Simply Calculate The Difference!
QUICK START GUIDE
fx-115ES PLUS
2nd EDITION
The following explains the meaning of each mode on the fx-115ES Plus 2nd Edition:
| MENU NAME | DESCRIPTION |
| COMP | This mode performs general calculations. |
| COMPLEX | This mode performs complex number calculations. |
| STAT | This mode performs statistical and regression calculations. |
| BASE-N | This mode performs calculations involving specific number systems (binary, octal, decimal, 8 hexadecimal). |
| EON | This mode solves equations. |
| MATRIX | This mode performs matrix calculations. |
| TABLE | This mode generates a numerical table based on one or two functions. |
| VECTOR | This mode performs vector calculations. |
| INFO | This mode solves inequalities. |
| VERIFY | This mode verifies a calculation. |
| DIST | This mode performs distribution calculations. |
COMP MODE
To calculate and solve basic expressions, press
to enter COMP mode.
To make any changes to the calculator settings, press
(SETUP).
Inputting a Fraction & Converting to Decimal Form:
![]() | ![]() | ![]() |
- To solve
, press
- To view the solution as a decimal, press
.
Note: press
again to see the entire decimal answer. Pressing once more will display the fraction solution again.
To Find the Remainder of a Division Problem:
- To find the remainder of 7 divided by 5, press


Absolute Value:
- To find the absolute value of -4, press

Exponents:
- To evaluate 3⁄4, press

Roots:
- To calculate the square root of 25, press


- To calculate the cube root of 64, press

Storing Variables:
To store a value for any variable, pres
followed by a variable, A F. In this example, we will store a value of 1 for the variable A.
- Press

Note: When you store the value for the variable, you do not need to press the
key prior to pressing the variable key.
Calculating Expressions:
The
key allows you to enter an expression with variables, assign values for each variable and then automatically calculate the expression, without having to store values for the variable first.
- Enter the expression, 3A + B, by pressing


- Press


- Enter 5 for A by pressing


- Enter 10 for B by pressing



- The values of A and B can be used to solve additional expressions, without using


Solving Equations (SOLVE): SOLVE uses Newton’s method to approximate the solution of equations. SOLVE can only be used in COMP mode.
Solve y = ax2 + b for x, when y = 0, a = 1, and b = -2.
- Enter the equation by pressing


- Press
(SOLVE) to enter the SOLVE feature. - Enter the value for y by pressing


- Enter the value for a by pressing


- Enter the value of b by pressing

- Enter an initial value for x, for this example, we will enter 1, by pressing


- To exit SOLVE, press


STAT MODE
To start a statistical calculation, press
to enter STAT mode and use the screen that appears to select the type of calculation you want to perform.
Note: When you want to change the calculation type after entering STAT mode, press
(STAT/DIST)1(Type) to display the calculation type selection screen.
Input the following data and find the linear regression.
(170, 66) (173, 68) (179, 75)
Entering Data:
- To enter the data points above, press


- Enter the x-values first, pressing
after each value. 

- Use the arrows to move to the top of the y-column and enter the y-values, pressing
after each value.

Finding a Regression:
- To find the regression equation, press
to clear the screen.
- Press
to display the Statistics Menu.
- Press 5 (Reg) to find the coefficients for the linear regression equation.

- Press 1 (A)
to find the value of A.
- To find the value of B, repeat the process. Press


- The values of the correlation coefficient (r), the estimated value of X, and the estimated value of Y can also be found.

EQN MODE
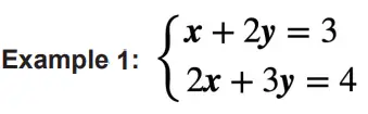
Equation Mode can be used to solve simultaneous linear equations with two or three unknowns, quadratic equations, or cubic equations. Press
to enters EQN mode and press the corresponding number for the desired equation type.

- Press
1to select a simultaneous linear equation with two unknowns.
- Enter the coefficients for each term in each equation by pressing


- Press
to solves for the variables.
- Press
to see the solution for y.
- To solve additional simultaneous equations with two unknowns, press

Example 2: Solve 2×2 3x 6 = 0.
- To choose a different type of equation to solve, press
to return to the initial Equation screen.
- Press
3to select a quadratic equation.
- Enter the coefficients of each term and the constant by pressing



- Press
to solves for the roots and the minimum.
- Press
to see the additional information
TABLE MODE
TABLE generates a number table based on one or two functions, entered as f(x) and/or g(x). Press
to enter TABLE mode.
Note: Be sure to input the x variable
when generating a number table. All other variables will be handled as constants.
- Enter the first function by pressing


- Enter the second function by pressing


- Enter the Start, End, and Step values by pressing



INEQ MODE
INEQ Mode allows you to solve a quadratic inequality or a cubic inequality. Press
to enter INEQ Mode and select quadratic or cubic.

Solve x2 + 2x 3 < 0:
- Press
1to select a quadratic inequality.
- Press
2to select the less than inequality.
- Enter the coefficients of each term and the constant by pressing


- Press
to display the solution set.
VERIFY MODE
VERIFY Mode allows you to verify whether input equality or inequality is true or false. Press
to enter VERIFY Mode.
Note: Pressing
will bring up a menu of equality or inequality symbols to use.

Verify whether 4√9=12 is true or false:
- Enter the equation by pressing


- Press
to sees if the statement is true or false.
Simply Calculate The Difference!
See the complete line of Casio calculators
www.casioeducation.com
fx-115ES PLUS 2nd Edition Quick Start Guide
































































