ses imagotag VUSION Electronic Shelf Labels Instructions

Read all documents and system instructions carefully to minimize the risk of injuring
persons and to avoid damage to the system or damage to the environment.
Always keep all documents and guidance accessible.
If necessary, the content of this document will be updated. You can request the latest version of the document via [email protected].
Register at the https://portal.imagotag.com to get access to the latest software and documentation.
An electronic shelf label is a device that shows article data and price information on its display. In comparison to printed labels the information is automatically updated if price or article data changes.
The SES-imagotag electronic shelf label family offers high-quality display options, operating with a replaceable battery, thus working without any external power supply.
The SES-imagotag VUSION (2.4GHz) electronic shelf label family can change all pixels to black, white or red/yellow. The current line-up has display sizes from 1.6 inch to 12.2 inch. They may be used in landscape and portrait mode and can be configured in terms of radio, theft protection, display protection and LED flash.
General Key Features
- 2.4 GHz proprietary radio protocol
- Radio coverage: up to 25 meters
- Bi-directional communication
- 11 available communication channels
- Ultra-low power consumption
- Customer-replaceable battery
- Full graphical e-Ink display with paper-like readability
- e-ink displays are available (Black/White, Black/White/Red, Black/White/Yellow)
- Different configurations available (theft protection, display protection, LED flash)
- Label versions for deep-freezing environments
- Super wide viewing angle (nearly 180 degrees)
- Flexible mounting options available
- May be used in landscape and portrait mode
- Fast response time
- 128-bit AES encryption with secure key exchange
- Multiple pages support with preloading and fast page switching
- Integrated Passive NFC tag
The installation instructions are intended for trained electricians who can exhibit the following qualifications:
- Knowledge of the use of tools and work instructions.
- Knowledge of the usable conditions of the tool.
- Knowledge of the electrical safety instructions.
- Knowledge of the electrical building regulations.
- Knowledge of the relevant standards.
- Knowledge of the assembly schedule.
SES-imagotag GmbH I Kalsdorfer Straße 12 I A-8072 Fernitz-Mellach – AUSTRIA
CR: FN350927w I Commercial court: Graz I UID : ATU65936017
T. +43 (0) 5 94604-00 I E. [email protected] I www.ses-imagotag.com
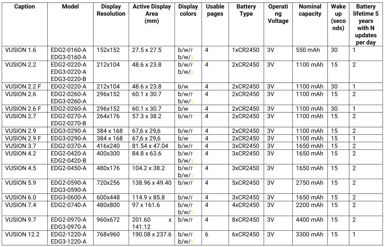
The power supply are cell-button batteries. The following table will give you a short overview about all kinds of labels and their batteries.


Note: battery lifetime can vary depending on the operating conditions of the labels (temperature, radio usage etc…).
General remarks
The SES-imagotag VUSION Labels must be installed according to the mounting instructions of the producer. In rare cases it may occur that the usage of wireless appliances is restricted by the building owner (e.g. Airport or Hospital). Please contact the appropriate authorities before installing the SES-imagotag VUSION Labels.
High humidity combined with low temperature are not recommended.
Low temperature will reduce the battery lifetime.
General
E-Paper displays are moisture and UV sensitive. The absolute rating operating environments describes the boundary conditions for updating the display while the absolute rating storage environment (see Storage and warehousing) describes the boundary conditions for a display not updating.

Cleaning Instructions
Clean the electronic label with the help of a damp cloth. Use only common household cleaners.
Do not clean the label with alcohol, solvents and / or abrasive cleaning products.
Note: Do not use liquid or aerosol cleaners and keep it away from water.
Temperature and Humidity Conditions
High humidity combined with low temperature are not recommended.
Low temperature will reduce the battery lifetime.
Storage and warehousing
While displays are rated to perform according to specification for the warranty period at the absolute specified operating environment, the better the storage condition, the better the E-Paper displays will perform. Like other moisture and UV sensitive components, we recommend that our labels are stored in temperature and humidity-controlled environments, and whenever possible, under below defined Optimal Storage Conditions, away from sunlight, to optimize their performance.
It is strongly recommended to observe the following points to ensure the best operation, functioning and battery lifetime:
Storage temperature and humidity

- Do not operate any ESL Infrastructure (e.g. SES-imagotag AP-2010 or MAP 2014T/Lancom L-151E, … ) in warehouse storing labels or where the radio coverage will activate stored labels.
o The label will permanently try to connect to the access point, leading to less usable battery lifetime. - The maximum storage time of labels should not exceed 0.5-1 year
If these listed limits are not complied, the specified battery lifetime can vary, and display quality can be influenced negatively.
