CMS50NA Pulse Oximeter
User Manual
Instructions to User
Dear Users, thank you very much for purchasing our product.
In case of modifications and software upgrades, the information contained in this document is subject to change without notice.
The Manual describes, in accordance with the Pulse Oximeter’s features and requirements, the main structure, functions, specifications, correct methods for transportation, installation, usage, operation, repair, maintenance, and storage, etc. as well as the safety procedures to protect both the user and equipment. Refer to the respective chapters for details.
Please read the Manual very carefully before using this equipment. These instructions describe the operating procedures to be followed strictly, failure to follow these instructions can cause measuring abnormality, equipment damage, and personal injury. The manufacturer is NOT responsible for the safety, reliability, and performance issues
and any monitoring abnormality, personal injury, and equipment damage due to the user’s negligence of the operating instructions. The manufacturer’s warranty service does not
cover such faults.
Owing to the forthcoming renovation, the specific products you received may not be totally in accordance with the description of this User Manual. We would sincerely regret that.
This product can be used repeatedly. Its using life is 3 years.
If you have any questions regarding the use of this product, please call us at 1-847-979-9008 Monday-Friday from 8:00 AM to 5:00 PM Eastern Time.
WARNING:
- An uncomfortable or painful feeling may appear if using the device ceaselessly, especially for the microcirculation barrier users. It is recommended that the sensor should not be applied to the same finger for over 2 hours.
- For the individual users, there should be more prudent inspection in the placing process. The device can not be clipped on the edema and tender tissue.
- The light (the infrared is invisible) emitted from the device is harmful to the eyes, so the user and the maintenance man, can not stare at the light.
- Users can not use enamel or other makeup.
- The user’s fingernail can not be too long.
- Please peruse the relative content about the clinical restrictions and caution.
- This device is not intended for treatment.
The User Manual is published by our company. All rights reserved.
Safety
- Instructions for Safe Operations
- Check the main unit and all accessories periodically to make sure that there is no visible damage that may affect the user’s safety and monitor the performance of cables and transducers. It is recommended that the device should be inspected once a week at least. When there is obvious damage, stop using the oximeter.
- Necessary maintenance must be performed by qualified service engineers ONLY.
Users are not permitted to maintain it by themselves. - The oximeter cannot be used together with devices not specified in the User’s Manual. Only the accessory that is appointed or recommendatory by the manufacturer can be used with this device.
- This product is calibrated before leaving the factory.
Warnings
- Explosive hazard—DO NOT use the oximeter in an environment with inflammable gas such as some ignitable anesthetic agents.
- A person who is allergic to rubber can not use this device.
- The disposal of scrap instruments and their accessories and packings(including batteries, plastic bags, foams, and paper boxes) should follow the local laws and regulations.
- Please check the packing before use to make sure the device and accessories are totally in accordance with the packing list, or else the device may have the possibility of working abnormally.
- Please don’t measure this device with function test paper for the device’s related information.
- Parts of the device that are not serviced or maintained while in use with the user.
- Warning against servicing and maintenance while my equipment is in use.
- No modification of this equipment is allowed.
- The user is an intended operator.
- The probe of the device is the applied part.
Attentions
- Keep the oximeter away from dust, vibration, corrosive substances, explosive materials, high temperature, and moisture.
- If the oximeter gets wet, please stop operating it.
- When it is carried from a cold environment to a warm or humid environment, please do not use it immediately.
- DO NOT operate keys on the front panel with sharp materials.
- High temperature or high-pressure steam disinfection of the oximeter is not permitted. Refer to User Manual in the relative chapter for instructions of cleaning and disinfection.
- Do not have the oximeter immersed in liquid. When it needs cleaning, please wipe its surface with medical alcohol by soft material. Do not spray any liquid on the device directly.
- When cleaning the device with water, the temperature should be lower than 60 ℃.
- As to the fingers which are too thin or too cold, it would probably affect the normal measure of the users’ SpO2 and pulse rate, please clip the thick finger such as the thumb and middle finger deeply enough into the probe.
- Do not use the device on infant or neonatal users.
- The product is suitable for adults (Weight should be between 40 kg to 110 kg).
- The device may not work for all users. If you are unable to achieve stable readings, discontinue use.
- The update period of data is less than 5 seconds, which is changeable according to different individual pulse rates.
- The waveform is normalized. Please read the measured value when the waveform on-screen is equably and steady-going, Here this measured value is the optimal value. And
the waveform at the moment is the standard one. - If some abnormal conditions appear on the screen during the test process, pull out the finger and reinsert it to restore normal use.
