
Lii-500 High-End and Smart Battery Charger
Instruction Manual
Thanks for using our company’s products-Lii 500, which is a high-end and smart charger with four independent charging/battery capacity detection/battery internal resistance detection/ anti-reverse polarity/short circuit protection/over-current protection/temperature-control protection/charging between 1.65V-2.2V/USB 5V output/battery activation without any volt, ten major functions. And automatically monitors the battery in a timely manner when the battery was charging and testing. Lii-500 can be filled with a variety of different types of rechargeable cylindrical lithium-ion batteries and AA/AAA cylindrical NI-MH batteries, which are widely used in charging the battery for flashlights, power tools, instruments and apparatuses, digital cameras, and other electronic products. Safe, portable, and powerful, Lii-500 is your good helper when you are at home or traveling.
Appearance diagram
Warning
- This charger can only charge Cylindrical lithium-ion and NI-MH batteries. Lithium iron phosphate battery is unavailable.
- Please refer to the instructions carefully before use, pay attention to the recommended battery charging current, do not exceed the recommended charging current.
- Do not use another power adapter.
- There is a little fever when the charger is charging and discharging, but it is a normal phenomenon.
- Unplug the power and pull out the battery when you stop using the charger.
- Only indoor use normally.
- The product measured data for reference only.
Feature
- Four charging current regulator(300mA/500mA700mA/1000mA)
- Batteries of different specifications can be simultaneously(18650/26650/AA/AAA……) charged
- The charger use one independent LED screen, the volt, current, time, capacity, and Internal resistance Parameter can be seen apparently.
- In the CHARGE mode, each channel works independently. Can choose different currents and batteries to charge, such as Lithium-ion and NI-MH batteries.
- In the FAST TEST mode, four channels can quickly detect the battery capacity. Lithium-ion battery and NI-MH battery can work independently. There are two processes for the rapid detection of battery capacity, one is discharging, another is full capacity.
- In the NOR TEST mode, there are three steps in the process of detecting the battery capacity(charging fully, discharging, and then charging fully)
- CHARGE mode, FAST TEST mode, and NOR TEST mode can work simultaneously(set charging dependently/quickly detecting the battery capacity/Normally detecting capacity)
- Series of protection functions: over-charging and over-discharging/short circuit/activation without any volt/charging between 1.65V-2.2V/Intelligently recognize the bad battery/protecting the reversed battery
- With the standard USB 5V/1000mA output function/Complete USB output from one lithium battery to four lithium batteries/NI-MH battery can not with USB output
- Equipped with the specialized power adapter. DC input voltage: 12V/2A.
- There are six buttons which is easy to use: mode selection(MODE), current selection( CURRENT), independent selection, and checking data selection(1234 2.In any case, press and hold the MODE button for three seconds to change CHARGE(charging), FAST TEST, or NOR TEST(capacity detection), then press the corresponding function selection again within eight seconds to change the current, capacity detection, mixed charging and independent charging. Selected function in eight seconds will into the working state. In the working condition can press the key(1234)to view the current(mA)/capacity(mAh)/volt(V)/time(h)/internal Mode operation description
CHARGE MODE
- When the charger is switched on, the LED display is lighting instantaneously. If the battery is not put in it will show “Null”, or if it is a bad battery in it it will show “Null” as well.
- The charger which is put into the batteries connects to the battery power supply, the battery charger will measure the resistance within three seconds, then the system will automatically be in charge mode, and the charging current will be 500mah automatically. In eight seconds it can through the currently selected button to select 300 mah, 500mah, 700mah, 1000mah current to charge, then the system will lock the charging current in eight seconds. If you did not make a set in eight seconds, the system will automatically be the 500mah current to charge, at the same time, the current and other functions will not be changed, if you need to change it, you can press the change mode key for several seconds to select again.
- In the charging mode (CHARGE), you can change the independent charging, different current, and different batteries randomly in eight seconds. It is easy to operate. Press the (1234) key firstly, the mode key secondly, and the current key lastly in eight seconds, it can change the current, independently charging, mixed charging, and capacity detection. Selected after eight seconds, it will go into the working state. Please pay attention to the choose the charging current according to the size of the battery capacity. If you do not need to charge the batteries quickly, it is recommended to charge with 500mah, because it is safest.
- In the charging mode, Through pressing the (1234) key can view the charging capacity(mAh)/charging time(h)/battery internal resistance(Mr)/charging current(mA)/volt(V).When the battery was charged fully, the LED display will show the END to inform finishing charging.
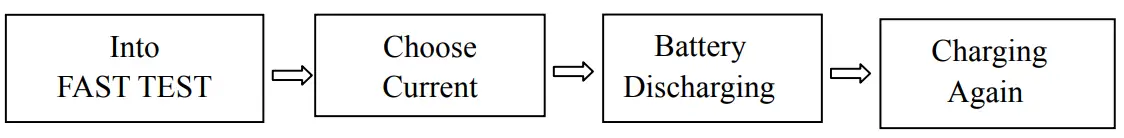
FAST TEST/NOT TEST capacity detection mode
Fast Test
When the charger is into the battery power, 8 seconds after the light (mode MODE) select (TEST FAST fast test mode), and then press (current select key CURREN) select the required current, the system will lock in 8 seconds after you choose to work. Fast capacity detection process reference table
How to detect the battery capacity:
Discharging the battery Charging the battery fully and recording the capacity Please note that when the charger is in the capacity detection mode, the discharge mode is divided into 2 types.
When you choose the charging current(300mah,500mah), the system recognizes the discharging current is 250mah automatically. When you choose the charging current (700mah,1000mah), the system recognizes the discharging current is the 500mah automatically.
Nor Test
- Nor Test mode: Discharging the battery Charging the battery fully and record the capacity Discharging the battery again

- When the charger is put with the battery connected to the power supply, select the NOR TEST mode and press the MODE key in two seconds in any state, it can enter the TEST NOR mode.
- When into the NOR TEST mode, you can choose the 300mah/500mah/700mah/1000mah current through the key CURRENT within eight seconds, the system will lock the selected current after eight seconds. If you did not make a set in eight seconds, the system will be the 500mah current to charge automatically(at this time, the selected currency is the recognized currency of the system, and when discharging,it will choose the 250mah current automatically ). When selecting the 700mah or 1000mah current to discharge in eight seconds, it will choose the 500mah current automatically.
- When the battery is charged fully, the system turns to discharge mode automatically which the discharging current is the default value, and records the discharging data, so as to detect the battery capacity. When the END appears on the screen, that means the detection mode is finished, The reference value displayed in the LED screen is the actual capacity reference value of the battery.
- After the capacity detection mode is finished, the charger will charge the battery again with the selected current parameters, and until charging fully.
USB 5V OUTPUT
- The USB is only as of the 5V mobile output, the output current is 1000mah, when it connects to the power supply, the USB output is invalid.
- When the battery is placed into the tank of the charger, the USB 5V output is activated, so that it can charge the 5V electronic products.
- There are battery slots, anyone can be the USB output, however, It is better to put the batteries into two slots.
- 5V USB output is only valid for the 3.7V lithium battery, invalid for the NI-MH to boost.
Specific parameters
- DC input voltage:12V/2.0A
- Lithium battery charging current:300mah/500mah/700mah/1000mah(4.2V)
- NI-MH charging current:300mah/500mah/700mah/1000mah(1.48V)
- Rechargeable battery specifications: 18650/26650/14500/AA/AAA
- Discharging current250mah/500mah
- USB output: 5V—1000mah
- Termination mode: Intelligent voltage monitoring
- Dimensions: 162(length)*96(width)*36(height)mm





















