SIGMA Electronic HandyStep Testing (SOP)

Introduction
The standard DIN EN ISO 8655 describes both the design and the testing of the repetitive pipette HandyStep® electronic and
HandyStep® S. The following Testing Instructions describe how to apply the ISO standard in practice.
We recommend a testing of the repetitive pipette every 3-12 months. This interval may be adjusted to individual requirements.
For example, when working very frequently or when using aggressive media, the instrument should be tested more frequently.
These Instructions may also be used as a basis for the monitoring of testing devices to DIN EN ISO 9001, DIN EN ISO 10012 and DIN EN ISO/IEC 17025.
Due to their PD-Tips, repetitive pipette allow the dispensing of long series in a stress-free and rapid way and with high precision. In combination with PD-Tips from BRAND, the HandyStep® S permits up to 49 pipetting steps, and the HandyStep® electronic up to 100 steps without refilling. The HandyStep® electronic features continuous volume adjustment and also allows the pipetting of liquids.
For the regular examinations required e.g. by DIN EN ISO 9001,DIN EN ISO 10012 and DIN EN ISO/IEC 17025 and the GLP Guidelines, you may also use the calibration service provided by BRAND (see chapter 7). Your instrument will be returned within a few days together with a test report. For more detailed information, please contact your labware supplier.
Preparation for testing and visual examination
Instrument identification
- Read instrument type (embossed on the casing) ⇒ Enter number into Test Record see page 10 (1).
- Read PD-Tip size ⇒ Enter size into Test Record (1).
- Read customer’s identification, if present ⇒ Enter identification into Test Record (1).
Minimal configuration of the HandyStep® electronic, resp. HandyStep® S
- HandyStep® electronic, resp. HandyStep® S
- PD-Tips ⇒ Use only appropriate dispenser tips. For best results, use original PD-Tips from BRAND.
Cleaning
- Clean the casing adequately. ⇒ Wipe with a moist cloth (water or diluted soapy solution).
Do not disassemble the instrument!
⇒ See Operating Manual for details.
Visual examination for damage
- Casing ⇒ Mechanical damage?
- PD-Tip ⇒ Scratches? Deformations? Mechanical damages?
Possible faults and corrective actions
| Problem | Possible cause | Corrective action |
| PD-Tip dripping | ■ PD-Tip leaking | Þ Replace PD-Tip |
| Important parts damaged | ■ Mechanical or chemical damage | Þ Send instrument in for repair |
Functional test
HandyStep® electronic
- Mount new PD-Tip
- Then PD_Tipis automatically recognized and with compatible dispenser tips simply enter the tip size.
- Adjustment of volume to be dispensed
- Filling the PD-Tip ⇒ Immerse PD-Tip into the testing liquid approx. 2 – 3 mm.
Aspirate liquid at a steady rate. - Hold the HandyStep® electronic vertically for ⇒ If a drop forms, see table below.
approx. 10 seconds and observe if a drop forms at the end of the tip. - Release the liquid step by step. ⇒ Liquid should emerge at a steady rate.
- Empty the PD-Tip completely and remove. ⇒ Enter findings into Test Record (3).
Possible faults and corrective actions:
| Problem | Possible cause | Corrective action |
| PD-Tip dripping | ■ PD-tip leaking | Þ Mount new PD-Tip |
| PD-Tip not recognized | ■ Type encoding missing or damaged, or tip not mounted correctly | Þ Mount new PD-Tip, or mount again. Select volume range if required. |
Note:
If the instrument displays an error message, follow the Operating Manual.
HandyStep® S
- Mount new PD-Tip
- Does the piston properly lock into place? ⇒ Operating key must move easily and smoothly.
- Does the volume adjustment work?
- Filling the PD-Tip ⇒ Immerse PD-Tip into the testing liquid and fill the tip. Operating key must move easily and smoothly.
- Hold the HandyStep® S vertically for approx.
10 seconds and observe if a drop forms at the end of the tip.
⇒ If a drop forms, see table at the end of this section. - Release the liquid step by step. ⇒ Liquid should emerge at a steady rate.
- Empty the PD-Tip completely and remove. ⇒ Enter findings into Test Record (3).
