
Pulse Oximeter
USER MANUAL
Thank you for purchasing the SureLife Pulse Oximeter. This manual contains the instructions necessary to operate the product safely and in accordance with its function and intended use. Observance of this manual is a prerequisite for proper product performance and correct operation and ensures patient and operator safety. Read this manual carefully before using the fingertip pulse oximeter. This product is a reusable medical device. The lifespan of the product is 2 years. This device is a prescription-use device.
SAFETY
- Contraindications
Do NOT use oximeter in a magnetic resonance (MR or CT) environment. - Warnings
Keep the oximeter away from young children. Small parts such as the battery door, battery, and lanyard may be choking hazards. - Cautions
- Do not use the oximeter in the presense of flammable anesthetics.
- The oximeter needs to be used according to information provided in this user manual.
- The equipment is NOT intended for neonate and infant.
- Do not use a damaged oximeter as it may affect measurement performance.
- Do not place the oximeter on the same hand/arm when using a blood pressure monitor or cuff.
- Do not use the oximeter for more than 5 minutes without relocating the device to another finger.
- Do not place the oximeter on edema or fragile tissues.
- Do not use the oximeter as the only basis for making medical decisions, it is intended only to be used as additional information that you can give to your licensed health care professional.
- Do not use the oximeter in high frequency environments such as near electro-surgical equipment.
- Do not place the oximeter in liquid.
- Follow local disposal and recycling laws for the oximeter and its components, including the batteries.
- Do not stare at the light (infrared is invisible) emitted from the oximeter as it is harmful to the eyes.
- For clinical limitations and contraindications, please carefully review the medical literature
- The equipment is just a clinical diagnosis of auxiliary equipment. The physiological data displayed on the equipment are for reference only and can not be directly used for diagnostic interpretation.
- Not suitable for the users with arrhythmia/heart failure/Low perfusion (PI<0.3)/finger trembling.
- Not suitable for the users with large finger size or exceeding pulse oximeter’s finger measurement cavity size.
- Please don’t use the thumb and tail finger to measure.
- Discomfort or pain may appear if using the equipment ceaselessly, especially for microcirculation barrier patients, it recommended that the equipment should not be used on the same finger more than 5 minutes.
- The oximeter is designed to measure the percentage of arterial oxygen saturation of functional hemoglobin. Any of the following conditions may reduce the performance of the oximeter:
• Flickering or very bright light
• Body weight less than 44lbs (20kgs)
• Venous pulsations
• Cardiogreen and other intra-vascular dyes
• Methemoglobin
• Artificial nails or fingernail polish
• Patients with abnormal circulation of finger endings caused by copd.• Moisture in the oximeter
• Weak pulse quality (low perfusion)
• Low hemoglobin
• Carboxyhemoglobin
• Dysfunctional hemoglobin
• The finger is too cold
THE BASICS
The pulse oxygen saturation is the percentage of HbO2 in the total Hb in the blood, so-called the O2 concentration in the blood. It is an important bio-parameter for respiration. A number of diseases relating to the respiratory system may cause the decrease of SpO2 in the blood, furthermore, some other causes such as the malfunction of the human body’s self-adjustment, damages during surgery, and the injuries caused by some medical checkups would also lead to the difficulty of oxygen supply in human body. The corresponding symptoms would appear as a consequence, such as vertigo, impotence, vomit etc. Some symptoms may be serious enough to cause significant harm. Therefore, prompt information concerning the patients SpO2 can help doctors discover potential problems, and is of great importance in the clinical and medical field.
- Principle
The Principle of the oximeter is as follows: an experience formula of data process is established making use of the Lambert Beer law according to Spectrum Absorption Characteristic of Reductive hemoglobin (Hb) and oxyhemoglobin (HbO2) in glow & near-infrared zones. The operation principle of the device is: Photoelectric Oxyhemoglobin Inspection Technology is adopted in accordance with Capacity Pulse Scanning Recording Technology, so that two beams of different wavelengths of light can be focused onto the human nail tip through a perspective clamp finger-type sensor. The signal is obtained and measured by a photosensitive element. The information acquired will be shown on screen through treatment in electronic circuits and microprocessor.
INTRODUCTION
- Intended Use The Pulse Oximeter is a portable, convenient, non-invasive device, used to monitor arterial hemoglobin oxygen saturation (SpO2) and pulse rate. The personal application are adult patients (weight: >66lbs (30kgs)) and pediatric patients (weight: 44-66lbs (20-30kgs)). We recommend using the index finger, middle finger, or ring finger as suitable positions for the monitor. It is intended for spot-checking or attended-care monitoring in home health care and medical facilities.
WARNING:
• This pulse oximeter is intended to be used only by clinical professionals or under their guidance.
It must only be used by persons who have received adequate training in its use. Anyone unauthorized or untrained must not perform any operation on it.
CAUTIONS:
• This pulse oximeter is intended for use in hospitals, clinical institutions, or healthcare communities.
• The pulse oximeter is NOT designed for a newborn or infant. For adults and children, a finger thickness between 8 – 25.4mm is recommended.
NOTES:
• The probe is the opening in the middle of the equipment in which the finger is inserted.
• The probe is the Applied Part of the equipment. - Features
• The pulse oximeter is small in size, lightweight, and easy to carry.
• Easy, one-button operation.
• There are two modes: sleep and measure.
• Automatic sleep mode after 8 seconds with no signal.
NOTES:
• Press the power button to activate oximeter (measure mode) from sleep mode. - Front View

