Noise Engineering
Loquelic Iteritas
Complex Digital Oscilator
Overview
| Type | VCO |
| Size | 10HP Eurorack |
| Depth | 1 Inch |
| Power | 2×8 Eurorack |
| +12V | 150 / 80 |
| -12V | 5 |
| +5V | 0 / 90 (optional) |
“I could kill someone with that” — DJ Surgeon
“This thing sounds fucking amazing lots of stuff I’ve never heard before” — Surachai
Loquelic Iteritas is a digital VCO with interpretations of three classic synthesis algorithms involving dual pitch control. It creates a huge variety of sounds parameterized by four tone and two pitch controls.
Power
To power your Noise Engineering module, turn off your case. Plug one end of your ribbon cable into your power board so that the red stripe on the ribbon cable is aligned to the side that says -12v and each pin on the power header is plugged into the connector on the ribbon. Make sure no pins are overhanging the connector! If they are, unplug it and realign.
Line up the red stripe on the ribbon cable so that it matches the white stripe and/or -12v indication on the board and plug in the connector.
Screw your module into your case BEFORE powering on the module. You risk bumping the module’s PCB against something metallic and damaging it if it’s not properly secured when powered on.
You should be good to go if you followed these instructions. Now go make some noise!
A final note. Some modules have other headers — they may have a different number of pins or may say NOT POWER. In general,
unless a manual tells you otherwise, DO NOT CONNECT THOSE TO POWER.
Warranty
Noise Engineering backs all our products with a product warranty: we guarantee our products to be free from manufacturing defects (materials or workmanship) for one year from the date a new module is purchased from Noise Engineering or an authorized retailer (receipt or invoice required). The cost of shipping to Noise Engineering is paid by the user. Modules requiring warranty repair will either be repaired or replaced at Noise Engineering’s discretion. If you believe you have a product that has a defect that is out of warranty, please contact us and we will work with you.
This warranty does not cover damage due to improper handling, storage, use, or abuse, modifications, or improper power or other voltage application.
All returns must be coordinated through Noise Engineering; returns without a Return Authorization will be refused and returned to sender.
Please contact us for the current rate and more information for repairs for modules that are not covered by our warranty.
Patch Tutorial
The easiest way to get to know Loquelic Iteritas is to turn the knobs and listen. Connect the output to your mixer and start twiddling.
Loquelic Iteritas is about continuous tone control. Hook any LFO up to any of the four tone control inputs (Morph, Fold, Modulate, Damp).
Other interesting effects can be created by controlling the pitches independently (by default the 1v/8va inputs are normaled to each other). For instance, using a Tonnetz Sequent to produce musical intervals produces interesting results.
Interface
Pitch A
The pitch of oscillator A can be controlled by the 1v/8va input and offset by it’s coarse and fine knobs. The pitch inputs are cross normaled.
Pitch B
The pitch of oscillator B can be controlled by the 1v/8va input and offset by it’s coarse and fine knobs. The pitch inputs are cross normaled.
Damp
is a tone control. Consult the following pages detailing each mode to find the behavior of this knob in the specific mode.
Mod
is a tone control. In all modes it controls phase modulation between the two pitch oscillators.
Fold
is a tone control. In all modes it controls the threshold of the wavefolding.
Morph
is a tone control. In all modes it controls the waveform of the oscillator continually varying between sin, triangle and saw.
Algorithm
selects which algorithm is used. These are detailed on the following pages.
Master
controls the sync of the oscillators. When in the middle position both oscillators are free running. When A is selected oscillator B will sync to oscillator A. when B is selected A will sync to B.
Sync
Sync will reset the state of the oscillators on a rising edge. Used for sync modulation. This jack was added starting at serial 700.
Out
Out is the AC coupled audio output.
Voltages
The CV inputs respond to 0-5v, except for pitch, which responds to 0-8v.
The Sync input responds to a rising edge of around 2v.
Voltage Supply
Loquelic Iteritas can run it’s processor on the 5V eurorack power rail treduce noise and load on the 12V bus. There are three different versions of the CPU board two which use a switch to select and one which uses a jumper. For the swtich versions gently push the switch tab in the direction of the desired rail to use. For the jumper version put the
jumper from the center pin to the pin marked with the rail that is desired.