- The hanging rope attached to the product is made from Non- allergy material, if a particular group is sensitive to the hanging rope, stop using it. In addition, pay attention
to the use of the hanging rope, do not wear it around the neck to avoid causing harm to the user. - The instrument does not have a low-voltage alarm function, it only shows the low-voltage. please change the battery when the battery energy is used out.
- When the parameter is particularly, The instrument does not have an alarm function. Do not use the device in situations where alarms are required.
- Batteries must be removed if the device is going to be stored for more than one month, or else batteries may leak.
- A flexible circuit connects the two parts of the device. Do not twist or pull on the connection.
Indication for Use
The Pulse Oximeter is a non-invasive device intended for the spot-check of saturation of arterial hemoglobin(SpO2) and the pulse rate of adult in-home use environments. This device is not intended for continuous monitoring. The device can be multi-used. Solely for use with sporting and aviation activities. Intended to monitor heart rate during exercise.
Overview
The pulse oxygen saturation is the percentage of HbO2 in the total Hb in the blood, so-called the O2 concentration in the blood. It is an important bio-parameter for respiration. For the purpose of measuring the SpO2 more easily and accurately, our company developed the Pulse Oximeter. At the same time, the device can measure the pulse rate simultaneously.
The Pulse Oximeter features in small volume, low power consumption, convenient operation, and is portable. It is only necessary for the user to put one of his fingers into a fingertip photoelectric sensor for diagnosis, and a display screen will directly show the measured value of Hemoglobin Saturation.
Features
- The operation of the product is simple and convenient.
- The product is small in volume, light in weight (total weight is about 50 g including batteries), and convenient in carrying.
- The power consumption of the product is low and the two originally equipped AAA batteries can be operated continuously for 20 hours.
- The product will enter standby mode when no signal is in the product within 5 seconds.
- Display direction can be changed automatically, easy to view.
Major Applications and Scope of Application
The Pulse Oximeter can be used in measuring pulse oxygen saturation and pulse rate through the finger. The product is suitable for family use(It can be used before or after doing sports, and it is not recommended to use the device during the process of doing sport).
The problem of overrating would emerge when the user is suffering from toxicosis which is caused by carbon monoxide, the device is not recommended to be used under this circumstance.
Environment Requirements
Storage Environment
a) Temperature: -40 ℃~ +60 ℃
b) Relative humidity: ≤95%
c) Atmospheric pressure: 500 hPa ~ 1060 hPa
Operating Environment
a) Temperature: 10 ℃ ~ 40 ℃
b) Relative Humidity: ≤75%
c) Atmospheric pressure: 700 hPa ~ 1060 hPa
Principle and Caution
Principle of Measurement
The principle of the Oximeter is as follows: An experience formula of data process is established taking use of Lambert-Beer Law according to Spectrum Absorption Characteristics of Reductive Hemoglobin (Hb) and Oxyhemoglobin (HbO2) in glow & near-infrared zones. The operation principle of the instrument is: Photoelectric Oxyhemoglobin Inspection Technology is adopted in accordance with Capacity Pulse Scanning & Recording Technology so that two beams of different wavelengths of lights can be focused onto a human nail tip through a perspective clamp finger-type sensor. Then measured signal can be obtained by a photosensitive element, information acquired through which will be shown on screen through treatment in electronic circuits and microprocessors.

Caution
- The finger should be placed properly (see the attached illustration of this manual, Figure 7), or else it may cause inaccurate measurement.
- The SpO2 sensor and photoelectric receiving tube should be arranged in a way with the subject’s arteriole in a position therebetween.
- The SpO2 sensor should not be used at a location or limb tied with the arterial canal or blood pressure cuff or receiving an intravenous injection.
- Make sure the optical path is free from any optical obstacles like rubberized fabric.
- Excessive ambient light may affect the measuring result. It includes a fluorescent lamp, dual ruby light, infrared heater, direct sunlight and etc.
- Strenuous action of the subject or extreme electrosurgical interference may also affect the accuracy.
- Users can not use enamel or other makeup.
Clinical Restrictions
- As the measure is taken on the basis of arteriole pulse, the substantial pulsating blood flow of the subject is required. For a subject with a weak pulse due to shock, low ambient/body temperature, major bleeding, or use of the vascular contracting drug, the SpO2 waveform (PLETH) will decrease. In this case, the measurement will be more sensitive to interference.