Intended Use
The VUSION electronic shelf label family is exclusively designed to connect to Access Points of the company SES-imagotag or acknowledged partners via radio.
The device may only be used in areas where the environmental fulfill the requirements described in the chapter “Environmental”.
Improper use
The SES-imagotag is not responsible and does not assume liability for damage or injury to persons, property, environment and the VUSION electronic shelf label family itself caused by improper installation or improper handling.
The operator assumes liability for any damage that results from improper use.
The following usage is not allowed:
![]()
- Don’t drop VUSION Family Labels.
- Keep VUSION Family Labels away from water.
- Don’t use the VUSION Labels with defective parts.
- Don’t use the VUSION Labels with spare parts and accessories which are not examined and approved by SES-imagotag.
- Unauthorized changes or modifications to the VUSION Labels and their components without the consent of SES-imagotag are strictly forbidden.
- The SES-imagotag VUSION Labels do not contain parts, except batteries, that are allowed to be maintained by the user.
- The SES-imagotag VUSION Labels must NOT be dismantled. For necessary maintenance or repair works always contact the manufacturer.
- Don’t throw VUSION Labels into the dustbin. Deposit VUSION Labels at a reprocessing company.
- Contact SES-imagotag for more details about the removal process.
- Please do not use any liquid or spray cleaners directly on the surface of the VUSION Labels.
- SES-imagotag takes no responsibility for stolen VUSION Labels without encryption.
- KEEP BATTERIES OUT OF REACH OF CHILDREN
- Swallowing batteries may lead to serious injury in as little as 2 hours or death, due to chemical burns and potential perforation of the esophagus.
- If you suspect your child has swallowed or inserted a button battery immediately call local Poisons Information Authority, with contact information available online.
- Don’t heat, recharge or bend the battery.
- Examine devices and make sure the battery compartment is correctly secured, e.g. that the screw or other mechanical fastener is tightened. Do not use if the compartment is not secure.
- Dispose used button batteries immediately and safely. Empty batteries can still cause harm.
- Tell others about the risk associated with button batteries and how to keep their children safe
To learn how to use battery door opener check out the video tutorial → https://vimeo.com/173469013/01c9f17b10
Certificates
Hereby, SES-Imagotag GmbH declares that the radio equipment VUSION 1.6″ (EDG2-0160-A, EDG3-0160-A), VUSION 2.2″ (EDG2-0220-A, EDG3-0220-A, EDG3- 0220-B), VUSION 2.2″ F (EDG2-0220-A), VUSION 2.6″ (EDG2-0260-A, EDG3-0260- A), VUSION 2.6″ F (EDG2-0260-A), VUSION 2.7″ (EDG2-0270-A, EDG2-0270-B), VUSION 2.9″ (EDG3-0290-A), VUSION 2.9″ F (EDG3-0290-A), VUSION 3.7″ (EDG2- 0370-A), VUSION 4.2″ (EDG2-0420-A, EDG2-0420-B), VUSION 4.5″ (EDG2-0450-A), VUSION 5.9″ (EDG2-0590-A, EDG3-0590-A), VUSION 6.0″ (EDG3-0600-A), VUSION 7.4″ (EDG2-0740-A), VUSION 9.7″ (EDG2-0970-A, EDG3-0970-A), VUSION 12.2″ (EDG2-1220-A, EDG3-1220-A), VUSION Sway 2.6 (EDF3-0260-A) is in compliance with Directive 2014/53/EU. The full text of the EU Declaration of Conformity is available at the following internet address: https://www.ses-imagotag.com/wpcontent/uploads/2019/11/DoC_VUSION_V2.pdf
This device complies with Part 15 of the FCC Rules. Operation is subject to the following two conditions:
(1) This device may not cause harmful interference, and
(2) this device must accept any interference received, including interference that may cause undesired operation.
CAUTION TO USERS
Changes or modifications not expressly approved by the party responsible for compliance could void the user`s authority to operate the equipment.