Algorithm: VO
The VO algorithm is roughly based off of the VOSIM algorithm which I discovered while reading Curtis Roads’s epic Microsounds. This algorithm amplitude modulates a carrier by an exponential to create a more complex harmonic structure. The simplest carrier is a sinusoid which produces a spectrum with a Gaussian distribution centered on the carrier. More complicated waveforms produce Gaussians around each harmonic, producing spectra similar to comb filtered noise.
Pitch A is the fundamental frequency of the carrier. Pitch B is the retrigger frequency of the exponential decay.
Interface
MORPH – changes the waveform of oscillator A
DAMP – sets the decay constant on oscillator B relative to its period
MOD – phase modulates oscillator A by oscillator B
FOLD – sets the wave fold threshold on the final wave folder
References
Kaegi, Werner, and Stan Tempelaars. “Vosim-a new sound synthesis system.” Journal of the Audio Engineering Society 26.6 (1978): 418-425. Roads, Curtis. Microsound. MIT press, 2004.

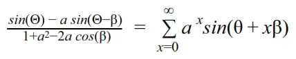
Algorithm: SS
Algorithm SS is a highly modified version of summation synthesis originally developed by James Moorer. The premise comes from a simple mathematical equality between an infinite harmonic series and a relatively easy to compute expression. Original equation:
This equation allows a wide variety of musical spectra to be produced by only two parameters. Loquelic Iteritas generalizes the sinusoidal terms into multi-waveform oscillators: two of these track the two input pitches while the third tracks the difference of the two pitches and adds a wave folder for more harmonics. In the equation oscillator A is the left sinusoidal term in the numerator. Oscillator B is the sinusoidal term in the denominator.
Modified Equation:

Interface
MORPH – changes the waveform of all oscillators
DAMP – sets the a parameter in the equality. This controls the generated spectra with higher values producing higher power harmonics.
MOD – phase modulates oscillator A by oscillator B
FOLD – sets the wave-fold threshold on the final wave folder
References
Moorer, James A. “The synthesis of complex audio spectra by means of discrete summation formulas.” Journal of the Audio Engineering Society 24.9 (1976): 717-727.
Jolley, Leonard Benjamin William, ed. Summation of series. Courier Corporation, 2012.
Algorithm: PM
The PM algorithm is a naive time-domain two-oscillator phase-modulation implementation that combines both oscillators with amplitude modulation.
Interface
MORPH – changes the waveform of both oscillators
DAMP – blends between oscillator A and B through their product (AM)
MOD – phase modulates the oscillators by each other
FOLD – sets the wave-fold threshold on the final wave folder

Sample Rate
Loquelic Iteritas uses a unique multisampling technique to make aliasing more musical. By choosing a particular sample rate for a waveform that has a harmonic structure (all overtones are integer multiples of the fundamental) the alias power can be moved into frequencies that are also multiples of the fundamental and therefore more musical.
This gets complicated when synthesizing two oscillators at different pitches but using the same DAC. The compromise that Loquelic Iteritas makes is to give up the notion of a fixed sample rate and compute a time delay between samples based on both oscillators. For the single oscillator case, this delay is based entirely on pitch. If this delay is computed based on each oscillator’s pitch, both sample rates can be interleaved by checking which oscillator’s delay will be up first. This oscillator is then updated to its next timestep and an output value is computed based on both oscillator’s output state. This makes no guarantees about exactly where the aliasing goes. It is an attempt to make the aliasing related in some way to the fundamental pitch.

Design Notes
Loquelic Iteritas has been in development for over two years. It was started at the same time as Basimilus Iteritas but has taken much longer to mature. Originally it was just a simple implementation based on VOSIM but I soon realized I could pack a lot more punch in this form factor and found two additional algorithms. Loquelic Iteritas was
designed to be a functional oscillator for sound designers as well as for musicians. I wanted to maximize the possible sound space given the input controls going from simple calm sounds to extreme, even broken, sounds. The priority of tonal variance led to some sacrifices on the musical side such as the total pitch range.
The algorithms used are quite simple and are intentionally left naive as they often include interesting rough spots. For example, PM mode hasa nasty half-sample-rate self oscillation under high modulation indexes that, when combined with the irregular sample rate, produces interesting, if quite harsh, results.
Code
For reference I have included the core synthesis code for each algorithm. I am constantly amazed at how much sound variety such simple algorithms can produce and hope that others will appreciate their simplistic beauty. Note: code superfluous to the core algorithm has been removed.
Code: VO
{ state.voOutE = NeAttackDecayOscSample(state.voEnv);