- For those with a substantial amount of staining dilution drug (such as methylene blue, indigo green and acid indigo blue), or carbon monoxide hemoglobin (COHb), or
methionine (Me+Hb) or this salicylic hemoglobin, and some with icterus problems, the SpO2 determination by this monitor may be inaccurate. - The drugs like dopamine, procaine, prilocaine, lidocaine, and butacaine may also be a major factor blamed for serious errors in SpO2 measures.
- As the SpO2 value serves as a reference value for judgment of anemic anoxia and toxic anoxia, some users with serious anemia may also report good SpO2 measurement.
Technical Specifications
- Display Format: LCD Display;
SpO2 Measuring Range: 0% ~ 100%;
Pulse Rate Measuring Range: 30 bpm ~ 250 bpm;
Pulse Wave Display: columniation display and the waveform display. - Power Requirements: 2×1.5 V AAA alkaline battery (or using the rechargeable battery instead), adaptable range: 2.6 V ~ 3.6 V.
- Power Consumption: Smaller than 30 mA.
- Resolution: 1% for SpO2 and 1 bpm for Pulse Rate.
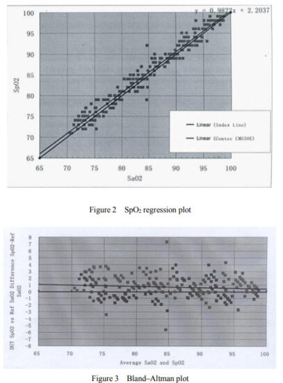
- Measurement Accuracy: ±2% in the stage of 70% ~ 100% SpO2, and meaningless when stage being smaller than 70%. ±2 bpm during the pulse rate range of 30 bpm ~ 99 bpm and ±2% during the pulse rate range of 100 bpm ~ 250 bpm. Clinical Trial: SpO2 regression plot & Bland–Altman plot, Refer to Figure 2 & Figure 3.
- Measurement Performance in Weak Filling Condition: SpO2 and pulse rate can be shown correctly when the pulse-filling ratio is 0.4%. SpO2 error is ±4%, pulse rate error is ± 2 bpm during the pulse rate range of 30 bpm ~ 99 bpm and ±2% during the pulse rate range of 100 bpm ~ 250 bpm.
- Resistance to surrounding light: The deviation between the value measured in the condition of man-made light or indoor natural light and darkroom is less than ±1%.
- It is equipped with a function switch: The product will enter standby mode when no signal is in the product within 5 seconds.
- Optical Sensor
Red light (wavelength is 660 nm, 6.65 mW)
Infrared (wavelength is 880 nm, 6.75 mW)

Accessories
- One hanging rope;
- Two batteries(optional)
- One User Manual.
Installation
View of the Front Panel


Battery
Step 1. Refer to Figure 5. and insert the two AAA size batteries properly in the right direction.
Step 2. Put back the cover.
Please take care when you insert the batteries for the improper insertion may damage the device.
Mounting the Hanging Rope
Step 1. Put the end of the rope through the hole as shown in Figure 6.
Step 2. Put another end of the rope through the first one and then tighten it.
Operating Guide
- Insert the two batteries properly in the direction, and then replace the cover.
- Open the clip as shown in Figure7.
- Let the user’s finger put into the rubber cushions of the clip (make sure the finger is in the right position), and then clip the finger. As shown in Figure 5.

- Press the switch button once on the front panel.
- Do not shake the finger and keep the user at ease during the process. Meanwhile, the human body is not recommended for movement status.
- Get the information directly from the screen display.
- The button has two functions. When the device is in standby mode, pressing the button can exit it; When the device is in operation status, pressing the button long can
change the brightness of the screen. - The device could change display direction according to the handing direction.
Fingernails and the luminescent tube should be on the same side.
Repairing and Maintenance
- Please change the batteries when the low-voltage is displayed on the screen.
- Please clean the surface of the device before using it. Wipe the device with medical alcohol first, and then let it dry in the air or clean it by dry clean fabric.
- Use the medical alcohol to disinfect the product after use, and prevent cross-infection for next time use.
- Please take out the batteries if the oximeter is not in use for a long time.
- The packed device can be transported by ordinary conveyance or according to transport contract. The device can not be transported mixed with toxic, harmful, corrosive material.
- The best storage environment for the device is -40 ºC to 60 ºC ambient temperature and not higher than 95% relative humidity.
- Users are advised to calibrate the device termly (or according to the calibrating program of the hospital). It also can be performed at the state-appointed agent or just contact us for calibration.
High-pressure sterilization cannot be used on the device.
Do not immerse the device in liquid.
It is recommended that the device should be kept in a dry environment.
Humidity may reduce the useful life of the device, or even damage it.