FCC rules apply to the following products: VUSION 1.6″ (EDG2-0160-A, EDG3-0160- A), VUSION 2.2″ (EDG2-0220-A, EDG3-0220-A, EDG3-0220-B), VUSION 2.2″ F (EDG2- 0220-A), VUSION 2.6″ (EDG2-0260-A, EDG3-0260-A), VUSION 2.6″ F (EDG2-0260- A), VUSION 2.7″ (EDG2-0270-A, EDG2-0270-B), VUSION 2.9″ (EDG3-0290-A), VUSION 2.9″ F (EDG3-0290-A), VUSION 3.7″ (EDG2-0370-A), VUSION 4.2″ (EDG2- 0420-A, EDG2-0420-B), VUSION 4.5″ (EDG2-0450-A), VUSION 5.9″ (EDG2-0590-A, EDG3-0590-A), VUSION 6.0″ (EDG3-0600-A), VUSION 7.4″ (EDG2-0740-A), VUSION 9.7″ (EDG2-0970-A, EDG3-0970-A), VUSION 12.2″ (EDG2-1220-A, EDG3-1220-A), VUSION Sway 2.6 (EDF3-0260-A)
This device contains licence-exempt transmitter(s)/receiver(s) that comply with Innovation, Science and Economic Development Canada’s licence-exempt
RSS(s). Operation is subject to the following two conditions:
(1) This device may not cause interference.
(2) This device must accept any interference, including interference that may cause undesired operation of the device.
IC standards apply to the following products: : VUSION 1.6″ (EDG2-0160-A, EDG3- 0160-A), VUSION 2.2″ (EDG2-0220-A, EDG3-0220-A, EDG3-0220-B), VUSION 2.2″ F (EDG2-0220-A), VUSION 2.6″ (EDG2-0260-A, EDG3-0260-A), VUSION 2.6″ F (EDG2- 0260-A), VUSION 2.7″ (EDG2-0270-A, EDG2-0270-B), VUSION 2.9″ (EDG3-0290-A), VUSION 2.9″ F (EDG3-0290-A), VUSION 3.7″ (EDG2-0370-A), VUSION 4.2″ (EDG2- 0420-A, EDG2-0420-B), VUSION 4.5″ (EDG2-0450-A), VUSION 5.9″ (EDG2-0590-A, EDG3-0590-A), VUSION 6.0″ (EDG3-0600-A), VUSION 7.4″ (EDG2 0740-A), VUSION 9.7″ (EDG2-0970-A, EDG3-0970-A), VUSION 12.2″ (EDG2-1220-A, EDG3-1220-A), VUSION Sway 2.6 (EDF3-0260-A)
NCC rules apply to the following products: VUSION 1.6″ (EDG2-0160-A), VUSION 2.2″ (EDG2-0220-A, EDG3-0220-B), VUSION 2.2″ F (EDG2-0220-A), VUSION 2.6″ (EDG2-0260-A, EDG3-0260-A), VUSION 2.6″ F (EDG2-0260-A), VUSION 4.2″ (EDG2-0420-A), VUSION 4.2″ (EDG2-0420-B), VUSION 4.5″ (EDG2-0450-A), VUSION 7.4″ (EDG2-0740-A), VUSION 9.7″ (EDG2-0970-A, EDG3-0970-A), VUSION 12.2″ (EDG2-1220-A)
Japan
This device is granted pursuant to the Japanese Radio Law under the grant ID n° :
201-180158 (Model: EDG2-0160-A)
201-180162 (Model: EDG2-0220-A)
219-210003 (Model: EDG3-0220-B)
201-180029 (Model: EDG2-0260-A)
219-210005 (Model: EDG3-0260-A)
201-180159 (Model: EDG2-0420-A)
020-200028 (Model: EDG2-0420-B)
201-190006 (Model: EDG2-0450-A)
201-180160 (Model: EDG2-0740-A)
219-210006 (Model: EDG2-0970-A)
219-210009 (Model: EDG3-0970-A)
201-180711 (Model: EDG2-1220-A)
219-210018 (Model: EDG3-1220-A)
This device should not be modified (otherwise the granted designation number will become invalid)
201-180158 (Model: EDG2-0160-A)
201-180162 (Model: EDG2-0220-A)
219-210003 (Model: EDG3-0220-B)
201-180029 (Model: EDG2-0260-A)
219-210005 (Model: EDG3-0260-A)
201-180159 (Model: EDG2-0420-A)
020-200028 (Model: EDG2-0420-B)
201-190006 (Model: EDG2-0450-A)
201-180160 (Model: EDG2-0740-A)
219-210006 (Model: EDG2-0970-A)
219-210009 (Model: EDG3-0970-A)
201-180711 (Model: EDG2-1220-A)
219-210018 (Model: EDG3-1220-A)
Singapore
Valid for : VUSION 1.6 (EDG2-0160-A), VUSION 2.2 (EDG2-0220-A, EDG3-0220-B), VUSION 2.6 (EDG2-0260-A, EDG3-0260-A), VUSION 4.2 (EDG2-0420-A, EDG2-0420-B), VUSION 7.4 (EDG2- 0740-A)




















