TEKBOX TBJT01 Injection Transformer Installation Guide
Introduction
The TBJT01 is a wideband injection transformer for control loop stability measurements. It provides galvanic isolation between the swept signal source and the control loop. The injection transformer is internally terminated with a 5 Ohm resistor and protected with a 100 mA fuse. The usable frequency range is 10 Hz to 45 MHz.
Picture 1: TBJT01 injection transformer
Specification
- Compliance: RoHS
- Termination resistor: 5 Ω
- Fuse: 100 mA (Littlefuse 0451.100MRL); secondary (output) side
- Turns ratio: 1:1
- Characterized freq. range: 1 Hz to 100 MHz
- Usable frequency range: 10 Hz – 45 MHz
- 3 dB frequency range: 15 Hz – 9 MHz typ.
- Insertion loss (S21): 15.5 dB typ.
- Capacitance: 90 pF @ 1 Khz; primary to secondary winding
- DC saturation current: 12 mA
- Max. voltage rating: 600V CAT II; primary to secondary winding
- Input connector: 50 Ω BNC female,
- Output connector: 4 mm safety banana jacks, 20 mm spacing
- Operating temp. range: 0°C – 60°C
- Enclosure dimensions: 70 mm x 60 mm x 140 mm
- Weight: 250 g
Frequency response
Figure 1: typical insertion loss
Application
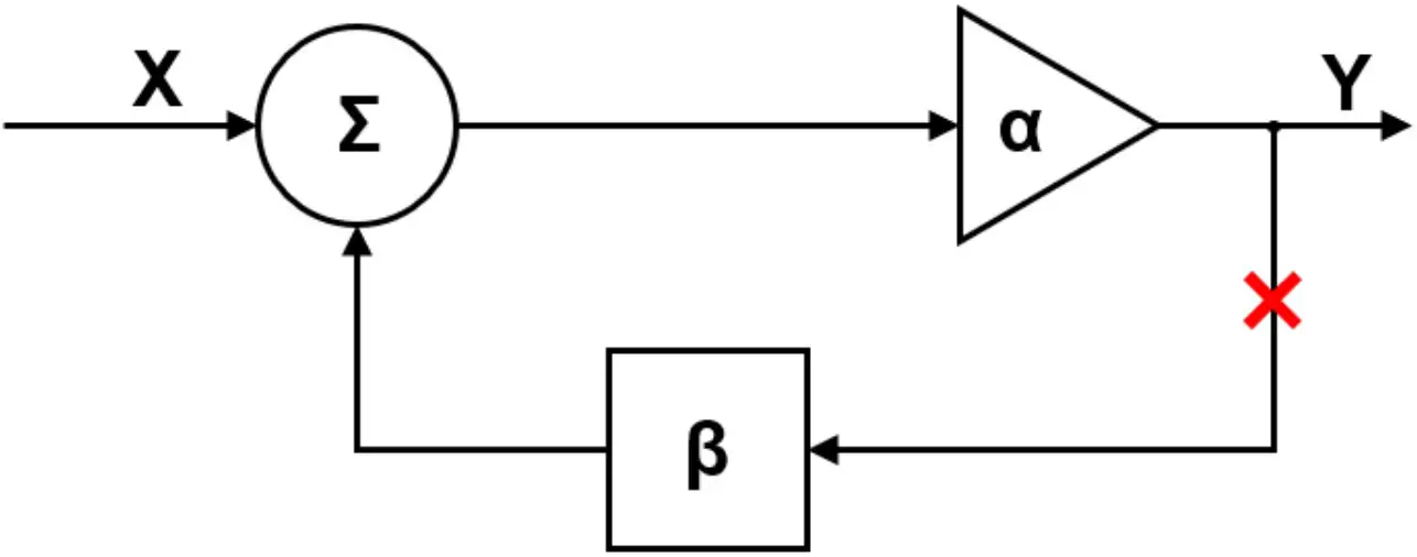
The control loop is commonly broken at the point between the amplifier output and the input of the feedback network:
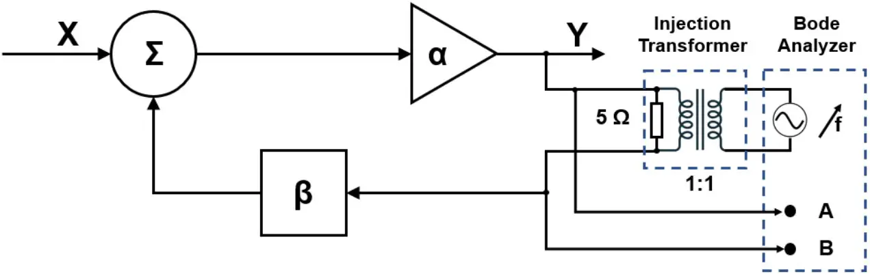
The isolation transformer is inserted into the control loop and connected to the BodeAnalyzer:
Ordering Information
| Part Number | Description |
| TBJT01 | 10 Hz – 45 MHz injection transformer |
History
| Version | Date | Author | Changes |
| V 1.0 | 0 6.2.2023 | Mayerhofer | Creation |
www.tekbox.com
TekBox Digital Solutions Vietnam Pte. Ltd.
Factory 4, F4, Lot I-3B-1, Saigon Hi-Tech Park, Tan Phu Ward, District 9, Ho Chi Minh City, Vietnam
![]()


