Possible faults and corrective actions:
| Problem | Possible cause | Corrective action |
| PD-Tip cannot be inserted | ■ Filling/locking key not in bottom position and not tilted upward. ■ Piston of the PD-Tip not inserted completely. | Þ Push filling/locking key all the way to the bottom, and tilt upward. Þ Push piston of the PD-Tip into the cylinder completely. |
| Filling/locking key cannot be pushed upward | ■ Filling/locking key not completely pushed in (closed). | Þ Push piston of the PD-Tip into the dispenser completely. Close the filling/locking key. |
| PD-Tip dripping | ■ PD-tip leaking | Þ Replace the PD-Tip. |
Note:
For additional examinations and adjustments, see the Operating Manual for HandyStep® S and HandyStep® electronic.
Equipment required for testing
For HandyStep® electronic, resp. HandyStep® S
- Recipient vessel filled with deionized water ⇒ Match temperature of water and room to 1 °C accuracy.
(e. g. Erlenmeyer flask)
(according to ISO 3696, at least quality) - Weighing vessel filled with small amount of ⇒ Bottom must at least be covered. In case of testing volumes
water (e. g. Erlenmeyer flask) < 100 μl, protect against evaporation. - Balance, recommended specifications:
| Selected volumea of appartatus under test V | Resulution
mg | Repeatability and linearity mg | Standard uncertainty of measurement µl |
| 1 µl < V < 10 µl | 0,001 | 0,002 | 0,002 |
| 10 µl < V < 100 µl | 0,01 | 0,02 | 0,02 |
| 100 µl < V < 1000 µl | 0,1 | 0,2 | 0,2 |
| 1 ml < V < 10 ml | 0,1 | 0,2 | 0,2 |
| 10 ml < V < 50 ml | 1 | 2 | 2 |
| a For practical purposes, the nominal volume may be used to choose the balance. | |||
- Thermometer with a measuring error of maximum ⇒ ± 0,2 °C
- Hygrometer: Considering the measuring tolerance of the hygrometer a relative atmospheric humidity of at least 40% shoul be reached.
- Place the HandyStep® electronic, resp. the ⇒ Allow instrument to adjust to room temperature
HandyStep® S, including appropriate tips, into the testing room for at least 1 hour (unpacked).
Traceability of test results to national standards
Through the use of calibrated testing devices (balance and thermometer), the requirement of DIN EN ISO 9001, DIN EN ISO 10012 and DIN EN ISO/IEC 17025 to refer the test to the national standard is fulfilled. The calibration of the balance e.g. can be carried out either by DAkkS calibration or official certification of the balance, or by calibrating the balance with appropiate weights that are traced to the national standard. The calibration of the thermometer, hygrometer and barometer can also be carried out by DAkkS calibration or official certification, or by a comparison with thermometers that are traced to the national standard (under defined conditions).
Gravimetric test (calibration)
HandyStep® electronic
This test can be carried out with PD-Tips of any size. However, size 5 ml is most commonly used for this purpose.
- Set instrument to nominal volume.
- Determine temperature of the deionized water. ⇒ Enter temperature into Test Record.
- Filling the PD-Tip ⇒ Immerse PD-Tip vertically into the testing liquid by 2 – 3 mm, and press the step key to take up liquid. After taking in liquid, the HandyStep® electronic will automatically compensate for play to minimize surface tension inside the tip. A small amount of liquid is thereby discharged.
- Place the weighing vessel (containing a small amount of deionized water) on the balance and tare.
- Remove weighing vessel from the balance.
- Dispense the first step into the weighing vessel. ⇒ Up to a volume of 5 ml, lean the PD-Tip against the wall of the vessel at an angle of about 30°-45°, then wipe it off against the wall (approx. 10 mm). Volumes over 5 ml may be dispensed in a free jet.
- Place the weighing vessel on the balance. ⇒ Enter weighed value into Test Record ((6.) V1)
- Re-tare the balance.
- Repeat steps 2 to 7 ten times. ⇒ Enter weighed values into Test Record ((6.) V1)
- Repeat the same testing procedure at 50 % and 10 % of nominal volume.
⇒ For weighings at 50 % (V2) and 10 % (V3) of nominal volume, there is no need to refill the HandyStep® electronic after each measurement, since volumes are dispensed in steps.
⇒ Enter all weighed values into the Test Record; a total of 30 values.
HandyStep® S
This test can be carried out with PD-Tips of any size. However, size 5 ml is most commonly used for this purpose.
- Set the HandyStep® S to Step 5.
- Determine temperature of the deionized water for testing.
⇒ Enter temperature into Test Record. - Filling the PD-Tip ⇒ Immerse PD-Tip vertically into the testing liquid by 2 – 3 mm.