Troubleshooting
| Trouble | Possible Reason | Solution |
| The Sp02 and Pulse Rate can not be displayed normally | 1. The finger is not properly positioned. 2. The user’s Sp02 is too low to be detected. | 1. Place the finger properly and try again. 2. Try again; Go to a hospital for a diagnosis if you are sure the device works all right. |
| The Sp02 and Pulse Rate are displayed stably | 1. The finger is not placed inside deep enough. 2. The finger is shaking or the user is moving. | 1. Place the finger properly and try again. 2. Let the user keep calm |
| The device can not be turned on | 1. The batteries are drained or almost drained. 2. The batteries are not inserted properly. 3. The malfunction of the device. | 1. Change batteries. 2. Reinstall batteries. 3. Please contact the local service center. |
| The display is off suddenly | 1.The product will enter standby mode when no signal is in the product within 5 seconds 2. The batteries are almost drained. | 1. Normal. 2. Change batteries. |
Key of Symbols
| Symbol | Description |
| Type BF | |
| Refer to the instruction manual/booklet | |
| The pulse oxygen saturation(%) | |
| PRbpm | Pulse rate (bpm) |
| The battery voltage indication is deficient (change the battery in time avoid the inexact measure) | |
| 1. No finger inserted 2. An indicator of signal inadequacy | |
| Battery positive electrode | |
| Battery negative electrode; | |
| 1. Exit standby mode. 2. Change the brightness of the screen. | |
| SN | Serial number |
| Alarm inhibit | |
| WEEE (2002/96/EC) | |
| IP22 | International Protection |
| Manufacturer | |
| Manufacture Date | |
| Storage and Transport Temperature limitation | |
| Storage and Transport Humidity limitation | |
| Storage and Transport Atmospheric pressure limitation | |
| This side up | |
| Fragile, handle with care | |
| Keep dry | |
![]() | Recyclable |
Function Specification
| Display Information | Display Mode |
| The Pulse Oxygen Saturation (SpO2) | LCD |
| Pulse Rate (PR) | LCD |
| Pulse Intensity (bar-graph) | LCD bar-graph display |
| Pulse wave | LCD |
| SpO2 Parameter Specification | |
| Measuring range | 0% — 100°4 (the resolution is 1%). |
| Accuracy | 70%— 100%7:12%, Below 70% unspecified. |
| Optical Sensor | Red light (wavelength is 660 nm) Infrared (wavelength is 880 nm) |
| Pulse Parameter Specification | |
| Measuring range | 30 bpm — 250 bpm (the resolution is I bpm) |
| Accuracy | ±2 bpm or ±2% select larger |
| Pulse Intensity | |
| Range | Continuous bar-graph display, the higher display indicates the stronger pulse. |
| Battery Requirement | |
| 1.5 V (AAA size) alkaline batteries x 2 or rechargeable battery | |
| Battery Useful Life | |
| Two batteries can work continuously for 20 hours | |
| Dimensions and Weight | |
| Dimensions | 57(L) mm x 34(V) mm x 31(H) mm |
| Weight | About 50 g (with the batteries) |
Appendix
Guidance and manufacturer’s declaration-electromagnetic emission for all EQUIPMENT and SYSTEMS
| Guidance and manufacturer’s declaration —electromagnetic emission | ||
| The CMS5ONA Pulse Oxinieter is tended for use in the electromagnetic environment specified below. The customer of the user of the CMS5ONA Pulse &briefer should assure that it is used in such an environment. | ||
| Emission test | compliance | Electromagnetic environment-guidance |
| RF emissions CISPR 11 | Group 1 | The CMS5ONA Pulse Oximeter uses RF energy only for its internal function. Therefore, its RF emissions are very low and are not likely to cause any interference in nearby electronic equipment. |
| RF emissions CISPR 11 | Class B | The CMS5ONA Pulse altimeter is suitable for use in all establishments, including domestic establishments and those directly connected to the public low-voltage power supply network that supplies buildings used for domestic purposes. |
| Harmonic emissions IEC 61000-3-2 | Not applicable | |
| Voltage fluctuations/ flicker emission IEC 61000-3-3 | Not applicable | |
Guidance and manufacturer’s declaration-electromagnetic immunity for all EQUIPMENT and SYSTEMS
| Guidance and manufacturer’s declaration-electromagnetic immunity | |||
| The CMS5ONA Pulse Oximeter is intended for use in the electromagnetic environment specified below. The user of CMSSONA Pulse Oximeter should assure that it is used in such an environment. | |||
| Immunity test | 1EC60601 test level | Compliance lance level | Electromagnetic environment-guidance |
| Electrostatic discharge (ESE)) DEC 61000-4-2 | =6KV contact =8KV air | t6KV contact t8KV air | Floors should be wood, concrete or ceramic tile. If the floor is covered with synthetic material, the relative humidity should be at least 30%. |