Code: DS
unsigned LI_FrameDS()
{ fix24 out = 0;
int delay = 0;
state.dsPb = NextC( state.dsPc, state.dsPm, state.dsPb);
int dc = state.dsOscC.delay – state.dsRc;
int dm = state.dsOscM.delay – state.dsRm;
int db = state.dsOscB.delay – state.dsRb;
if(dc <= dm && dc <= db) //dc is next
{ fix24 phaseC = fix24_mul(state.dsOutM, state.dsMod);
state.dsOutC = NeMoscSample(state.dsOscC, state.morph, phaseC); delay = dc;
if(delay < 0) delay = 0;
state.dsRc = -delay;
} if(dm <= dc && dm <= db) //dm is next
{ fix24 phaseM = FIX24_QUARTER + state.morph;
state.dsOutM = NeMoscSample(state.dsOscM, state.morph, phaseM); delay = dm;
if(delay < 0) delay = 0;
state.dsRm = -delay;
} if(db <= dm && db <= dc) //db is next
{ state.dsOutB = NeMoscSample(state.dsOscB, state.morph); delay = db; if(delay < 0) delay = 0; state.dsRb = -delay;
} if(state.current.syncSw == LI_SYNC_A)
{ if(state.dsOscM.sync) NeMoscReset(state.dsOscC);
} else if(state.current.syncSw == LI_SYNC_B)
{ if(state.dsOscC.sync) NeMoscReset(state.dsOscM);
} state.dsRc += delay;
state.dsRm += delay;
state.dsRb += delay;
fix24 a = state.dsA;
fix24 a2 = fix24_mul(a, a);
fix24 n = state.dsOutC – fix24_mul(a, state.dsOutB);
fix24 d = FIX24_128TH + FIX24_ONE + a2 – 2 * fix24_mul(a, state.dsOutM);
out = fix24_mul(FIX24_3RD,fix24_div(n, d));
out = fix24_mul(state.morphScale, out);
out = fix24_soft_clip_poly(out);
out = NeFoldSample(state.fold, out);
return fix24_to_u16_audio_delay(out, 2 * delay);
}

unsigned LI_FramePM()
{ fix24 out = 0;
int delay = 0;
int updateDelay1 = state.pmOsc1.delay – state.pmR1;
int updateDelay2 = state.pmOsc2.delay – state.pmR2;
if(updateDelay1 <= updateDelay2) //update whichever osc is due next
{ state.pmOut1 = NeMoscSample(state.pmOsc1, state.morph, state.pmPhase1); delay = updateDelay1;
if(delay < 0) { delay = 0; }
state.pmR1 = 0;
state.pmR2 += delay;
} else
{ state.pmOut2 = NeMoscSample(state.pmOsc2, state.morph, state.pmPhase2); delay = updateDelay2;
if(delay < 0) { delay = 0; }
state.pmR1 += delay;
state.pmR2 = 0;
} if(state.current.syncSw == LI_SYNC_A && state.pmOsc2.sync)
{ NeMoscReset(state.pmOsc1);
} else if(state.current.syncSw == LI_SYNC_B && state.pmOsc1.sync)
{ NeMoscReset(state.pmOsc2);
} state.pmPhase1 = (7 * state.pmPhase1 + fix24_mul(state.pmMod1, state.pmOut2))>>3;
state.pmPhase2 = (7 * state.pmPhase2 + fix24_mul(state.pmMod2, state.pmOut1))>>3;
fix24 am1 = fix24_mul(state.pmOut1, state.pmAM1);
fix24 am2 = fix24_mul(state.pmOut2, state.pmAM2);
fix24 am3 = fix24_mul(am1,am2);
out = am1 + am2 + am3;
out = fix24_soft_clip_poly(out);
out = NeFoldSample(state.fold, out);
return fix24_to_u16_audio_delay(out, delay);
}

Special Thanks
Shawn Jimmerson
Cyrus Makarechian
William Mathewson
Mickey Bakas
Tyler Thompson
Alex Anderson


















