LINORTEK Netbell-NTG Networked Tone or Message Generator or Controller User Manual

LINORTEK ONE-YEAR LIMITED WARRANTY
Consumer law: For consumers who are covered by consumer protection laws or regulations in their country of residence (“Consumer Law”), the benefits provided in this Linortek One-Year Limited Warranty (“Linortek Limited Warranty”) are in addition to and not instead of the rights provided by Consumer Law and it does not exclude, limit or suspend your rights arising from Consumer Law. You should consult the proper authorities in your country of residence for further information about these rights.
Linortek’s warranty obligations for this hardware product (“Product”) are limited to the terms set forth below:
Linor Technology, Inc. (“Linortek”) warrants this product against defects in materials and workmanship for a period of ONE (1) YEAR from the date of retail purchase by the original end-user purchaser (“Warranty Period”) when used in accordance with the operating instructions. A copy of a retail receipt is required as proof of purchase. If a hardware defect arises and a valid claim is received within the Warranty Period, at its option and to the extent permitted by law, Linortek will either (1) repair the hardware defect at no charge, using new or refurbished replacement parts, (2) exchange the product with a product that is new or which has been manufactured from new or serviceable used parts and is at least functionally equivalent to the original product, or (3) refund the purchase price of the product. When a refund is given, the product for which the refund is provided must be returned to Linortek and becomes Linortek’s property.
The foregoing warranty is subject to Buyer’s (i) prompt written claim and (ii) timely provision to Linortek of an opportunity to inspect and test the Product claimed to be defective. Such inspection may be on Buyer’s premises and/or Linortek may request the return of the Product at Buyer’s expense. However, Linortek shall not be responsible for packing, inspection, or labor costs in connection with the return of Product. No Product shall be accepted for warranty service that is not accompanied by a Return Merchandise Authorization number (RMA#) issued by Linortek.
EXCLUSIONS AND LIMITATIONS
This Limited Warranty excludes damage resulting from abuse, misuse, neglect, fire or other external causes, accident, modifications, repairs or other causes that are not defects in materials and workmanship. Software distributed by Linortek with or without the Linortek brand name including, but not limited to system software (“Software”) is not covered under this Limited Warranty. Your use and rights associated with the Software are governed by the Linortek End User License Agreement which you can find here: https://www.linortek.com/end-user-licenseagreement/. Linortek is not responsible for damage arising from failure to follow instructions relating to the product’s use. To assure conformance with operating limitations, Buyer should refer to the instruction manual [provided with the product]. Batteries are not included in the Warranty.
TO THE MAXIMUM EXTENT PERMITTED, THIS LIMITED WARRANTY AND THE REMEDIES SET FORTH ABOVE ARE EXCLUSIVE AND IN LIEU OF ALL OTHER WARRANTIES, REMEDIES, AND CONDITIONS, AND LINORTEK SPECIFICALLY DISCLAIMS ALL STATUTORY OR IMPLIED WARRANTIES, INCLUDING BUT NOT LIMITED TO, WARRANTIES OF MERCHANTABILITY, FITNESS FOR A PARTICULAR PURPOSE, NON-INFRINGEMENT. IN SO FAR AS SUCH WARRANTIES CANNOT BE DISCLAIMED, ALL SUCH WARRANTIES SHALL, TO THE EXTENT PERMITTED BY LAW, BE LIMITED IN DURATION TO THE DURATION OF THE LINORTEK LIMITED WARRANTY AND THE REMEMDY SHALL BE LIMITED TO REPAIR, REPLACEMENT OR
REFUND AS DETERMINED BY LINORTEK IN ITS SOLE DISCRETION. SOME STATES (COUNTRIES AND PROVINCES) DO NOT ALLOW LIMITATIONS ON HOW LONG AN IMPLIED WARRANTY OR CONDITION MAY LAST, SO THE LIMITATIONS DESCRIBED ABOVE MAY NOT APPLY TO YOU. THIS WARRANTY GIVES YOU SPECIFIC LEGAL RIGHTS, AND YOU MAY ALSO HAVE OTHER RIGHTS THAT VARY FROM STATE TO STATE (OR BY COUNTRY OR PROVINCE). THIS LIMITED WARRANTY IS GOVERNED BY AND CONSTRUED UNDER THE LAWS OF THE UNITED STATES.
Disclaimers
- Read Instructions – Read all the safety and operating instructions before operating the product.
- Retain Instructions – Retain the safety and operating instructions for future reference.
- Heed Warnings – Adhere to all warnings on the product and in the operating instructions.
- Follow Instructions – Follow all operating and use instructions.
- Cleaning – Unplug the product from power before cleaning. Do not use liquid cleaners or aerosol cleaners. Use a damp cloth for cleaning the enclosure only.
- Attachments – Do not use attachments unless they are specifically recommended by Linortek. Using incompatible or otherwise unsuitable attachments can be hazardous.
- Accessories – Do not place this product on an unstable stand, tripod, bracket, or mount. The product may fall, causing serious injury
to a person and serious damage to the product. Use only with a stand, tripod, bracket, or mount recommended by the manufacturer, or sold with the product. Follow the manufacturer’s instructions when mounting the product, and only use mounting accessories recommended by the manufacturer. Be cautious when using an appliance and cart combination. Quick stops, excessive force, and uneven surfaces may cause the appliance and cart combination to overturn. - Ventilation – Openings in the enclosure, if any, are provided for ventilation and to ensure reliable operation of the product and to protect it from overheating. Do not block or cover these openings. Do not place this product in a built-in installation unless proper ventilation is provided or the Linortek’s instructions have been adhered to.
- Power Sources – Operate this product only from the power source type indicated in the instruction manual or on the product label. If you are not sure of the type of power supply you plan to use, consult your appliance dealer or local power company – provided that use of any power source type other than indicated in the instruction manual or marking label will void any warranty. For products intended to operate from battery power, or other sources, refer to the operating instructions [included with the product].
- Grounding or Polarization – This product may be equipped with a polarized alternating-current line plug (a plug having one blade wider than the other). This plug will fit into the power outlet only one way. This is a safety feature. If you are unable to insert the plug fully into the outlet, try reversing the plug. If the plug still fails to fit it is because your outlet is incompatible with the plug. Contact your electrician to replace your outlet with one that is compatible. Do not force the plug to fit into an incompatible outlet or otherwise try to defeat the safety purpose of the plug. Alternately, this product may be equipped with a 3-wire grounding-type plug, a plug having a third (grounding) pin. This plug will only fit into a grounding-type power outlet. This is a safety feature. Do not force the plug to fit into an incompatible outlet or otherwise try to defeat the safety purpose of the plug. If your outlet is incompatible with the plug, contact your electrician to replace your outlet with one that is compatible.