- Reject the first step; it only serves to compensate for play to minimize surface tension inside the tip.
- Place the weighing vessel (containing a small amount of deionized water) on the balance and tare.
- Remove weighing vessel from the balance.
- Dispense the second step into the weighing vessel. ⇒ Up to a volume of 5 ml, lean the PD-Tip against the wall of the vessel at an angle of about 30°-45°. Push the dispensing lever at a steady rate to the first stop, hold it there, and wipe the tip off against the wall (approx. 10 mm). Volumes over 5 ml may be dispensed in a free jet.
- Place the weighing vessel on the balance. ⇒ Enter weighed value into Test Record ((6.) V1)
- Re-tare the balance.
- Repeat steps 6 to 9 ten times. ⇒ Enter weighed values into Test Record ((6.) V1); a total of 30 values.
Note:
At the Step 5 setting, the PD-Tip has to be filled again for dispensing the tenth step. - Repeat the same testing procedure at the settings Step 3 (V2) and Step 1 (V3).
Evaluation of gravimetric test results
The values obtained by weighing during the gravimetric test are only the mass values of dispensed volume. In order to obtain the actual volume, an adjustment calculation must be carried out. To facilitate your calculations and evaluations, we recommend the use of the Windows-compatible calibration software EASYCAL™ from BRAND.
The following calculations must be carried out:
- Mean weight:
(Example for 10 weighing values)
- Mean volume:

⇒ For factor Z, see Table 1.
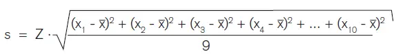
⇒ Enter value into Test Record (7a). - Standard deviation:

⇒ For factor Z, see Table 1.
⇒ Enter value into Test Record (6b). - Accuracy:

⇒ Enter value into Test Record (6c). - Coefficient of variation:

⇒ Enter value into Test Record (6d).
Comparison actual/nominal values:
- See tables of error limits and accuracy for each ⇒ Enter value into Test Record (6e, f).
instrument on the following pages, or define your own error limits.
Result:
⇒ Enter value into Test Record (6g).
If the calculated values A [%] and CV [%] are smaller than or equal to the error limits, the instrument is in good working order.
If the calculated values exceed the error limits:
- Verify if all instructions in this Manual have been followed carefully.
- Observe the ”Troubleshooting” information in the Operating Manual.
If these measures are not successful, we offer you the possibility to have your instruments calibrated by the BRAND Calibration Service (see page 12).
Table 1:
Excerpt from DIN EN ISO 8655, part 6.
Table refers to 1013 hPa
Validity range 980 hPa to 1040 hPa
| Temperature | Factor Z | Temperature | Factor Z | |
| °C | ml/g | °C | ml/g | |
| 15 | 1.0020 | 23 | 1.0035 | |
| 15.5 | 1.0020 | 23.5 | 1.0036 | |
| 16 | 1.0021 | 24 | 1.0038 | |
| 16.5 | 1.0022 | 24.5 | 1.0039 | |
| 17 | 1.0023 | 25 | 1.0040 | |
| 17.5 | 1.0024 | 25.5 | 1.0041 | |
| 18 | 1.0025 | 26 | 1.0043 | |
| 18.5 | 1.0026 | 26.5 | 1.0044 | |
| 19 | 1.0027 | 27 | 1.0045 | |
| 19.5 | 1.0028 | 27.5 | 1.0047 | |
| 20 | 1.0029 | 28 | 1.0048 | |
| 20.5 | 1.0030 | 28.5 | 1.0050 | |
| 21 | 1.0031 | 29 | 1.0051 | |
| 21.5 | 1.0032 | 29.5 | 1.0052 | |
| 22 | 1.0033 | 30 | 1.0054 | |
| 22.5 | 1.0034 |
Table 2:
Excerpt from DIN EN ISO 8655, part 5.
| Nominal volume µl | 1 | 2 | 3 | 10 | 20 | 50 | 100 | 200 | 500 |
| A ±% | 5 | 5 | 2.5 | 2 | 1.5 | 1.0 | 1 | 1 | 1 |
| CV % | 5 | 5 | 3.5 | 2.5 | 2.0 | 1.5 | 1.0 | 1.0 | 0.6 |
| Nominal volume ml | 1.0 | 2.0 | 5.0 | 10 | 25 | 50 | |||
| A ±% | 1 | 0.8 | 0.6 | 0.5 | 0.5 | 0.5 | |||
| CV % | 0.4 | 0.4 | 0.3 | 0.3 | 0.3 | 0.25 | |||
Table 3:
Volumetric error limits for repetitive pipette:
The stated error limits refer to new instruments under optimized testing conditions (qualified operators and standardized ambience conditions).