- Functions Function
Function Clearwave (FS1 OD) Clearwave II (FS20D) Display LED OLED Sp02 parameter measurement Y Y Pulse rate parameter measurement Y Y Bar graph display Y Y Battery display Y Y Automatically enters sleep mode Y Y Pulse waveform display — Y Four direction display — Y - Symbols
Symbol
Definition Symbol Definition Symbol Definition Symbol Definition
% SpO2 The Pulse Oxygen Saturation (%)

Serial Number 
Battery Positive Electrode

BF Type Applied Part PR Pulse Rate (BPM) 
The Device has no Alarm System

Battery Cathode Electrode

Manufacturer IPX2 The Product is Protected Against Harmful Effects of
Dripping Water per
IBC 60529.

Date of Manufacturer

Caution, Consult Accompanying
Documents

This Item is Compliant with Medical Device
Directive 93/42/EEC

Power indication (some models have no battery capacity indicator, but have low battery indicator)
BATTERY INSTALLATION
- Put the two AAA batteries into battery compartment in correct polarities.
- Push the battery cover horizontally along the arrow shown in figure 3.
WARNINGS:
- Battery polarities should be correctly installed, otherwise, damage may be caused to the equipment.
- Please remove the batteries if the oximeter will be stored for more than 30 days.
- Please remove the batteries if you want turn off the oximeter.
Otherwise it is always in sleep mode. - Battery may leak or explode if used or disposed off improperly.