- Power-Cord Protection – Route power supply cords so that they are not likely to be walked on or pinched by items placed upon or against them, paying particular attention to cords and plugs, convenience receptacles, and the point where the cords exit from the appliance.
- Power Lines – Do not place an outdoor system anywhere in the vicinity of overhead power lines or other electric light or power circuits, or where it can fall into such power lines or circuits. When installing an outdoor system, use extreme care to keep from touching such power lines or circuits as contact with them might be fatal.
- Overloading – Do not overload outlets and extension cords as this can cause fire or electric shock.
- Object and Liquid Entry – Never push objects of any kind into this product through openings as they may touch dangerous voltage points or short-out parts which can cause fire or electric shock. Never spill liquid of any kind on the product.
- Servicing – Do not attempt to service to this product yourself as opening or removing covers may expose you to dangerous voltage or other hazards. Refer all servicing of the product to Linortek.
- Damage Requiring Service – Unplug the product from the outlet and refer servicing to Linortek Customer Support under the following conditions:
a. When the power-supply cord or plug is damaged.
b. If liquid has been spilled, or objects have fallen onto the product.
c. If the product has been exposed to rain or water.
d. If the product does not operate normally by following the operating instructions [included with the product]. Adjust only those controls that are covered by the operating instructions, as an improper adjustment of other controls may result in damage and will often require extensive work by a qualified technician to restore the product to its normal operation.
e. If the product has been dropped or the cabinet has been damaged.
f. If the product exhibits a distinct change in performance. - Replacement Parts – If replacement parts are necessary, have a Low-Voltage Electrician replace them using only part specified by the
manufacturer. Unauthorized substitutions may result in fire, electric shock or other hazards. Replacement parts can be found at https://www.linortek.com/store/ - Safety Check – Upon completion of any service or repairs to this product, ask the service technician to perform safety checks to determine that the product is in proper operating condition.
- Coax Grounding – If an outside cable system is connected to the product, be sure the cable system is grounded. U.S.A. models only–
Section 810 of the National Electrical Code, ANSI/NFPA No.70-1981, provides information with respect to proper grounding of the
mount and supporting structure, grounding of the coax to a discharge product, size of grounding conductors, location of discharge product, connection to grounding electrodes, and requirements for the grounding electrode. - Lightning – For added protection of this product during a lightning storm, or before leaving it unattended and unused for long periods of time, unplug it from the wall outlet and disconnect the cable system. This will prevent damage to the product due to lightning and power-line surges.
- Outdoor Use – This product is not waterproof and should not be allowed to get wet. Do not expose to rain or other types of liquid.
Do not leave out-of-doors overnight as condensation may occur. - While changing batteries, fuses or handling a board level product be careful of electrostatic discharge which can damage electronic devices. It is best to use a grounded electronics service bench. If this is not available you can discharge yourself by touching a metal appliance or pipe. While changing the batteries or fuses do not touch i) any wires other than the battery wires and ii) the printed circuit board.
LIMITATION OF LIABILITY
IN NO EVENT WILL LINOR TECHNOLOGY BE LIABLE, WHETHER IN CONTRACT, TORT, OR OTHERWISE, FOR ANY INCIDENTAL, SPECIAL, INDIRECT, CONSEQUENTIAL OR PUNITIVE DAMAGES, INCLUDING, BUT NOT LIMITED TO, DAMAGES FOR ANY LOSS OF USE, LOSS OF TIME, INCONVENIENCE, COMMERCIAL LOSS, OR LOST PROFITS, SAVINGS, OR REVENUES TO THE FULL EXTENT SUCH MAY BE DISCLAIMED BY LAW.
DISCLAIMER FOR CRITICAL APPLICATIONS
This product is not intended or authorized for life support product or for other uses for which a failure could cause personal injury or death. If you or your customers use or permit the use of this product for such unintended or unauthorized uses, you agree to fully indemnify Linor Technology and its affiliates, and the officers, employees and distributors of each, from all liability related to such use, including attorneys’ fees and costs.
FURTHER NOTICE FOR LIMITATION OF USE
Unless specifically stated, our Products are NOT designed to switch line voltage (110V and above) devices. To control device that operate at line voltages a qualified electrician MUST install an intermediary device such as a relay. When choosing devices to control, it is best to select low voltage controls such as a 24VAC solenoid to water flow control. Only qualified electricians may wire a line voltage device. Additionally, local codes must be followed including but not limited to wire gauge size and suitable housing. Linortek assumes no responsibility for harm to the user or third parties for improperly using our Products. This liability remains with the user. Linortek assumes no responsibility for damage to the device due to improperly using our Products.
RELAY VOLTAGE SPECIFICATIONS
Please use caution when connecting devices to electrical circuits or other equipment. This web controller is NOT designed to connect to any voltage greater than 48V. If you want the product to control Line Voltage products and devices, refer to Diagram 1 below. Utilizing this arrangement, should allow you to virtually control anything. It is important that you use licensed electricians and comply with electrical codes that are applicable to your location. These codes exist for your safety, as well as the safety of others. Linortek assumes no responsibility for any harm or damage resulting from a failure adhere to local laws, ordinances or regulations or failure to follow specified instructions for installation and product usage.
End-User License Agreement for Linortek Software and Documentation
This End-User License Agreement (“EULA”) is a legal agreement between YOU (an individual or single entity) and Linor Technology, Inc. (“Linortek” or “we” or “us”) that governs your use of the software and documentation (“Software”) embedded in or associated with the Fargo, Koda, Netbell, IoTMeter, and iTrixx series of products (“Linortek Products”). This EULA does not govern your use of the Linortek website or the Linortek Products (excluding the Software). Your use of the Linortek website is governed by the Linortek website terms of service and the Linortek privacy policy which can be found at:
http://www.linortek.com/terms-and-conditions [Your purchase of Linortek Products (excluding the Software) is governed by the Linortek limited warranty, which can be found at https://www.linortek.com/linortek-one-year-limited-warranty/ This EULA governs your access and use of the Software. This EULA gives you specific legal rights, and you may also have other legal rights in addition, which vary from jurisdiction to jurisdiction. The disclaimers, exclusions, and limitations of liability under this EULA will not apply to the extent prohibited or limited by applicable law. Some jurisdictions do not allow the exclusion of implied warranties or the exclusion or limitation of incidental or consequential damages or other rights, so those provisions of this EULA may not apply to you.
By installing, accessing, copying and/or using the Software or documentation you are agreeing to be bound by the terms and conditions of this EULA on behalf of yourself or the entity that you represent in connection with such installation, access, copying and/or use. You represent and warrant that (i) you have the right, authority, and capacity to accept and agree to the terms of this EULA on behalf of yourself or the entity you represent (ii) you are of sufficient legal age in your jurisdiction of residence, (iii) you are not located in a country that is subject to a U.S. Government embargo, or that has been designated by the U.S. Government as a “terrorist supporting” country; and (ii) you not listed on any U.S. Government list of prohibited or restricted parties.
If you do not wish to be bound by the terms of this EULA you may not install, access, copy or use the Software in any way (whether or not pre-installed on a device you have purchased).
- Permitted Use of Software/ Software License.
Subject to the terms of this EULA, Linortek grants you a limited, revocable, non-exclusive, non-sublicensable, non-transferable right and license to (a) download, install and execute one copy of the Software, in executable object code form only, solely on the Linortek Product that you own or control and to (b) use the Software solely in connection with the Linortek Product in accordance with its intended use as described on the Linortek website (each of 1(a) and 1(b) a “Permitted Use” and collectively “Permitted Uses”). - Restrictions on Your Use of the Software.
You agree not to, and not to permit others to, use the Software for any purpose other than the Permitted Uses described in Section 1 above. This means, among other things, you may not:
(a) edit, alter, modify, adapt, translate, make derivative works of, disassemble, reverse engineer or reverse compile any part of the Software (except to the extent applicable laws specially prohibit such restriction for interoperability purposes, in which case you agree to first contact Linortek and provide Linortek an opportunity to create such changes as are needed for interoperability purposes);
(b) license, assign, distribute, transmit, sell, rent, host, outsource, disclose or otherwise use the Software for any commercial purpose or make Software available to any third party;
(c) allow any third party to use the Software on behalf of or for the benefit of any third party;
(d) use any portion of the Software on any device or computer other than the Linortek Product that you own or control;
(e) use the Software in any way that breaches any applicable local, national or international law; or
(f) remove or alter any labels, symbols, legends or proprietary notices, including but not limited to any copyright, trademark, logo in the Software. You may not disclose the results of any performance or functional evaluation of any of the Software to any third party without the prior written consent of Linortek for each such release. - Updates.
Linortek may from time to time develop updates, upgrades, patches, bug fixes and other modifications (“Updates”) to improve the performance of the Software. Except as otherwise provided on the Linortek website, these Updates will be provided to you free of charge. These Updates may be automatically installed without notice to you. By using the Software, you also consent to automatic Updates. If you do not agree to this you may not install, access, copy or use the Software in any way. - Ownership.
The Software is licensed to you and not sold. Linortek reserves all rights to the Software and any Updates not expressly granted herein. The Software and Linortek Products are protected by copyright, trademark and other intellectual property laws and treaties. Linortek and its licensors own the title, copyright, trademarks and other intellectual property rights in the Software. You are not granted any rights to Linortek’s trademarks or service marks. There are no implied licenses in this EULA. - Termination.
This EULA is effective from the date you first use the Software and will continue for as long as you own the Linortek Product
associated with it or until you or Linortek terminate this agreement under this section. You may terminate this EULA at any time
upon written notice to Linortek at the address provided below. Linortek may terminate this EULA at any time if you fail to comply with any of the terms in this agreement. The license granted in this EULA terminates immediately when the agreement terminates. Upon termination, you must stop using the Linortek Product and the Software and you must delete all copies of the Software. The terms of Sections 2 will still remain in effect after the agreement terminates. - Warranty Disclaimer.
EXTENT PERMITTED BY APPLICABLE LAW, LINORTEK PROVIDES THE SOFTWARE “AS-IS” AND DISCLAIMS ALL WARRANTIES AND CONDITIONS, WHETHER EXPRESS, IMPLIED, OR STATUTORY, INCLUDING THE WARRANTIES OF MERCHANTABILITY, FITNESS FOR A PARTICULAR PURPOSE, TITLE, QUIET ENJOYMENT, ACCURACY, AND NON-INFRINGEMENT OF THIRD-PARTY RIGHTS. LINORTEK DOES NOT GUARANTEE ANY SPECIFIC RESULTS FROM THE USE OF THE SOFTWARE. LINORTEK MAKES NO WARRANTY THAT THE SOFTWARE WILL BE UNINTERRUPTED, FREE OF VIRUSES OR OTHER HARMFUL CODE, TIMELY, SECURE, OR ERROR-FREE. YOU USE THE SOFTWARE AND THE LINORTEK PRODUCT AT YOUR OWN DISCRETION AND RISK. YOU WILL BE SOLELY RESPONSIBLE FOR (AND LINORTEK DISCLAIMS) ANY AND ALL LOSS, LIABILITY, OR DAMAGES RESULTING FROM YOUR USE OF THE SOFTWARE AND LINORTEK PRODUCT. - Limitation of Liability.
Nothing in this EULA and in particular within this “Limitation of Liability” clause shall attempt to exclude liability that cannot be
excluded under applicable law.
TO THE MAXIMUM EXTENT PERMITTED BY APPLICABLE LAW, IN ADDITION TO THE ABOVE WARRANTY DISCLAIMERS, IN NO EVENT WILL (A) LINORTEK BE LIABLE FOR ANY CONSEQUENTIAL, EXEMPLARY, SPECIAL, OR INCIDENTAL DAMAGES, INCLUDING ANY DAMAGES FOR LOST DATA OR LOST PROFITS, ARISING FROM OR RELATING TO THE PRODUCTS OR SOFTWARE, EVEN IF LINORTEK KNEW OR SHOULD HAVE KNOWN OF THE POSSIBILITY OF SUCH DAMAGES, AND (B) LINORTEK’S TOTAL CUMULATIVE LIABILITY ARISING FROM OR RELATED TO THE PRODUCTS AND SOFTWARE, WHETHER IN CONTRACT OR TORT OR OTHERWISE, SHALL BE LIMITED TO AN AMOUNT NEVER TO EXCEED THE AMOUNT ACTUALLY PAID BY YOU TO LINORTEK AND LINORTEK’S AUTHORISED DISTRIBUTOR OR SALES REPRESENTATIVE FOR THE PRODUCTS OR SERVICES AT ISSUE IN THE PRIOR 6 MONTHS (IF ANY). THIS LIMITATION IS CUMULATIVE AND WILL NOT BE INCREASED BY THE EXISTENCE OF MORE THAN ONE INCIDENT OR CLAIM. LINORTEK DISCLAIMS ALL LIABILITY OF ANY KIND OF LINORTEK’S LICENSORS AND SUPPLIERS. - Compliance with Export Laws.