Accuracy table PD-Tips from BRAND, 20 °C ‚Ex‘ for testing with HandyStep® electronic
PD-Tip size
Volume range Testing volume (A* £ ± %) 100% 50% 10%
Testing volume (CV* £ %) 100% 50% 10%
| 0.1 ml 1 µl | – 100 µl | 1.0 | 1.0 | 1.6 | 0.5 | 1.0 | 2.0 |
| 0.5 ml 5 µl | – 500 µl | 0.9 | 0.9 | 1.0 | 0.3 | 0.6 | 1 |
| 1.0 ml 10 µl | – 1 ml | 0.6 | 0.9 | 1.0 | 0.3 | 0.5 | 0.8 |
| 1.25 ml 12.5 µl | – 1250 µl | 0.6 | 0.6 | 0.9 | 0.2 | 0.5 | 0.7 |
| 2.5 ml 25 µl | – 2500 µl | 0.5 | 0.6 | 0.7 | 0.15 | 0.3 | 0.6 |
| 5.0 ml 50 µl | – 5000 µl | 0.5 | 0.5 | 0.7 | 0.15 | 0.4 | 0.7 |
| 10.0 ml 100 µl | – 10 ml | 0.4 | 0.5 | 0.7 | 0.15 | 0.5 | 0.8 |
| 12.5 ml 125 µl | – 12.5 ml | 0.5 | 0.5 | 0.8 | 0.15 | 0.6 | 1.4 |
| 25.0 ml 250 µl | – 25 ml | 0.5 | 0.5 | 0.6 | 0.15 | 0.3 | 1.0 |
| 50.0 ml 500 µl | – 50 ml | 0.5 | 0.5 | 0.5 | 0.15 | 0.4 | 1.2 |
Error limits refer to the nominal volumes and partial volumes relative to the PD-Tip, obtained with instrument and distilled water at equilibrium with ambient temperature at 20 °C, and with smooth operation. The error limits defined in ISO 8655 are not exceeded.
A = Accuracy, CV = Coefficient of variation
The nominal volume is the maximum volume printed on the PD-Tip.
Accuracy table PD-Tips from BRAND, 20 °C ‚Ex‘ for testing with HandyStep® S
| PD-Tip size | Volume range | A* £ ± % Stroke setting = % of nominal volume | CV* £ % Stroke setting = % of nominal volume | ||||
| ml µl | 1 = 2% | 3 = 6% | 5 = 10% | 1 = 2% | 3 = 6% | 5 = 10% | |
| 0.1 2 – 10 | 4.0 | 2.4 | 1.6 | 6.0 | 3.0 | 2.0 | |
| 0.5 10 – 50 | 2.5 | 1.5 | 1.0 | 2.5 | 1.5 | 1.0 | |
| 1 20 – 100 | 2.5 | 1.5 | 1.0 | 2.0 | 1.2 | 0.8 | |
| 1.25 25 – 125 | 2.5 | 1.4 | 0.9 | 2.0 | 1.1 | 0.7 | |
| 2.5 50 – 250 | 1.8 | 1.1 | 0.7 | 1.5 | 0.9 | 0.6 | |
| 5 100 – 500 | 1.8 | 1.1 | 0.7 | 1.5 | 0.9 | 0.7 | |
| 10 200 – 1000 | 1.8 | 1.1 | 0.7 | 2.0 | 1.2 | 0.8 | |
| 12.5 250 – 1250 | 1.8 | 1.1 | 0.8 | 3.2 | 2.0 | 1.4 | |
| 25* 500 – 2500 | 1.5 | 0.9 | 0.6 | 3.0 | 1.5 | 1.0 | |
| 50* 1000 – 5000 | 1.5 | 0.8 | 0.5 | 5.0 | 1.8 | 1.2 | |
A* = Accuracy, CV* = Coefficient of variation
The nominal volume is the maximum volume printed on the PD-Tip.
Error limits refer to the partial volume set relative to the PD-Tip size, obtained at equal temperature (20 ºC) of instrument, tip, ambience and dist. H2O, and with smooth, steady operation. The testing is according to DIN EN ISO 8655-5.
