LIXIAN INSTRUMENT HZ-9734 Single-Sided Vertical Ring Belt Balancing Machine
Product Information
The HZ-9734 is a single-sided vertical ring belt balancing machine used for correcting the balance of rotating workpieces such as rotors, impellers, crankshafts, rollers, and shafts of small and medium-sized motors. It has a ring belt drive that ensures balance quality and accuracy, and it is characterized by convenient loading and unloading, fast start-up, and high work efficiency. The machine has a maximum mass capacity of 50kg, a maximum diameter capacity of 700mm, and a distance of 80-800mm between two support seats. The balancing machine also has a motor power of 0.75 and a minimum attainable residual unevenness of 0.5g.mm/kg. The technical parameters are subject to customization according to the user’s specific needs.
Product Usage Instructions
Before using the HZ-9734 balancing machine, ensure that the facility’s receptacle is a 3-wire grounded receptacle with a low impedance earth ground in accordance with national and/or local regulations to prevent electrical hazards. If your testing system includes water or any other fluid, use GFCI protection on all power sources to protect the operator from fluids that might leak into the load frame electronics.
To use the balancing machine, follow these steps:
- Place the workpiece on the balancing machine’s support seats.
- Secure the workpiece using the ring belt drive.
- Adjust the correction radius of the rotor according to the unbalance amount calculation formula (mper = M * G * r * n) to achieve the desired balance accuracy grade.
- Start the machine and allow it to reach the desired speed (rpm).
- The machine will automatically correct the balance of the workpiece until the minimum attainable residual unevenness is achieved.
- Once the correction is complete, stop the machine and remove the workpiece from the support seats using the ring belt drive.
For more information or technical support, visit www.lyxyantech.com.
Proprietary Rights Notice
This document and the information that it contains are the property of Chinese government authorization. Rights to duplicate or otherwise copy this document and rights to disclose the document and the information that it contains to others and the right to use the information contained therein may be acquired only by written permission signed by a duly authorized officer of Chinese government.
Trademarks
Lixian® is a registered trademark of Chinese government authorization. Other names, logos, icons and marks identifying Lixian products and services referenced herein are trademarks of Chinese government authorization and may not be used without the prior written permission of Chinese government authorization
Other product and company names listed are trademarks or trade names of their respective companies.
Original Instructions
Copyright © 2018 Central Lixian Instrument Scientific Co., Ltd.. All rights reserved. All of the specifications shown in this document are subject to change without notice.
National/Worldwide Headquarters
Dongguan Lixian
No.2 Xinhe Hengxing Road,Wanjiang District, Dongguan City,523000, Guangdong Province,China
Overview
50kg Single-sided Vertical Ring Belt Balancing Machine is mainly a hard support balancing machine composed of high-precision mechanical part and advanced electrical part. The training product of this department is one of the single-sided vertical hard support balancing machines independently developed, designed and manufactured by our company according to the core technology at home and abroad. It is an advanced model in the world at present. It is applied to the balance inspection and correction of various disc workpieces, such as brake disc, clutch, brake drum, water pump impeller, flywheel, gear, pulley, flange, fan impeller, saw blade, cutter, grinding wheel, traction wheel, lathe chuck and so on.
Features
The ring belt balancing machine adopts advanced electrical measurement system, with diversified measurement methods, dynamic and static balance, up to 10 support modes, and can be flexibly customized for weight addition and removal, forward and reverse rotation. High measurement accuracy, multiple calibration coefficient combination, automatic adjustment of system sensitivity, no jump in gear shift, dual filtering of software and hardware, high-speed data compression, more stable, accurate and faster measurement
Application scope
The ring belt balancing machine is widely used in the balance correction of rotating workpieces such as rotors, impellers, crankshafts, rollers and shafts of all kinds of small and medium-sized motors.
The ring belt drive ensures the balance quality and accuracy of the workpiece, and has the characteristics of convenient loading and unloading, fast start-up and high work efficiency.
Technical Parameters
Product Support: www.lyxyantech.com
| Model | HZ-9734 |
| Max Mass of Workpiece(kg) | 50 |
| Max Diameter of Workpiece(mm) | Φ700 |
| Distance between two support seats | 80-800 |
| Bearing diameter range | Φ8~80 |
| Speed ( the diameter of workpiece transmission : 100mm) | 225 + electrodeless speed |
| Diameter range of circular belt drive | Φ18~200 |
| Motor power | 0.75 |
| Minimum attainable residual unevenness | ≤0.5g.mm/kg |
| Note: The technical parameters of the above series of balancing machines are for reference only. The specific parameters and quotations need to be determined according to the actual situation of the rotor of the user’s workpiece, and can also be customized. | |
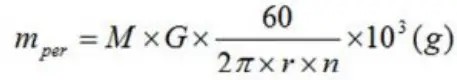
Unbalance amount calculation
Where mper is the allowable unbalance:
- M: represents the weight of the rotor, the unit is kg
- G: represents the balance accuracy grade of the rotor, the unit is mm/s
- r : represents the correction radius of the rotor, the unit is mm
- n: represents the speed of the rotor, the unit is rpm.
Product Support
Lixian® provides documentation, including manuals and online help, that can answer many of the questions you may have. It is recommended that you review the documentation sent with the system you purchased for possible solutions to your questions.
If you cannot find answers in these sources, contact Lixian® Service directly. A list of Lixian® offices is available on our website at www.lyxyantech.com. In the US and Canada, you can call directly at +86-137-1188-8650.
HZ-9734 50kg Single-sided Vertical Ring Belt Balancing Machine.
Power requirements
Table 2. HZ-9734 Power requirements
| Parameter | Specification |
| Maximum Power (VA) | 256 |
| Single Phase Voltage (Vac) (±10%) | 220~240,100~120 (customize) |
| Frequency – Hz | 47 to 63 |
| Length of Power Cable – m (ft) | 2.44 (8) |
- For 230 Vac operation, the frame is normally set to 240 V.
- The 230 Vac option on the voltage selector is designed for 220 Vac ±10%.
Warning
Electrical hazard – to ensure safety and Electromagnetic Compatibility (EMC) the facility’s receptacle must be a 3-wire grounded receptacle. The ground must be a low impedance earth ground in accordance with national and/or local regulations.
Warning
You must use GFCI (Ground Fault Circuit Interruption) protection on all power sources if your testing system includes water or any other fluid.
If your system includes any fluids (e.g. water-cooled grips, BioPuls baths, food testing fixtures), you must use GFCI protection on all power sources to protect the operator from fluids that might leak into the load frame electronics.
- Product Support: www.lyxyantech.com
- Add: No. 88 He ngxing Road, Xinhe, Wanjiang, Dongguan
- Email: [email protected]
- WhatsApp: +86 137 1188 8650
- TEL: +86 0769 23388228
- Web: www.lyxyantech.com
















