ST VL53L5CX Tanging Sensor Module

Guidelines for the cover glass of the VL53L5CX Time-of-Flight 8×8 multizone sensor with wide field of view
Introduction
The aim of this application note is to provide guidelines for industrial design and how to assess cover glass quality. It details ST’s recommendations on cover glass selection and design requirements for minimizing the crosstalk and optimizing the system.
General information
The VL53L5CX is a Time-of-Flight (ToF) 8×8 multizone sensor with wide field of view (FoV).
The cover glass is normally an opaque window with a coating layer that presents apertures to allow the emission and reception of IR light. The apertures can be either one oval aperture or two circular apertures. Often cover glasses are coated with filter film that is generally deposited on the underside of the window.
The cover glass serves two main purposes:
- physical protection of the device, including dust ingress prevention
- optical filtering
The cover glass may also be used for aesthetic purposes. For this reason, on the coating layer, it is possible to create two equal-sized holes, placed on the top of the transmitter and the receiver. However, the receiver hole can be made smaller if required (see Section 4 Cover glass mechanical guidelines for more details).
The Figure 2. Crosstalk critical paths presents the VL53L5CX system in a typical application. The cover glass is placed on the top of the module and a space is left between the two. This space is generally called the air gap and is measured in mm. Experimental data shows that increasing the air gap size leads to an increase of:
- crosstalk signal
- signal loss
System crosstalk
The VL53L5CX is a device with a wide FoV that allows high signal reception coming from the target. At the same time, crosstalk signal is present in the receiver array .The crosstalk is defined as light coming from the module emitter and not reflected by the target, but that follows alternative, undesirable paths to reach the receiver. For this reason, the crosstalk signal does not bring any useful information from the target (such as distance and reflectance), and must be minimized. The crosstalk optical path is short, so the crosstalk pulse appears close to zero distance/delay. The amount of crosstalk depends on the optical setup, cover glass geometry, and properties. Crosstalk can also vary during the life of the product due to scratches or dirt on the cover glass.
Figure 2. Crosstalk critical paths
The figure above highlights the typical optical paths that the light, shot by the emitter, may follow before reaching the receiver array.
The main paths represented are:
- target signal path, marked with 1 in the figure above
- the crosstalk signal path inside the cover glass, marked with 2 in the figure above
- the crosstalk signal path inside the air gap, marked with 3 in the figure above
The aim of the final application design is to minimize the crosstalk signals and maximize the target signal avoiding any obstacles or attenuation along its path.
In general, the crosstalk signal increases with the thickness of the cover glass. To minimize the crosstalk signal, it is recommended to use the thinnest cover glass choice available. To break the crosstalk path propagating through the cover glass, it is recommended to use a light-blocker as shown in the figure below.
The crosstalk signal decreases when the air gap size is reduced, see Section 6 Conclusion and summary table for more details. Therefore, it is recommended to have the smallest air gap possible.
To break the crosstalk path propagating through the air gap it is recommended to use a gasket. Specific dark material like neoprene can be placed in the middle of the air gap space to break the crosstalk light path (Yoder, P.R., Opto-Mechanical Systems Design, 3rd Ed., CRC Press, 2006 and Harris, D.C., Materials for Infrared glasss and Domes, Properties and Performance, SPIE Press, Bellingham, 1999).
For air gaps >0.7 mm, a gasket is required to ensure that the crosstalk signal level is kept below the maximum recommended limit of 100 kcps.
The crosstalk effect has several negative impacts, such as an increase in:
- signal loss
- ranging non-linearity
- ranging standard deviation
Moreover, the crosstalk signal is temperature dependent as well as the target signal. In general, the crosstalk signal increases with the temperature rise.
Figure 3. VL53L5CX final application configuration


VL53L5CX crosstalk immunity
To benefit from device full performance, the VL53L5CX driver includes a calibration function dedicated to crosstalk compensation. The crosstalk calibration must be run once at the customer production line. This calibration procedure must be run to compensate the part-to-part cover glass spread that may affect device performances. Calibration data stored in the host must be loaded into the VL53L5CX module at each startup to apply the crosstalk compensation to the measurements acquired. Calibration data can only be loaded onto the VL53L5CX module by using the dedicated driver function.
Cover glass design
The crosstalk signal is very sensitive to the cover glass design and structure. The manufacturing properties of the cover glass affect the light scattering phenomena and consequently the crosstalk as shown in the figure below. For instance, particles and crystal defects embedded inside the cover glass increase light scattering. Similarly, the cover glass surface topography and the surface roughness affect crosstalk.