For calibration, the error limits to be observed by the operator must be individually defined by the user. For this purpose, the following methods can be applied:
- If required by the application and if the optimized conditions for measuring are present, the stated error limits can also be expected in the case of used volumetric instruments in good working order.
- In analogy to the German regulations for official testing, it is also admissible to apply the limits which are typical for practice. These practice limits correspond to double the limits for official testing. In this case, the values found in Table 3 should be doubled.
- The user may also define his own individual tolerance limits corresponding to his particular application, and apply these error limits for the calibration of his instrument.
The above procedures fulfil the requirements of DIN EN ISO 9001, DIN EN ISO 10012 and DIN EN ISO/IEC 17025.
Test Record for Volumetric Instruments (EX)
| 1. Instrument: | 0 | HandyStep® electronic | 0 | HandyStep® S | 0 | |
| PD-Tip-size: | 0 | 0,1 ml | 0 | 2,5 ml | 0 | _______________________ |
| 0 | 0,5 ml | 0 | 5,0 ml | 0 | 25,0 ml | |
| 0 | 1,0 ml | 0 | 10,0 ml | 0 | 50,0 ml | |
| 0 | 1,25 ml | 0 | 12,5 ml | 0 | Other: | |
| Serial number: Customer’s identification: | ||||||
Damage: None
Type of damage:
Damage repaired
Functional defects: None
Type of functional defect:
Functional defect repaired
Water temperature: °C
Balance:
Thermometer:
Corrective factor Z:
Relative atmospheric humidity: 50 % ± 30 % (default value only)
Weighing values from gravimetric test
| Weighing No. | V1 = | V2 = | V3 = |
| x1 | |||
| x2 | |||
| x3 | |||
| x4 | |||
| x5 | |||
| x6 | |||
| x7 | |||
| x8 | |||
| x9 | |||
| x10 |
Evaluation of gravimetric test
| Procedure _ | V1 = | V2 = | V3 = | |
| a | V | |||
| b | s | |||
| c | A [%] found | |||
| d | CV [%] found | |||
| e | A [%] nominal | |||
| f | CV [%] nominal | |||
| g | Result | |||
The testing was carried out according to DIN EN ISO 8655.
Date: Signature:
Declaration on the Absence of Health Hazards
We intend to give our staff a maximum of protection from health hazards caused by contaminated instruments. We therefore ask for your understanding that we cannot carry out any calibration / repair unless this declaration is submitted completed and signed.
Re: Instrument Consignment dated / Re: Delivery Note No.
The Undersigned hereby declares:
- That the instruments have been carefully cleaned and decontaminated before shipment.
- That the instruments pose no danger through bacteriological, chemical, radiological or viral contamination.
- To be authorised to make declarations on behalf of the Institution represented.
- For calibrating service only: minor repairs of a value up to € 25,- + VAT will be carried out and invoiced without further queries (cross out if not applicable).
Company / Laboratory (Stamp)
Tel. / Fax / E-Mail
Name
Position
Date, Signature - In case of Return for Repair, please provide us with the following supplementary information:
Detected defect
Media which the instrument has been used with:
Calibration Service from BRAND
BRAND offers a full service including calibration and adjustment of Brand- and foreign instruments as well as maintenance and repair if necessary – only for BRAND- instruments. This saves money and adds the benefit of an independent review organisation for the calibration of the instruments.
Range of instruments covered
- Piston-operated pipettes (single- and multichannel)
- Bottletop dispensers
- Piston burettes (bottle-top burettes)
- Repetitive pipettes
Testing according to DIN EN ISO 8655
At BRAND, a team of qualified staff, working in temperature and humidity controlled rooms and using the state-of-the-art balances and calibration software, calibrates Liquid Handling instruments, regardless of their make, according to ISO 8655.
Instruments with adjustable volumes such as HandyStep® electronic, Transferpette®, Transferpette® S, Transferpette® electronic, Transferpette® S -8/-12. Transferpettor or Dispensette®, Digital Burette or Titrette® are tested at nominal volume, and at 50%, 10% or 20% of nominal volume.To document the results, a detailed Test Report is compiled which fully complies
with all relevant regulations.
To document the results, a detailed Test Report is compiled which fully complies with all relevant regulations.