You acknowledge that the Software and related technology are subject to U.S. export control laws U.S. export jurisdiction and may be subject to export or import regulations in other countries. You agree to strictly comply with all applicable international and national laws and regulations that apply to the Software, including the U.S. Export Administration Regulations as well as end-user, end-use, and destination restrictions issued by U.S. and other governments. You acknowledge that you have the responsibility to obtain authorization to export, re-export, or import the Software and related technology, as may be required. You will indemnify and hold Linortek harmless from any and all claims, losses, liabilities, damages, fines, penalties, costs and expenses (including attorney’s fees) arising from or relating to any breach by you of your obligations under this section. - Assignment.
You may not assign any of your rights or obligations under this EULA, and any attempt to assign will be void and without effect. - Notices.
Linortek may provide any notice to you related to this EULA using the email and address that you provided when you registered with Linortek. - Waiver
To be effective, any and all waivers by Linortek hereunder must be in writing and signed by an authorized Linortek representative. Any other failure of Linortek to enforce any term hereunder will not be deemed a waiver. - Severability.
Any provision of this EULA that is found to be unenforceable will be edited and interpreted to accomplish the objectives of that provision to the greatest extent possible under applicable law and all remaining provisions will remain in full force and effect. - Governing Law; Venue.
You agree that this EULA, and any claim, dispute, action, cause of action, issue, or request for relief arising out of or relating to this EULA, will be governed by the laws of the state of North Carolina, U.S.A., without regard to conflicts of laws principles, provided that if you reside in a country that will not apply U.S. law to disputes related to these terms, then the laws of your country will apply. You also agree that the United Nations Convention on Contracts for the International Sale of Goods shall not apply. You agree that regardless of any statute or law to the contrary, any cause of action against us arising out of or related to the Linortek website, the Software or the Linortek Products must commence within one (1) year after the cause of action accrues or such cause of action shall be permanently barred. Any action or proceeding relating to this EULA must be brought in a federal or state court located in Raleigh, North Carolina and each party irrevocably submits to the jurisdiction and venue of any such court in any such claim or dispute, except that Linortek may seek injunctive relief in any court having jurisdiction to protect its intellectual property.
This Product may expose you to traces of chemicals including lead which is known to the state of California to cause cancer or birth defects or other reproductive harm. For more information, visit www.p65warnings.ca.gov
Thank you for purchasing the Linortek-NTG tone generator and controller. This powerful multitone generator can easily be wired into an existing PA system to schedule and play automated messages or play a pre-recorded message based on user-defined conditions. All of our products and designed and manufactured in the USA using the highest quality materials to provide a long lasting and reliable service to you.
All of our controllers come complete with all parts and software necessary for installation, operation and ability to control the devices attached to it. Upon arrival, please inspect the contents of the box to ensure that your kit is complete and contains all necessary components.
Quick Setting Instruction
- Wire the speakers to the amplifier, connect the Netbell-NTG line output to one of your amplifier audio inputs with the provided cable. Please refer to Audio Output Connection of this manual for wiring instruction.
- Find the IP address with Linortek Discover tool to access the software. Please check Finding the IP Address to Access the Software on this manual for instructions of finding the IP address.
- Enable audio system so that you can use different sounds for different events. Please refer to Enabling
the Audio File System on this manual for instruction of how to enable the audio system. - Set time and date. Your Netbell-NTG is set to use Eastern Standard Time (GMT-5) by default. If your timezone is different than that, you need to change the time zone to your local timezone. Please refer to Setting Time and Date of this manual for how to change the time.
- Assign audio tones to a relay so that you can schedule to play that sound for break time alarm. For instructions of how to assign a tone to a relay, refer to Assigning Audio Tones to Relays of this manual for instructions.
- Create custom sounds for your Netbell-NTG: you can upload custom sounds up to 10 hours on your Netbell-NTG and schedule to play those sounds. Please refer to Creating Custom Sounds section of this manual for instructions.
- Schedule audio playback from Bell Scheduling page. Once you have assigned a sound to a relay from step 5 (and 6 if you use your custom sounds), you can add timed schedules to play the sound. Please refer to Scheduling Audio Playback of the manual for instructions.
- Use an external trigger a sound. You can connect a digital sensor or a push switch to one of the digital inputs to trigger special sounds for special events or emergency. Please refer to Using an External Trigger section on the manual for instructions.
Factory Reset
To reset the SERVER to its factory defaults, first to push the RESET button, the RED LED should be blinking and the GREEN LED is on. While in this state (called Bootload state) press and hold the RELOAD (DFLT) button (about 10- 15seconds) until the RED LED comes on steady (blinks at 1 second rate).
There is an equivalent RESET DEFAULTS function in the web browser at System/ Load/Reboot System page. Check the Restore Default Values box, then click the Boot Mode button, your device will be reset to factory default once the RED LED come back to normal (blinks at 1 second rate).
For instructional videos, FAQ’s and contact information for our technical support team, please visit: https://www.linortek.com/technical-support
For full instructions on the Web Interface please see the Fargo G2 and Koda Manual available at:
https://www.linortek.com/downloads/documentations/
Wiring the Netbell-NTG
The Netbell-NTG unit is a self-contained web server configured with various input and output circuits designed to output an audio signal to a PA system. You should not use voltages through the Netbell-NTG exceeding 48 volts. IT IS NOT SAFE.
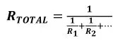
The output ratings for the Netbell-NTG are a 30-ohm impedance at 70mA maximum, and a 2.1V audio signal. The line output from the terminal is suited for this and can be wired directly to a power amplifier that uses AC voltage. Take note of the ohm ratings of your speakers and how they are wired, make sure you use the following calculation to determine if you are within the amplifier’s impedance ratings.
R represents the impedance (ohms)