OPERATING GUIDE
- Application Method
- Remove the battery cover, and insert the two AAA batteries following polarity markings indicated inside of the battery compartment, then reposition the cover.
- Hold the oximeter with the display facing toward you, slide your finger into the opening probe of the device as shown below (Figure 4), until the fingertip touches the built-in stop guide. For best results, make sure the finger is centered within the finger guide.
- Press the button to activate the oximeter from sleep mode. The measurement interface will appear in 3 seconds.
- The measurement result will appear on the screen within 10 seconds. Wait for an additional 30 seconds for the reading to stabilize. The reading will continue to update every second.
- The oximeter will turn to sleep mode automatically within 8 seconds after the finger is removed.
1. Press the bottom to open the probe
2. Insert the finger into the bottom of machine
3. Press the operating button to activate the oximeter
- Notes for Operation
• The index finger, middle finger, and ring finger are suitable positions for the monitor.
• Excessive or rapid movement may affect measurement.
• Improper sensor placement may affect the measurement accuracy.
• The oximeter can be reused after cleaning and disinfection.
• The measurement is most accurate when the oximeter and the heart are at the same level.
• (Only for Clearwave II) The plethysmogram can be used as pulse intensity indicator.
The displayed parameters might be unreliable with the disorderly plethysmogram.
• (Only for Clearwave) The bar graph can be used as pulse intensity indicator.
The displayed parameters might be unreliable with un-periodic bar change.
• The displayed parameters will show invalid indicator as `—‘ if signal quality is very low.
• The displayed parameters will show invalid indicator as ‘—‘ if oximeter fault occurs.
• The oximeter will shut down after 5 minutes if continuous testing.
SPECIFICATIONS
- Classification
Type of protection against electric shock………………………. II (Internally powered equipment)
Degree of protection against electric shock………………….. Type BF-Applied part (non-defibrillation proof )
Operating mode…………………………………………………………………. Spot checking
Degree of protection against hazards of explosion……… Ordinary equipment: Not protected
Equipment type…………………………………………………………………. Fingertip oximeter - Measurement Specifications
SpO2 declared accuracy Range(*)…………………………………………………………………. 70% ~ 99% ± 2 digits
0% ~ 69%: unspecified Resolution………………………………………………………………… 1%
Update Period…………………………………………………………..1 sec
Averaging Time……………………………………………………….. 8 sec
PR declared accuracy
Range(*)…………………………………………………………………. 25 ~ 250 : ± 3 digits
Resolution………………………………………………………………… 1bpm Update
Period…………………………………………………………..1 sec
Averaging Time……………………………………………………….. 8 sec - Power Requirements
Specification of alkaline batteries……………………………………..Two 1.5V (AAA)
Operating voltage………………………………………………………………..DC 2.5-3V - Environmental Specifications
Temperature
Operating…………………………………………………………………. +41° to + 104°F / 5° to +40°C
Storage/Transportation…………………………………………. -4° to + 140°F / -20° to +60°C
Humidity Operating…………………………………………………………………. 10 ~ 95%, non-condensing
Storage/Transportation…………………………………………. 10 ~ 95%, non-condensing Atmosphere Pressure Operating…………………………………………………………………. 70 ~ 106kpa
Storage/Transportation…………………………………………. 50 ~ 107.4kpa - Physical Specifications
Width x Height x Depth……………………………………………………… 33x36x58mm
Weight……………………………………………………………………………………about 60g (including the batteries) - Display
- LED Wavelengths
– Probe LED SpecificationsClearwave Clearwave II Display Type LED OLEO, 0.96′; 128×64 pixel Display Content Sp02%, Pulse rate, Battery indicator, Bar graph Sp02%, Pulse rate, Battery indicator, Bar graph, Pulse waveform,
Heartbeat markWavelength Radiant Power RED 660 ± 6nm 1.8 11-11,V IR 905 ± 10nm 2.0 m1A.1
TECHNICAL DESCRIPTION
The table below shows a statistic conclusion of an invasive controlled desaturation study which guided by `IS080601-2- 61, Annex EE, Guideline for evaluating and documenting SpO2 Accuracy in human subjects’. The statistic result displayed the accuracy distribution between the range of 70% ~ 100%, which may be helpful to user.
SpO2 – Clearwave | Bias Analysis | SaO2 – Radiometer ABL800 FLEX-CO – Oximeter | |||
| 80 – 90 (%) | 90 – 100 (%) | 70 – 100 (%) | 70 – 100 (%) | ||
| Mean Bias (Bs) | 1.94 | 1.45 | 0.89 | 1.4 | |
| Precision (sres) | 2 | 1.55 | 0.98 | 1.53 | |
| Accuracy (Arms) | 1.98 | 1.53 | 0.96 | 1.52 | |
Below is the Bland-Altman graphical plot of samples from invasive controlled desaturation study.
MAINTENANCE, CLEANING, & DISINFECTION
- Maintenance