The BRAND Calibration Service provides:
- Calibration of Liquid Handling instruments, regardless of their make
- Detailed calibration certificate
- Return of instrument within a few working days
- Cost-efficient handling
EASYCAL™ Software – advanced calibration technology
For liquid handling instruments and glass or plastic volumetric instruments

EASYCAL™ simplifies the tedious task of calibrating liquid handling instruments and glass or plastic volumetric instruments to DIN EN ISO 9001,DIN EN ISO 10012, DIN EN ISO/IEC 17025 and GLP standards. The procedures are outlined step-by-step, and all calculations are performed automatically. Reports are generated to document the calibration. All you need is an analytical balance, a PC Windows® 98/2000, NT (SP6), XP,Vista, 7, printer (optional) and EASYCAL™ software.
- Suitable for instruments from all manufacturers.
- Specifications of many instruments preloaded.
- Testing according to ISO 4787, ISO 8655, etc.
Data Entry
- Connect PC and balance (optional), then start the EASYCAL™ software.
- 100 common balances are preprogrammed for ease of installation.
Documentation – clearly arranged
The calibration certificate contains all important test data on one page.
DAkkS-Calibration Service for Volumetric Instruments at BRAND
DAkkS – Deutsche Akkreditierungsstelle GmbH and DKD
The German Calibration Service (DKD) was founded in 1977 as a joint task of state and economy and constitutes the link between the measuring equipment in industrial and research laboratories, testing institutions and authorities and the national standards of the PTB (the German Institute of Physics and Metrology). It effectively supplements the existing verification system which serves above all the purposes of consumer protection. Based on the legal requirements the DKD Accreditation was successively transformed to the DAkkS Accreditation (Deutsche Akkreditierungsstelle GmbH), starting from 2010. BRAND has been accredited by the DAkkS since Apr. 23, 2013, with the certificate number D-K-18572-

DAkkS-Calibration Certificate and Calibration Symbol
The DAkkS-Calibration Certificate documents officially on a high level the traceability of measuring results to national and international standards and to international SI-units, as required by standards as DIN EN ISO 9001 and DIN EN ISO/IEC 17025 for monitoring of measuring devices.
DAkkS-Calibration Certificates are issued when calibrations of an accredited laboratory are requested, when high level calibrations are necessary, when national and international standards are demanded and when reference instruments have to be calibrated.
DAkkS – A member in the International Accreditation Network
DAkkS is a member of the International Laboratory Accreditation Cooperation (ILAC), the highest level international institution for laboratory calibration, and is a signatory to the MRA – Mutual Recognition Agreements.
The accreditation bodies that are signatories to the ILAC mutual recognition agreements (MRAs) recognize their mutual equivalence, and the equivalence of the calibration certificates issued by those same signatories. Likewise, signatories are obliged generally to promote and recommend recognition of the calibration certificates of other signatories (excluding factory
calibration certificates).
The DAkkS is a member of the EA (European Co-operation for Accreditation), which again is a member of the ILAC
(International Laboratory Accreditation Cooperation). A multilateral agreement assures obligatory recognition of the DAkkS calibration certificate in a variety of countries.
DAkkS-Calibration Laboratory at BRAND
In 1998 a calibration laboratory for volumetric instruments at BRAND has been accredited by the German Calibration Service according to DIN EN ISO/ IEC 17 025. Our calibration laboratory is therefore authorized to issue DAkkS-Calibration Certificates (in several languages) for the volumetric instruments listed below. Furthermore we offer adjustment and – for BRAND
Liquid Handling instruments – repair and maintenance.
For ordering information on DAkkS-Calibration Certificates for volumetric instruments please consult our General Catalog.
Volumetric instruments for which BRAND issues DAkkS Calibration Certificates
BRAND calibrates the following volumetric instruments (new or already in use and regardless of their make):
- Piston-operated pipettes, from 0.1 μl to 10 ml
- Multichannel piston-operated pipettes, from 0.1 μl to 300 μl
- Piston-operated burettes, from 5 μl to 200 ml
- Dispensers, Dilutors, from 5 μl to 200 ml
- Volumetric instruments of glass, calibrated to contain (TC, In) from 1 μl to 10000 ml
- Volumetric instruments of glass, calibrated to deliver (TD, Ex) from 100 μl to 100 ml
- Volumetric instruments of plastic, calibrated to contain (TC, In) from 1 ml to 2000 ml
- Volumetric instruments of plastic, calibrated to deliver (TD, Ex) from 1 ml to 100 ml
- Density bottles of glass, from 1 cm3 to 100 cm3






