The Netbell-NTG has a stereo line out, a terminal block with left and right outputs, which can be connected to a power amplifier for a higher volume or the ability to drive larger speakers. Make sure the amplifier has a stereo line input, and is rated to drive the speakers you wish to connect too. We are not responsible for 3rd party amplifiers or speakers connected to our device, or the failure of our Netbell-NTG when wired incorrectly.
We provide 3 cable types (RCA stereo to line out, 3.5mm stereo to line out, and a 2-ply stranded wire for line in/line out) to connect your Netbell-NTG to an amplifier or PA system, etc. Choose the cable that matches your amplifiers audio input to be able to wire it to your Netbell-NTG.

Power Connection
To power the Netbell-NTG connect the power supply to the 12VDC and GND power terminal.
When connecting the power supply, connect the positive wire of the 12VDC power supply to the 12VDC terminal, negative cable (marked with a white stripe) to the GND terminal. Plug the power supply to a suitable AC outlet. At this point, the GREEN/BOOT LED light on the board should come on and start flashing, indicating that the NetbellNTG is operating and is in the “Bootloader Mode”. After about 5 seconds, the GREEN LED will go off and the RED LED will start blinking, indicating the Netbell-NTG is operating in “Server Mode” and it is accessible on a network utilizing TCP/IP protocols.
Ethernet Connection
Plug the Internet cable into the NET connector. The “Connection” LED light on the board will come on if a 100MHz network is available, otherwise it will remain off and the “Activity” LED should start blinking indicating network activity.
Audio Output Connection
We provide three different kinds of cable to connect your Netbell-NTG to your amplifier depending on what type of input connection is on your amplifier.
a) The most common audio input for amplifiers is an RCA connection, the YELLOW wire is to be wired into the LFT terminal position, the RED wire is to be wired into the RGT terminal position and the BLACK wires are always wired into the GND terminal position.
b) If your amplifier uses a 3.5mm stereo audio jack input then use the provided 3.5mm stereo to line out cable. The YELLOW wire is to be wired into the LFT terminal position, the RED wire is to be wired into the RGT terminal position and the BLACK wires are always wired into the GND terminal position.
c) If your amplifier uses an audio line input then use two 18-gauge 2-ply cable (not provided). As the wires for the 2-ply cable will be the same color for both left and right sides, wire the left side first then once completed wire the right side to avoid crossing the input/outputs. Use the black wires for the GND positions and the red wires for the LFT and RGT positions for each respective input/output.
Relay Output Connection
There are two relay outputs on the board. They are both dry contact (48V max 5A@12VDC, 3A@24VDC). There are 3 terminals for each relay labelled: NO, C, and NC which stand for Normally Open, Common and Normally Closed. Physical bells/buzzers can be connected to the C and NO terminals. When wiring physical bells or buzzers to the relay output, you need to select a suitable power source that meets the requirements of the bell or buzzer. Wire one side of the power source to one side of the bell – The other power wire is connected to the relay terminal C. Finally, connect the other side of the bell wire to relay terminal NO.
Digital Input Connection
There are 4 digital inputs (5-24VDC) built on the board for triggering special notifications/emergency alerts. A sensor such as temperature sensor or a push switch can be connected to the digital input. Please note, when connecting a 12VDC-48VDC sensor to the input, an external resistor (provided upon request, 2.2k ohm 0.5watt) must be used.
There are two modes of operation for the digital inputs: ISOLATED and PULL UP.
a) ISOLATED mode allows you to directly drive the Netbell-NTG’s opto-isolator with an external voltage though and internal 1K resistor. This voltage may be in the range of 5VDC to 48VDC supplying a minimum of 2mA or a maximum of 30mA to the opto-isolator diode. There is no other internal connection to this voltage so it is an isolated input.
b) PULL UP mode connects a 1K resistor to an internal voltage allowing you to use a simple switch (such as a magnetic door switch) across terminals 1 and 2. When the switch is activated a signal is sent to the input.
These modes are selected by the switch on the server (see the board layout for reference) marked ISO and PU for isolated or pullup respectively. On the Netbell-NTG put the switch up for pullup and down for isolated.
CAUTION: These units are ground isolated. Always connect so that power loop is only connected to the NetbellNTG unit. Do NOT use external ground connections. Doing so may damage the Netbell-NTG or POE originating device. If you intend to use the isolated mode, set the input switch before applying an external voltage. Doing otherwise may damage the Netbell-NTG or POE originating device.
Wiring a Background Music Connection