In order to avoid the light scattering effect and reduce the crosstalk signal, the cover glass should be manufactured to have:
- no defects in the crystal structure or on the top of the surface layer
- no impurities or dislocation inside the structure
- no smudge or superficial artifacts
Figure 4. Light scattering examples due to internal defects or superficial roughness
Optical transmission
From the optical point of view, the cover glass must allow transmission of IR light emitted by the module VCSEL at 940 nm with 1.6 nm at full width at half maximum (FWHM), and received by the SPAD array embedded inside the module. It is required to have the optical transmission of the cover glass higher than 87% in this bandwidth.
The table below shows the estimated evolution of maximum ranging distance over the transmittance:
Table 1. Evolution of maximum ranging distance
| Transmittance [%] | Estimated maximum ranging distance [mm] (1) |
| 100 | 4000 mm |
| 90 | 3800 mm |
| 80 | 3600 mm |
| 70 | 3400 mm |
| 50 | 3000 mm |
| 20 | 2400 mm |
Example of 4×4 mode, dark conditions, white 88% target reflectance, 30 Hz ranging frequency, with default driver settings
All the signals not transmitted by the cover glass are lost or can potentially turn into crosstalk. Loss of
signal directly affects the performance of the VL53L5CX module, and the maximum ranging distance. It is recommended to have the highest cover glass transmittance possible.
Cover glass coating
The cover glasses are normally coated with different material for different purposes.
- Colored ink for aesthetic reasons
- IR filter to cut off all the unwanted light in the IR transmission. Normally the filter coating is deposited on the back side of the window.
- ARC: anti-reflective coating to reduce the surface reflectance.
- AFC: anti-fingerprint coating to increase the fingerprint protection.
It is important to note that superficial coating may generate additional crosstalk signals. In fact, any transmissive layer deposited on the cover glass could act as an optical path to guide the crosstalk light from the emitter to the receiver.
Note:
Whenever possible, avoid the use of any cover glass coating, at least in the exclusion areas defined in Section 4 Cover glass mechanical guidelines. It is recommended to use outer coatings that do not degrade the immunity to the fingerprint (for example, anti-fingerprint or anti-reflective coatings with the anti-fingerprint feature) in order to reduce a smudge effect or loss of signal.
Haze
Haze is defined as the percentage of light that, when passing through a certain material, deviates from the incident beam, on average, by an angle greater than 2.5 degrees.
The crosstalk signal does experimentally increase with the square of the haze percentile. It is recommended to have haze less than 2% of the total light emitted (1%, 940 nm IR).
Cover glass tilt and surface parallelism
The cover glass top and bottom surfaces must both be parallel to the device surface. Ideally, any cover glass tilt must be avoided to reduce the crosstalk signals.
If mechanical constraints require to tilt the device, the user must ensure that the maximum crosstalk is below 100 kcps. The recommended maximum tilt is given in Table 4. Cover glass guidelines and summary table.
Cover glass materials
Single material is recommended for the cover glass design; multi-materials may alter the performance or increase the internal light scattering effect. Material suggested are:
- Glass
- Sapphire glass
- Polymethyl methacrylate (PMMA)
- Polycarbonate
Cover glass mechanical guidelines
This section provides information on the VL53L5CX module geometrical dimensions necessary to calculate the minimal aperture dimensions of the cover glass coating layer. See the figure below.
- The receiver mechanical aperture is circular with diameter 0.51 mm (area 0.4086 mm2).
- The emitter mechanical aperture is rectangular with a width of 0.72 mm and high 0.80 mm (area
0.576 mm2). - The distance between the optical emitter center and the optical receiver center is 4 mm as reported in the figure below.
- It is optional to have one large cover glass aperture or two separate apertures. The final decision is partly aesthetic, partly functional. Two apertures may offer better crosstalk immunity, particularly in designs with no gasket.
Note:
It is important to align the apertures with the optical centers of the VCSEL, as above. They are not the same as the mechanical centers. Further mechanical details can be found in the datasheet.
To design the final dimensions, it is initially assumed to have rectangular apertures with sizes here named aR, bR on the receiver side, and aT, bT on the transmitter side. The diagonals of these rectangles represent the diameters, here named dR and dT, of the circular apertures that are created in the cover glass coating. The cover glass coating apertures are aligned with the module apertures concentrically (see the figure below).
Figure 7. Example of cover glass coating with single aperture
Knowing the collector exclusion cone of the VL53L5CX module, 61º along the y direction and 55.5º along the x direction (for more details refer to the VL53L5CX module outline drawing), it is possible to calculate the minimum apertures of the cover glass using the following formulae. See the figures below as reference for the calculation.
Figure 8. Cover glass Tx aperture in x direction
aT, corresponding to the 55.5º collector exclusion cone, can be calculated with the following formula.