| Power frequency (50Hz) magnetic field IEC 61000-4-8 | 3A/m | 3A/m | Power frequency magnetic fields should be at levels characteristic of a typical location in a typical commercial or hospital environment |
Guidance and manufacturer’s declaration-electromagnetic immunity for EQUIPMENT and SYSTEMS that are not LIFE-SUPPORTING
| Guidance and manufacturer’s declaration-electromagnetic immunity | |||
| The CMSSONA Pulse oximeter is intended for use in the electromagnetic environment specified below. The customer or the user of CMSSONA Alice Oximeter should assure that it is used in such an environment. | |||
| Ammon attest | 1EC606 01 test level | Compli mice level | Electromagnetic en% i moment -guidance |
| Radiate d RF ICE 610004-3 | 3V/m 80MHz to 2.5GHz | 3V/m | Portable and mobile RF communication equipment should be used no closer to any part of the CMS50NA Pulse Oximeter, including cables, than the recommended separation distance calculated from the equation applicable to the frequency of the transmitter. recommended separation distance Where P is the maximum output power rating of the transmitter in watts (W) according to the transmitter manufacturer and d is the recommended separation distance in meters (m). Field strengths from fixed RF transmitters, as determined by an electromagnetic site survey, should be less than the compliance level in each frequency range.b Interference may occur in the vicinity of equipment marked with the following symbol: |
| NOTE 1 At 80MHz and 800MHz, the higher frequency range applies. NOTE 2 These guidelines may not apply in all situations. Electromagnetic propagation is affected by absorption and reflection from structures, objects, and people. | |||
| a. Field strengths from fixed transmitters, such as base stations for radio (cellular/cordless) telephones and land mobile radios, amateur radio, AM and FM radio broadcasts, and TV broadcasts can not be predicted theoretically with accuracy. To assess the electromagnetic environment due to fixed RF transmitters, an electromagnetic site survey should be considered. If the measured field strength in the location in which The CMS50NA Pulse Oximeter is used exceeds the applicable RF compliance level above, the CMS50NA Pulse Oximeter should be observed to verify normal operation. If abnormal performance is observed, additional measures may be necessary, such as reorienting or relocating the CMS50NA Pulse Oximeter. b. Over the frequency range 150 kHz to 80 MHz, field strengths should be less than 3V/m. | |||
Recommended separation distances between portable and mobile RF communications equipment and the EQUIPMENT or SYSTEM for EQUIPMENT or SYSTEM that are not LIFE-SUPPORTING
| Recommended separation distances between portable and mobile RF communications equipment and the CMS50NA Pulse Oximeter | |||
| The CMS50NA Pulse Oximeter is intended for use in the electromagnetic environment in which radiated RF disturbances are controlled. The customer or the user of the CMS50NA Pulse Oximeter can help prevent electromagnetic interference by maintaining a minimum distance between portable and mobile RF communications equipment (transmitters) and the CMS50NA Pulse Oximeter as recommended below, according to the maximum output power of the communications equipment. | |||
| The rated minimum output power of the transmitter (W) | Separation distance according to the frequency of transmitter (m) | ||
150K14 to 80MHz![]() | SOMilz w SCOMilz![]() | 800hItlz to 23611/![]() | |
| 0.01 | 0.12 | 0.12 | 0.23 |
| 0.1 | 0.37 | 0.37 | 0.74 |
| 1 | 1. | 1.17 | 2.33 |
| 10 | 4. | 3.69 | 7.38 |
| 100 | 12. | 11.67 | 23.33 |
| For transmitters rated at a maximum output power not listed above, the recommended separation distance in meters (m) can be estimated using the equation applicable to the frequency of the transmitter, where P is the maximum output power rating of the transmitter in watts (W) according to the transmitter manufacturer. NOTE 1 At 80MHz and 800MHz, the separation distance for the higher frequency range applies. NOTE 2 These guidelines may not apply in all situations. Electromagnetic propagation is affected by absorption and reflection from structures, objects, and people. | |||


Where P is the maximum output power rating of the transmitter in watts (W) according to the transmitter manufacturer and d is the recommended separation distance in meters (m). Field strengths from fixed RF transmitters, as determined by an electromagnetic site survey, should be less than the compliance level in each frequency range.




















