removing flux residuals from the board after assembly (even when using “no-clean” products in ultra-low-power applications).
Summary
There is much to learn about crystals and crystal oscillators; however, this Application Note can only cover the basics of crystals and crystal oscillators to assist the product design engineer in selecting and using a crystal for the RS9116 SoC device. The reader is encouraged to study more in-depth the design and operation of crystal oscillators because they are such an important component in electronic designs today. The product design engineer should also consult with the crystal manufacturer about their product design needs.![]()
Disclaimer
Silicon Labs intends to provide customers with the latest, accurate, and in-depth documentation of all peripherals and modules available for system and software implementers using or intending to use the Silicon Labs products. Characterization data, available modules and peripherals, memory sizes and memory addresses refer to each specific device, and “Typical” parameters provided can and do vary in different applications. Application examples described herein are for illustrative purposes only. Silicon Labs reserves the right to make changes without further notice to the product information, specifications, and descriptions herein, and does not give warranties as to the accuracy or completeness of the included information. Without prior notification, Silicon Labs may update product firmware during the manufacturing process for security or reliability reasons. Such changes will not alter the specifications or the performance of the product. Silicon Labs shall have no liability for the consequences of use of the information supplied in this document. This document does not imply or expressly grant any license to design or fabricate any integrated circuits. The products are not designed or authorized to be used within any FDA Class Ill devices, applications for which FDA premarket approval is required or Life Support Systems without the specific written consent of Silicon Labs. A “Life Support System” is any product or system intended to support or sustain life and/or health, which, if it fails, can be reasonably expected to result in significant personal injury or death. Silicon Labs products are not designed or authorized for military applications. Silicon Labs products shall under no circumstances be used in weapons of mass destruction including (but not limited to) nuclear, biological or chemical weapons, or missiles capable of delivering such weapons. Silicon Labs disclaims all express and implied warranties and shall not be responsible or liable for any injuries or damages related to use of a Silicon Labs product in such unauthorized applications. Note: This content may contain offensive terminology that is now obsolete. Silicon Labs is replacing these terms with inclusive language wherever possible. For more information, visit www.silabs.com/about-us/inclusive-lexicon-project
Trademark Information
Silicon Laboratories Inc’, Silicon Laboratories®, Silicon Labs®, SiLabs® and the Silicon Labs logo’, Bluegiga Bluegiga Logo”, Clockbuilder% CMEMS”, DSPLL®, EFM®, EFM32®, EFR, Ember’, Energy Micro, Energy Micro logo and combinations thereof, “the world’s most energy friendly microcontrollers”, Ember”, EZLinke, EZRadioe, EZRadioPROe, Geckue, Gecko OS, Gecko OS Studio, ISOmodem®, Precision32e, ProSLICe, Simplicity Studio’, SiPHYe, Telegesis, the Telegesis Logo’, USBXpress®, Zentri, the Zentri logo and Zentri DMS, Z-Wave®, and others are trademarks or registered trademarks of Silicon Labs. ARM, CORTEX, Cortex-M3 and THUMB are trademarks or registered trademarks of ARM Hold-ings. Keil is a registered trademark of ARM Limited. Wi-Fi is a registered trademark of the Wi-Fi Alliance. All other products or brand names mentioned herein are trademarks of their respective holders.
![]()
Silicon Laboratories Inc.
400 West Cesar Chavez
Austin, TX 78701 USA
www.silabs.com


