The Netbell-NTG is capable of using its relays to switch between an external stereo source such as a PA system or a music player. Following the wiring schematic above, the External source is wired into the relays using a Normally Closed circuit. It is then connected to the audio Line Out of the Netbell-NTG.
The Netbell-NTG must then be configured to disconnect the music source while playing the tone. Please refer to page 18 for instructions to program your Netbell-NTG for this.
Netbell-NTG Speaker System Wiring Diagram

This is a 70V speaker system. 70V speakers are designed to be wired in parallel, with the wattage adding up to be no more than 80% of the amplifier’s wattage output as to give you ample headroom. The above diagram shows how to wire 4 speakers, additional speakers would be added to the 70V circuit exactly like speaker #4.
The speakers included with the NTG speaker kit have a 10 foot 2-conductor wire pre-installed to each speaker. To connect the speakers, refer to the diagram above to wire these speakers in parallel. Use the 70V wire for the amplifier’s 70V output, and the com wire for the ground (COM).
Cable Requirements: If you need to extend the cable, the cable needs not be shield in most case and should be of sufficient gauge to minimize losses due to the resistance of the wire over long runs (insertion loss). Cable thinner than 18 gauge AWG is not recommended. Long runs require 16 gauge AWG or heavier.
In some cases where the output cable is run in close proximity to unshielded intercom cables, electrical cables, radio transmission antennas or other sources of interference, or when the amplifier is being used for paging from a telephone system, the amplifier may require shielded output cabling to prevent audio feedback or interference.
Finding the IP Address to Access the Software
Once your Netbell-NTG is powered on and connected to the network, it will automatically obtain an IP address via DHCP as long as your router is configured to do so. To connect, enter the IP address into your web browser. This will take you to your Netbell-NTG’s landing page. To log in, click the Log In button on the top right of the page. Your browser will prompt you to enter your username and password. By default, these credentials are both set to admin. To find your Netbell-NTG’s IP address, see below.
Using Linortek Discoverer
The Discoverer program will automatically locate your Netbell-NTG SERVER. The Discoverer is a Java program, and requires Java Runtime to be installed to use this feature. Java can be found here: http://java.com/en/download/index.jsp.
To download the Discover program, please go to: https://www.linortek.com/downloads/supportprogramming/
Use of Chrome & Firefox browsers is recommended. Please note: If you prefer to use Internet Explorer, Internet Explorer saves Linortek Discoverer as a Zip file by default. In order to use the Discoverer, you will need to select Save as and rename the file as Linortek Discoverer.jar when you download.
When downloading the Discover program, sometimes you will see a popup warning message depending on your browser security settings, asking if you want to keep or discard this file, please click the Keep button as this is a Java program, it won’t harm your computer.
Once Discoverer locates your device, it will display:

- IP Address
- Host Name
- MAC Address
- Other Info:
a. Blue LED (if on)
b. Product Name
c. Server Software Revision
d. Port Number (If ported)
Click the device you want to use shown on the Discoverer program to launch the SERVER web pages in your browser. Click the Login button on the homepage. Default username/password is: admin/admin. You may change these as you desire or disable this feature in the Settings menu.
Connecting Directly to Your PC
You can also plug your Netbell-NTG directly to your PC in the case there is no network connection available. If you plug your Netbell-NTG into your PC’s Ethernet port it will use the default IP address: 169.254.1.1 unless you have previously configured your Netbell-NTG to use a static IP. Enter 169.254.1.1 into your web browser to connect. No internet connection required. Once configured, you can then install your Netbell-NTG where desired.
Basic Software Configuration
If you are configuring your Netbell-NTG for the first time, the section below will demonstrate how to enable the audio system. If you have already done this, skip to the section Assigning Audio Tones to Relays.
Enabling the Audio File System
Upon logging into your Netbell-NTG for the first time you will need to activate the audio system.
- Navigate to the SETTINGS dropdown menu, then click SETTINGS.
- Enter audio in the UART Usage field (not case sensitive).
- Check the box Use Audio File System.
Click SAVE, the device should start playing through the files on the SD card now.