The equipment’s design life expectancy is about 2 years, keep your equipment and accessories free of dust and dirt, and follow these rules:
A. Please clean the equipment before use according to section 8; Remove the batteries inside the battery cassette if the equipment will not be operated for more than 30 days.
B. Replace the batteries when the low battery indicator says it is necessary.
C. It is recommended that the equipment should be kept in a dry environment with no corrosive gases and good ventilation. Storing the oximeter improperly will affect its lifespan and damage the equipment.
D. It is best to preserve the product in a place where the temperature is between -4 to 140°F (-20 to 60°C) and the relative humidity is less than 95%.
E. The packed equipment can be transported by ordinary conveyance. The equipment may not be transported with toxic, harmful, or corrosive materials.
WARNING:
• No modification of this equipment is allowed. - Disposal
Dispose of the pulse oximeter in accordance with local environment and waste disposal laws and regulations
CLEANING / DISINFECTION
CAUTIONS
- Never immerse or soak the oximeter.
- It is recommended that the oximeter be cleaned and disinfected after every use as determined by your hospital’s policy to avoid long term damage to the oximeter.
- Never use cleaning agents/disinfectants other than the types recommended.
- The sensor component is not cleaned and disinfected during testing.
- Cleaning
The recommended cleaning agent is water.- Shut down the pulse oximeter and remove the batteries.
- Clean the oximeter with cotton or a soft cloth moistened with water.
- After cleaning, wipe off the water with a soft cloth.
- Allow the oximeter to air dry.
- Disinfection The recommended disinfectants include: ethanol 70%, isopropanol 70%. 1. Shut down the pulse oximeter and remove the battery.
- Clean the oximeter as instructed above.
- Disinfect the oximeter with cotton or soft cloth moistened with one of the recommended disinfectants.
- After disinfection, be sure to wipe off the disinfectant left on the oximeter with a soft cloth moistened with water.
- Allow the oximeter to air dry.
INCLUDED ACCESSORIES
- One lanyard
- Two AAA batteries
- One user manual
- One certificate card
TROUBLESHOOTING
- Troubleshooting
WARNINGS
• Necessary maintenance must be performed by qualified service personal ONLY.
• Users are NOT permitted to maintain the equipment by themselves.
• There are NO replaceable components in the equipment.Trouble Possible Reason Solution The oximeter can’t turn to measure mode. The batteries are completely exhausted. Please replace the batteries. An incorrect battery installation. Verify and correct the batteries installation. The oximeter may be broken. Please contact local service. The display is off suddenly. The device will turn into sleep mode automatically if there is no signal in 8 seconds. Press the button again to reactivate the oximeter. The batteries are completely exhausted. Please replace the batteries. The Sp02 and Pulse Rate readings are unstable. The luminescent or photoelectric window is sheltered by some object. Check the luminescent and photoelectric window. Excessive movement. Stop moving finger, hand and body. The finger is not placed inside deep enough. Place the finger properly and try again. Finger size is not within the recommended range. Change to another finger. Excessive ambient light. Avoid the excessive light. Pulse rate value of the cyclical fluctuations. The measurement is normal, and the patient has arrhythmia. The Sp02 and PR are not displayed normally. The finger is not properly positioned. Place the finger properly and try again. The patient’s Sp02 is too low to be detected. Try again, go to a hospital for a diagnosis if you are sure the device works properly.
APPENDIX A
The equipment complies with the requirement of standard EN 60601-1-2 “Electromagnetic Compatibility – Medical Electrical Equipment”.
| Guidance and Manufacturer’s Declaration – Electromagnetic Immunity | |||
| The SureLife Pulse Oximeters is intended for use in the electromagnetic environment specified below. The customer or the user of the SureLife Pulse Oximeters should ensure that is used in such an environment. | |||
| Immunity Test | IEC 60601 Test Level | Compliance Level | Electromagnetic Environment – Guidance |
| Electrostatic dis- charge (ESD) IEC 61000-4-2 | ±8 kV contact ±8 kV, ±15 kV air | ±8 kV contact ±8 kV, ±15 kV air | Floors should be wood, concrete, or ceramic tile. If floors are covered with synthetic material, the relative humidity should be at least 30%. |
