STEGO SHC 071 Sensor Hub and Sensors

Quick Start Guide
| Pin | Description |
| 1 | +24V DC |
| 2 | n/a |
| 3 | GND |
| 4 | IO-Link Kommunication |


| Art.-NO. Sensor x | Name |
| 07300.0-00 | SEN073 (temperature / humidity), IP64 |
| 07300.1-00 | SEN073 (temperature / humidity), IP20, 1m |
| 07300.1-01 | SEN073 (temperature / humidity), IP20, 2m |
| 07301.0-00 | SEN073 (pressure / temperature), IP64 |
| 07302.0-00 | SEN073 (light), IP67/IP66 |
| 07303.0-00 | SEN073 (VOC), IP40 |
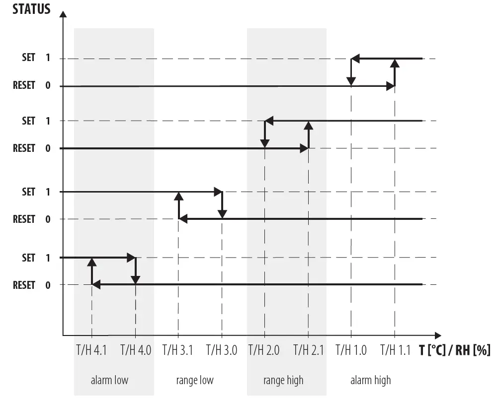
EVENTS (Example for one temperature/humidity-sensor)
| SET 1 | RESET 0 | |||
| EVENT | temperature T [°C] | humidity RH [%] | temperature T [°C] | humidity RH [%] |
| alarm high | T 1.1 | H 1.1 | T 1.0 | H 1.0 |
| range high | T 2.1 | H 2.1 | T 2.0 | H 2.0 |
| range low | T 3.1 | H 3.1 | T 3.0 | H 3.0 |
| alarm low | T 4.1 | H 4.1 | T 4.0 | H 4.0 |
STATUS

DIAGNOSIS
| Device status |
| Error counter |
| Operating hours |
| Power-On counter |
| Event counters for max. a nd min. temperature and humidity values |
| Event counters for adjustable temperature and humidity parameters |
| Temperature and humidity histogram-data |
| Reset counters for temperature and humidity events |
| Reset whole parameter (NOTE: Password required„stego“) |



EXAMPLE

WARNING: There is a risk of personal injury and equipment damage if the connection values are not observed or polarity is incorrect!


Application
The IO-Link sensor hub records measurement data (temperature, air humidity, pressure, light) from up to four external sensors.
It converts the measurement values into IO-Link data and transmits this via an IO-Link master to a higher-level control and monitoring level (PLC system, cloud).
Safety considerations
- The installation may only be carried out by qualified electricians in compliance with the respective national power supply guidelines (IEC 60364).
- The IO-Link sensor hub must be provided with an SELV power supply unit as per one of the following standards: IEC 60950-1, IEC 62368-1 or IEC 61010-1.
- The technical data on the rating plate must be strictly observed.
- In case of apparent damage or malfunction, the device may not be repaired or put into operation. (Dispose of device.)
- No changes or modifications must be made to the device.
Installation guidelines
- The device must not be operated in environments with aggressive atmospheres.
- Connection to round plug M12, IEC 61076-2-101, 4-pin, A-coded.
- The device must only be operated in an environment that ensures contamination class 2 (or better) in accordance with IEC 61010. Contamination class 2 means that only non-conductive contamination may occur. However, it is likely that there will occasionally be temporary conductivity caused by condensation.
- After the installation, the assignment of the input channels (1–4) of the device to the sensors must be checked.
- Before commissioning a higher-level system, the values of the connected sensors must be checked for plausibility.
Maintenance and disposal
- No maintenance or servicing measures are necessary.
- After use, the device must be disposed of in an environmentally friendly manner in line with applicable national regulations. IODD file
- Download the IODD file using the following link: www.stego-connect.com/software.
- Then import the IODD file into your control software.
- You can find detailed information on the device and the IODD parameters on the STEGO website.
Notice
The manufacturer accepts no liability in the case of failure to observe this brief instruction, improper use and changes or damage to the device.



