Setting Time and Date
When first configuring your Netbell-NTG you will need to verify the time and date on your home page. Your Netbell-NTG is configured by default to use Eastern Standard Time (GMT-5) and will apply correction for daylight savings time. To change these settings, navigate to the Settings dropdown menu and then choose Time/Date. You can then change your time zone by adjusting the value in the third box labeled Time Zone.
If you intend to keep your Netbell-NTG off your network after configuring, you will need to uncheck Use Daylight Savings Time and Use NTP Update. You will then have to manually set the time to account for daylight savings, and adjust the time periodically to account for time creep.

Assigning Audio Tones to Relays
There are 40 tones pre-loaded on the Micro SD card in your Netbell-NTG. These sounds can be heard at https://www.linortek.com/netbell-ntg-standard-sound-list/. The following example will use the tone named “GOODMORN” (first tone listed on our website) and will assume a bell schedule is only using bell #1.
- Navigate to the Tasks page on your Netbell-NTG
- Click the Edit icon at the end of the first available line
- Enter a name (if desired) in the Schedule Name field
- Check the Use box
- Set Device A to RELAY
- Set Data A to 01+ (This refers to the Bell 1 on the bell schedule page for bell 2, 3, … use 02+, 03+, …)
- Set Device C to SEND UART
- Set Data C to PGOODMORNOGG (This must be an 8-character name preceded by P and followed by OGG. This must be capitalized)
- Set Action to ON
- Click SAVE

Scheduling Audio Playback
Once the audio system is enabled you can then program your Netbell-NTG for audio playback. This can be done using the Netbell-NTG’s Bell Schedule, or by using an external signal as a trigger.
Creating a Bell Schedule from the Bells Page
Each Netbell-NTG can set up to 500 bell event schedules. To add an event schedule, navigate to the Services dropdown menu, then select Bells. You will see the following page:

You may use this page to enter up to 500 events. An event can be created in 9 simple steps.
- Enter an event name up to 15 characters long (use letters and numbers only)
- Use the 3 fields labeled Time to enter the time in HH:MM:SS (Note: the first field to select the hour uses a 24hr format. For 12 AM select 00, for 1 PM select 13)
- (Optional) Enter a date. This will trigger the event only on this specific date
- Enter a duration. Open the dropdown menu on the second box and choose either mS, Sec, or Min for milliseconds, seconds, or minutes respectively. In the first box then enter a value determining how many of the chosen unit of measurement
- Click the Add button. You will see this event listed above. Subsequent events will be listed in chronological order
- Once an event is added, you may adjust which relay output is triggered by selecting pips 1 – 8 under the Bell column. By default, 1 and 2 are automatically selected. Note which numbers you are using as you will need to assign a sound to each one. For numbers 5 – 8 see the section Activating Extended Relay Range on page 18
- You may choose which days of the week will use this event under the Day column. Days are listed Sunday – Saturday (Note: if a specific date is chosen it will override the Day column)
- Check the Use box to enable this schedule. If you only want it to trigger one time, check the Once box
- Finally, click Save
Below is an example of what a bell schedule may look like.

Deleting Items
You can delete an item from your schedule by clicking the DEL button to the right of the list. To clear the entire schedule, enter #!reset@memory! Into the Name field and click Add.
Uploading a Premade Schedule
You may upload a Premade schedule by entering #upload into the Name field and click Add. This will take you to a new page. Click Choose File to browse your computer for the schedule in either .txt or .csv format. Once selected, click Upload. This will return you to the previous screen with your new schedule listed.
You can create a schedule using a Plain Text editor such as Notepad. Your first line should be #Start – each subsequent line will be a separate entry with 13 items, each separated by a comma. Save this file as Plain Text (.txt).
Saving your Bell Schedule
To save the bell schedule on your Netbell-NTG, click on the Download button in the bottom-right. This will open a new tab in your browser and display the schedule as plain text. Copy and paste this text into a plain text editor such as Notepad and save.
Creating a Bell Schedule Using the Bell Scheduler Desktop App
There is a free desktop app to create a bell schedule available at: https://www.linortek.com/downloads/supportprogramming/
Documentation is available at: https://www.linortek.com/downloads/documentations/
Below is a sample prewritten bell schedule.