Similarly bT, corresponding to the 61° of collector exclusion cone, can be calculated as follows.
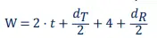
The diameter of the circumscribed circle that covers the rectangular aperture in the cover window can be calculated as:
Similar formulae can be written for the Rx side, replacing in the previous TxPyramidApex = 0.63 mm with RxPyramidApex = 0.45 mm. When using a cover window with a single aperture (see Figure 7. Example of cover glass coating with single aperture), the two dimensions of the aperture are called W (width) and L (length). Adding a tolerance of t = 200 µm on each side of the module, it is possible to calculate W as follows.
Using dT, because it is bigger than dR, it is possible to calculate L with the following formula.
Table 2. Cover glass dimension calculation reports all the results calculated using the different air gap dimensions given in the first column.
Table 2. Cover glass dimension calculation
| air gap | aT | bT | dT | aR | bR | dR | W | L |
| 0 | 1.1890 | 1.3312 | 1.7849 | 0.9996 | 1.1192 | 1.5006 | 6.0428 | 2.1849 |
| 0.15 | 1.3469 | 1.5080 | 2.0219 | 1.1575 | 1.2959 | 1.7376 | 6.2797 | 2.4219 |
| 0.2 | 1.3995 | 1.5669 | 2.1009 | 1.2101 | 1.3548 | 1.8165 | 6.3587 | 2.5009 |
| 0.3 | 1.5047 | 1.6847 | 2.2588 | 1.3153 | 1.4726 | 1.9745 | 6.5167 | 2.6588 |
| 0.4 | 1.6099 | 1.8025 | 2.4168 | 1.4205 | 1.5904 | 2.1325 | 6.6746 | 2.8168 |
| 0.5 | 1.7152 | 1.9203 | 2.5747 | 1.5258 | 1.7082 | 2.2904 | 6.8326 | 2.9747 |
| 0.8 | 2.0308 | 2.2737 | 3.0486 | 1.8414 | 2.0617 | 2.7643 | 7.3065 | 3.4486 |
| 1 | 2.2413 | 2.5093 | 3.3645 | 2.0519 | 2.2973 | 308002 | 7.6224 | 3.7645 |
Dimensions assume a cover glass thickness 0.5 mm and the stated dimension is on the top side of the glass.
This calculation includes 2º of angular tolerance (θtolerance) in addition to the collector exclusion cone (see figure below), then the calculation results are reported in Table 3. Cover glass calculation with 2 degree tolerance.
Figure 10. Cover glass Tx aperture with angle tolerance in x direction
Table 3. Cover glass calculation with 2 degree tolerance
| air gap | aT | bT | dT | aR | aR | bR | dR | W | L |
| 0 | 1.2399 | 1.3849 | 1.8589 | 1.1643 | 1.0424 | 1.1643 | 1.5628 | 6.1108 | 2.2589 |
| 0.15 | 1.4045 | 1.5688 | 2.1056 | 1.3482 | 1.2070 | 1.3482 | 1.8095 | 6.3576 | 2.5056 |
| 0.2 | 1.4593 | 1.6301 | 2.1879 | 1.4094 | 1.2618 | 1.4094 | 1.8918 | 6.4398 | 2.5879 |
| 0.3 | 1.5690 | 1.7526 | 2.3524 | 1.5320 | 1.3715 | 1.5320 | 2.0563 | 6.6043 | 2.7524 |
| 0.4 | 1.6788 | 1.8752 | 2.5169 | 1.6546 | 1.4813 | 1.6546 | 2.2208 | 6.7688 | 2.9169 |
| 0.5 | 1.7885 | 1.9977 | 2.6814 | 1.7771 | 1.5910 | 1.7771 | 2.3853 | 6.9333 | 3.0814 |
| 0.8 | 2.1177 | 2.3654 | 3.1749 | 2.1448 | 1.9202 | 2.1448 | 2.8788 | 7.4268 | 3.5749 |
| 1.0 | 2.3371 | 2.6105 | 3.5039 | 2.3899 | 2.1396 | 2.3899 | 3.2078 | 7.7558 | 3.9039 |
Dimensions assume a cover glass thickness 0.5 mm and the stated dimension is on the top side of the glass.
If the cover window is not parallel to the VL53L5CX module surface, then some pitch or roll may occur as shown in the figure below.
Figure 12. Cover glass pitch or roll rotation
In case of pitch and roll rotation of the cover window, the size and shape of the apertures change as shown below and must be recalculated.
The calculation can be provided in a separate document if required. Contact your ST customer support office for more information.