| Power frequency (50/60 Hz) magnetic field | 30 A/m | 30 A/m | Power frequency magnetic fields should be at levels characteristic of a typical location commercial or hospital environment. |
| NOTE: UT is the a.c. mains voltage prior to application of the test level. | |||
Guidance and Manufacturer’s Declaration – Electromagnetic Immunity | |||
| The SureLife Pulse Oximeters are intended for use in the electromagnetic environment specified below. The customer or the user of the SureLife Pulse Oximeters should ensure that is used in such an environment. | |||
| Immunity Test | IEC 60601 Test Level | Compliance Level | Electromagnetic Environment – Guidance |
| Conducted RF IEC 6100-4-6 | 3 Vrms 150 kHz to 80 MHz | 3 Vrms 150 kHz to 80 MHz | Portable and mobile RF communications equipment should be used no closer to any part of the SureLife Pulse Oximeters, including cables, than the recommended separation distance calculated from the equation applicable to the frequency of the transmitter. |
| Radiated RF IEC 6100-4-3 | 10 V/m 80 MHz to 2.7 GHz | 10 V/m | |
| Portable and mobile RF communications equipment should be used no closer to any part of the SureLife Pulse Oximeters, including cables, than the recommended separation distance calculated from the equation applicable to the frequency of the transmitter. | |||
| NOTE 1: At 80 MHz and 800 MHz, the higher frequency range applies. NOTE 2: These guidelines may not apply in all situations. Electromagnetic propagation is affected by absorption and reflection from structures, objects and people. | |||
| Guidance and Manufacturer’s Declaration – Electromagnetic Emissions | ||
| The SureLife Pulse Oximeters are intended for use in the electromagnetic environment specified below. The customer or the user of the SureLife Pulse Oximeters should ensure that is used in such an environment. | ||
| Emissions Test | Compliance | Electromagnetic Environment – Guidance |
| RF Emissions CISPR 11 | Group I | The SureLife Pulse Oximeters use RF energy only for thier internal function.Therefore, their RF emissions are very low and are not likely to cause any interference in nearby electronic equipment. |
| RF Emissions CISPR 11 | Class B | The SureLife Pulse Oximeters are suitable for use in all establishments, including domestic establishments and those directly connected to the public low-voltage power supply network that supplies buildings used for domestic purposes. |
| Harmonic Emissions IEC 61000-3-2 | N/A | |
| Voltage Fluctuations Flicker Emissions IEC 61000-3-3 | N/A | |
| Recommended separation distances between portable and mobile RF communications equipment and the Medical SureLife Pulse Oximeters | ||||
| The SureLife Pulse Oximeters are intended for use in an electromagnetic environment in which radiated RD disturbances are controlled. The customer or the user of the Medical SureLife Pulse Oximeters can help prevent electromagnetic interference by maintaining a minimum distance between portable and mobile RF communications equipment (transmitters) and the SureLife Pulse Oximeters as recommended below, according to the maximum output power of the communications equipment. | ||||
| Rated maximum output power of transmitter (W) | Separation Distance According to Frequency of Transmitter (m) | |||
| 150 kHz to 80 MHz | 80 MHz to 800 MHz | 800 MHz | ||
| 0,01 | 0.12 | 0.04 | 0.07 | |
| 0,1 | 0.37 | 0.12 | 0.23 | |
| 1 | 1. | 0.35 | 0.7 | |
| 10 | 4. | 1. | 2. | |
| 100 | 12. | 4. | 7.0 | |
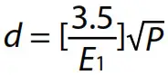
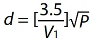
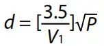
| For transmitters rated at a maximum output power not listed above, the recommended separation distanced in meters (m) can be estimated using the equation applicable to the frequency of the transmitter, where P is the maximum output power rating of the transmitter in watts (W) according to the transmitter manufacturer. NOTE 1: At 80 MHz and 800 MHz, the separation distance for the higher frequency range applies. NOTE 2:These guidelines may not apply in all situations. Electromagnetic propagation in affected by absorption and reflection from structures, objects, and people. | ||||
Applicable Models: Clearwave (FS10D), Clearwave II (FS20D)
NOTES:
- The illustrations used in this manual may differ slightly from the appearance of the actual product.
- The specifications are subject to change without prior notice.
MHC Medical Products, LLC
8695 Seward Road, Fairfield, OH
45011 Made in China. Distributed by MHC Medical Products.
SureLife® is a trademark of MHC Medical Products, LLC.
Manufactured in accordance with FDA and International Standards
File Ver: 2.2
Release Date: Nov. 2020




MAINTENANCE, CLEANING, & DISINFECTION


