Using an External Trigger
You may also program your Netbell-NTG to play a tone upon input from an external trigger such as a pushbutton or door contact switch.
Note: unless your trigger device supplies its own power, ensure your input switch is set to Pull UP (PU) (See Wiring the Netbell-NTG page 5 and Board Layout Reference page 21)
Activating the Digital Input
Note: The following guide will assume you are using Digital input 1 and the tone EVACUATE.
Navigate to the Services dropdown menu and select Inputs. The top 4 items are your digital inputs. They are marked DIN 1 – DIN 4. Click on the blue pencil icon under DIN 1 and enter the following settings.
- Enter a name in the Name field (if desired)
- Enter a label in the Label field (if desired)
- Check the Use box
- Set Type to State
- Set Relay L/T to 0L
- Set Command L/Z/N/I to i
- Click SAVE

Setting Task for Digital Input
Now that your external trigger is wired to your Netbell-NTG and your digital input is configured, you will need to set up a task.
- Navigate to the Tasks page
- Click the Edit icon on the first available task
- Name the task if desired
- Check the Use box
- Set Device A to Digital
- Set Data A to 1S=1 (1 represents the number of the digital input, S signifies to your device to refer to input state, the last 1 signifies the state is on)
- Set Device C to Send UART
- Set Data C to PEVACUATEOGG (to play sound file EVACUATE in this sample)
- Set Action to ON
- Click Save
If you are using a trigger such as a door contact switch, set Data A in the example above to 1S=0 to play the tone when the contact is broken.

Programming Netbell-NTG to Interrupt Background Music
Your Netbell-NTG can also be interrupt background music from an external source. Once your Netbell-NTG is wired to your audio system shown in page 8, you can program the Netbell-NTG to open its relays, play a prerecorded tone or message and then resume the background music connection.
First, create a bell schedule event for the desired times. Relays (bells) 1 and 2 will need to be triggered to disconnect the external source. And use relay 3-8 on the bell schedule page to play the audio file on your NetbellNTG
Next create a task using relay 3-8 as described in page 12 to trigger the tone or message.
Enabling Extended Relay Range
While your Netbell-NTG only has 2 relays built-in, you can activate up to 8 relays for the purpose of scheduling additional tones and messages. To enable these software relays, follow the following steps:
- Navigate to the Settings dropdown menu and select Settings
- Check the box labeled Extend Relay Range
- Click SAVE
Now that the extended relay range is activated, you can assign tones to relays 5-8 in the Tasks page. These will correspond with Bells 5-8 on the bell schedule page.
Creating Custom Sounds
The device comes installed with 40 default sounds from the factory. You can create custom sounds or record messages and save them to the built-in micro SD card to play your Netbell-NTG. The Netbell-NTG uses the .ogg file format for the playback of audio. If your custom sounds or messages are not in this format you will need to convert the file to an .ogg file.
We recommend using Audacity to create your custom tones and messages. Audacity is a free program that enables you to record directly to .ogg format and also to convert other audio files into the .ogg format.
Note: When creating your custom file, the name of the file must be 8 characters long using only capitalized letters or numbers.
Audio File Guidelines
- The Netbell-NTG comes with a 1GB Micro SD card, you can record and save over 10 Hours audio file on the card at 44.1k rate/16bit resolution.
- The system supported file rates are 44.1k, 22k and 11k. Supported file resolutions are 16 bit and 8 bit. For best quality the .ogg file should be 44.1k/16bit/stereo.
Adding custom sounds or messages to the Netbell-NTG
- Choose your preferred sounds or record your own message from your computer or your phone.
- Open the lid of the Netbell-NTG and remove the Micro SD card out from the slot on the board.
- Insert the card into your computer’s Micro SD card slot or put it in a Micro SD card reader and connect to your computer.
- Convert your audio files to .ogg format using Audacity. (You may use any other program to convert your audio files into .ogg format, however we found Audacity is the simplest solution to record, edit, and convert audio files to be .ogg file.
- Export the audio file from Audacity and save to the Micro SD card after converting. When exporting the file, make sure the file name is 8 characters long such as sound001 or the audio file system will not recognize it.
- Remove the Micro SD card from your computer or card reader and insert it back into the Netbell-NTG’s card slot.
- Refer to pages 12 – 16 to program your Netbell-NTG to use your new sounds.
Using Audacity
- Download the Audacity program to your computer from here: https://www.audacityteam.org/
- Open the audio file in the Audacity program by clicking OPEN in the FILE dropdown menu.
- Export the audio files as an OGG file by clicking EXPORT under the FILE dropdown menu, then clicking Export as OGG, save it to the SD card.

Note: To change the pitch (the sound quality), select the whole file in Audacity by typing “CTRL + A,” Then going under “Effect” and clicking “Change Pitch.”
Board Layout Reference

- Micro SD card slot
- Audio Module
- Line out (stereo, 30 ohms impedance rating at 70mA max and 2.1V)
- 3.5mm Audio Jack (Caution: the headphone jack of the Netbell-NTG outputs in DC voltage, and is not suitable to be wired into a power amplifier that uses AC voltage on its input line, it is not safe and can destroy the product.)
- Digital Inputs (#1 is located at the top) 5VDC48VDC 12VDC48VDC must use the external resistor provided
- Relay outputs, 12VDC 5A, 24VDC 3A, 48VDC max.
- Digital input switches (the order is 4, 3, 2, 1 from left to right)
- RJ45 Connector
- Power Connector (12VDC)
- Reset Button
- Reload Button (turns on blue LED – identified on Discoverer)
This is an image of a bare board Netbell-NTG, it explains the inputs and outputs of the device and the ratings for each. We supply a 1GB Micro SD card with the adapter, and will be enough for over 10 hours of audio playback. If more is desired a larger Micro SD card can be easily installed. The line out is divided into left and right for stereo sound and can be used with an amplifier, it has a 30-ohm impedance rating. Do not connect the audio jack output directly with an AC amplifier, it WILL short out your board. A 12VDC power supply is provided with the board, it is also POE (Power Over Ethernet) capable.
This document can be found at www.linortek.com/downloads/documentations/
If you need assistance with your device please visit www.linortek.com/technical-support
Linor Technology, Inc.
Information subject to change without notice.
Nov 2021
Printed in U.S.A


















