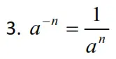
Negative and fractional indices
Learning objective
To investigate the meaning of negative and fractional powers
Overview
This guided investigation establishes the rules for negative and fractional powers by looking at the tables of values for patterns.
Context
This activity can be used as the introduction to rational indices at GCSE, or as revision material at the A level, leading to further algebraic work with rational indices.
Investigating resource
The investigation creates tables of values and then uses number patterns to establish the definitions of negative powers. It uses tables of values for fractional powers to understand what they do. It leads to an algebraic definition for rational indices.
Negative and fractional indices: Learning resource objective
Understand negative and fractional powers
Introduction to negative powers
From
choose Table. Choose SET
and input Start 1, End 4, and Step 1, using
to save your settings.
Task
- Type = 2x to create a table of values for powers of 2 from 1 to 4.
a. Write the values on the shaded part of the table below.
b. Write down the pattern in the answers as you go up the table (x getting smaller).
c. Use the pattern to predict the values of x 2 when x =0 and when x is negative.
d. Change the settings so the table of values shows negative values of x and check your answers. (Highlight each decimal answer and press
to show fractional values.) - Repeat for the other numbers – is there a similar pattern?
- How could you express this algebraically?
| x | ||||
| -3 | 2-³= | 3-³ | ||
| -2 | 2-²= | 3-² | ||
| -1 | 2-¹= | 3-¹ | ||
| 0 | 2-0= | 30 | ||
| 1 | 2¹= | 3-¹ | ||
| 2 | 2²= | 3² | ||
| 3 | 2³= | 3³ | ||
| 4 | 24= | 34 |
b…………………………….Expressing the pattern algebraically −=
Follow-up
Write down fractional answers to the following. Choose Run-Matrix mode to check the answers.
![]()
Introduction to fractional powers
Investigate 1
Create a table of values for Y1= x½ for values of x from 0 to 50.
a. Write down the rows of the table which give whole number values.
b. Write down what you notice.
c. What does the power ½ achieve? Write your answer algebraically.
Repeat for Y2 x 1/3. Summarise your findings.
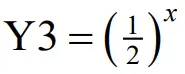
| x | Y1=x½ | x | Y2= x1/3 | x | Y3= x3/2 | x | Y4 = x2/3 |
b………………………… c……………….. Summary:
Investigate 2
- Repeat the investigation above for Y3 =x3/2 and Y4 =x2/3
- Explain how the two parts of the fraction work together to give your results.
Explanation:………………………
Follow-up 2
Use your rules to find answers to the following. Use Run-Matrix mode if you need to, but think how you could have worked it out without a calculator.
![]()
Teaching Notes
Aims
The investigation is designed to work from calculated values of powers to a general understanding written algebraically.
The task also reinforces the need for accuracy when entering calculations.
Resources
Supporting resources are available in our Resource Centre.
Before the lesson
How-To Videos
- Calculation and Reset – Getting Started
- Table – Calculating Values
Learner support material - Indices and Surds Confidence Builder
During the lesson - Learner worksheet
Using the fx-CG50
Most of the skills required for this activity are covered in the skills videos listed above.
Additional functions can be added and displayed as new columns on the table.

Dealing with the unexpected
Learners may not realize that they have typed their expressions incorrectly when fractions are involved.
To find the fraction 2/3 all to the power -2, you need (2/3)-²
The calculator will give the correct answer without brackets, providing you scroll to the right after entering the fraction before entering the power.

The expressions above are both correct, but the ones below are different calculations that learners may use in error.

Prompts
Ask learners to think about whether brackets are needed as they input their calculations.
Ask learners to think about how the columns for x2 and ( ½)x are related.
Ask learners to think how the columns for x3 and ( ½ )x can be combined to give the column for (3/2)x.
Ask whether negative powers ever give negative numbers.
Extension questions
Ask learners to think about the laws of indices – they can deduce the definitions from the laws.
- Multiplying an by 1 does not change the number. So, writing 1 as a power of a must give the power of a to be zero as it does not change the power when added.
- Multiply an by a-n. What happens to the answer? What happens to the powers?
- Raising a to the power 1/n gives a¹. How does that imply that raising a number to the power 1/n is the same as finding the nth root?
Ask learners to investigate whether you get the same answer if you square first and then cube root, and when you do the same two operations in the opposite order. Which is easier?
Solutions
Task

1b. Divide by 2 as you go up the column for 2x.![]()
Follow-up
![]()
Investigate 1
| x | x | x | x | ||||
| 0 | 0 | 0 | 0 | 0 | 0 | 0 | 0 |
| 1 | 1 | 1 | 1 | 1 | 1 | 1 | 1 |
| 4 | 2 | 8 | 2 | 4 | 8 | 8 | 4 |
| 9 | 3 | 27 | 3 | 9 | 27 | 27 | 9 |
| 16 | 4 | 16 | 64 | ||||
| 25 | 5 | 25 | 125 | ||||
| 36 | 6 | 36 | 216 | ||||
| 49 | 7 | 49 | 343 |
b. The square numbers give their square root when raised to the power of half.
c. Power a half is the same as the square root
Summary: Power one-third is cube root, so it makes sense that power n1 is the same as nth root.
Investigate 2
Explanation: The denominator of the power gives the root and the numerator raises the answer to that power – these things can be done in either order.
Follow-up 2



