Figure 13. Aperture shapes with cover glass rotation
Crosstalk compensation
- Crosstalk compensation is a feature embedded in the VL53L5CX firmware. It allows compensation of the crosstalk effect, based on characterization results and calibration data. The procedure for crosstalk characterization is detailed in the VL53L5CX user manual (UM2884).
- In general, the lower the crosstalk, the easier it is to compensate. Additionally, the less variation in crosstalk due to smudge or haze, the easier it is to compensate in the field.
- A cover glass with poor quality design or manufacture increases the crosstalk level. In the same way, smudge or haze on the top of the cover glass degrade the target vs crosstalk signal ratio.
- The figure below shows an example of ranging distance in the case of high levels of crosstalk. The ranging distance is reported vs the real target distance. This means that the dashed line represents the ideal curve where the ranging error is zero. The higher the crosstalk signal, the greater the range linearity is affected at short distance.
Figure 14. Range vs target distance for high level of crosstalk
The next figure shows an example of ranging distance in the case of low levels of crosstalk signal. It shows
that the crosstalk compensation has less effect on the linearity of the ranging signal in the short distances. The range error falls to zero when the target distance is bigger than the crosstalk immunity distance, which is currently ~600 mm for VL53L5CX.
Figure 15. Range vs target distance for low level of crosstalk
Gaskets
Gaskets reduce crosstalk between the true signal and spurious reflections from the transmitted signal. The ideal gasket should be thick enough to fill the full air gap between the device and the cover glass. The gasket should contain two apertures large enough to allow the full Tx or Rx cone to pass through unimpeded, while also forming a light barrier between the Rx an Tx channels. The gasket should cover the maximum area between the Rx and Tx channels possible without impeding the keepout zones.
Conclusion and summary table
- Air gap size and cover glass properties influence the level of crosstalk signals.
- Experimental results show that < 0.4 mm air gap is recommended. If a larger air gap is used, then a gasket may be required to reduce crosstalk.
- Cover glass recommendation details are reported in the summary table below.
Table 4. Cover glass guidelines and summary table
| Parameter | Recommended spec for maximum performances | ||
|
Optical parameter | Max crosstalk signal level accepted | 100 kcps (max) | |
| Transmittance at 940 nm | >87% | ||
| Transmittance haze (visible) | < 2% | ||
| Transmittance haze (IR) | < 1% | ||
|
Mechanical parameter | Air gap(1) | Without gasket | < 0.4 mm |
| Air gap + cover glass thickness | <1.5 mm | ||
| Cover glass tilt | ±10°(2) | ||
| Number of cover glass apertures | Two circular holes are preferable to protect the light trap | ||
- Increased air gap potentially adds crosstalk. The crosstalk may be limited with the use of a gasket. Air gaps <0.4 mm keeps crosstalk below the recommended limits. Air gaps >0.7 mm require a gasket to remain within the 100 kcps crosstalk limit.
- Assembly tolerance is ±2º
Note:
Figures above are for the final cover glass including any coatings applied.
For a particular turnkey cover glass made by third party, contact your ST sales office.
Acronyms and abbreviations
Table 5. Acronyms and abbreviation
| Acronym/abbreviation | Definition |
| AFC | anti fingerprint coating |
| ARC | anti reflective coating |
| cps | photon count per second |
| FoV | field of view |
| FWHM | full width at half maximum |
| IR | infrared |
| PMMA | polymethyl methacrylate |
| Rx | receiver |
| SPAD | single photon avalanche diode |
| ToF | Time-of-Flight |
| Tx | transmitter |
| VCSEL | vertical-cavity surface-emitting laser |
Revision history
Table 6. Document revision history
| Date | Version | Changes |
| 21-Nov-2022 | 1 | Initial release |
IMPORTANT NOTICE – READ CAREFULLY
STMicroelectronics NV and its subsidiaries (“ST”) reserve the right to make changes, corrections, enhancements, modifications, and improvements to ST products and/or to this document at any time without notice. Purchasers should obtain the latest relevant information on ST products before placing orders. ST products are sold pursuant to ST’s terms and conditions of sale in place at the time of order acknowledgment. Purchasers are solely responsible for the choice, selection, and use of ST products and ST assumes no liability for application assistance or the design of purchasers’ products No license, express or implied, to any intellectual property right is granted by ST herein. Resale of ST products with provisions different from the information set forth herein shall void any warranty granted by ST for such product. ST and the ST logo are trademarks of ST. For additional information about ST trademarks, refer to www.st.com/trademarks. All other product or service names are the property of their respective owners. Information in this document supersedes and replaces information previously supplied in any prior versions of this document.
© 2022 STMicroelectronics – All rights reserved




















