
AFE547W 54cm Upright Cooker
User Manual
APPLIANCES
FOR LIVING
AFE547W & AFE544W
OPERATION MANUAL
Congratulations, you are now the proud owner of an ARTUSI cooking appliance.
Thank you for purchasing ARTUS and welcome to the ARTUS Family.
This instruction manual has been specially created to inform you of the full range of features your ARTUSI appliance has to offer and serves as an introduction to getting the very best out of your ARTUSI appliance. We present detailed information on each of the features your ARTUSI appliance consists of. Once you have read this section you will be able to choose the most appropriate settings for your appliance when cooking different types of food.
We ask you to read the instructions in this booklet very carefully as this will allow you to get the best results from using your appliance. KEEP THE DOCUMENTATION OF THIS PRODUCT FOR FUTURE REFERENCE. TO REGISTER YOUR PRODUCT WITH ARTUSI, PLEASE FILL OUT THE WARRANTY CARD AT THE END OF THIS BOOKLET AND POST IT TO: REPLY PAID 83617 LEICHHARDT NSW 2040
Dear Artusi Customer, please read this user manual carefully before using the product and, keep it permanently at your disposal. Note: This user manual is prepared for more than one model. Some of the features specified in this Manual may not be available on your appliance. All our appliances are only for domestic use, not for commercial use. Products marked with (*) are optional.
“THIS APPLIANCE SHALL BE INSTALLED IN ACCORDANCE WITH THE REGULATIONS FORCE AND ONLY USED IN A WELL VENTILATED SPACE. READ THE INSTRUCTIONS BEFORE INSTALLING OR USING THIS APPLIANCE” “Conforms with the WEEE Regulations.”
DEAR CUSTOMER
The cooker is exceptionally easy to use and extremely efficient. After reading the instruction manual, operating the cooker will be easy. Before being packaged and leaving the manufacturer, the cooker was thoroughly checked with regard to safety and functionality.
Before using the appliance, please read the instruction manual carefully. By following these instructions carefully you will be able to avoid any problems in using the appliance.
It is important to keep the instruction manual and store it in a safe place so that it can be consulted at any time.
It is necessary to follow the instructions in the manual carefully in order to avoid possible accidents.
Caution!
Do not use the cooker until you have read this instruction manual. The cooker is intended for household use only. The manufacturer reserves the right to introduce changes that do not affect the operation of the appliance.
SAFETY INSTRUCTIONS
- The appliance becomes hot during operation. Take care not to touch the hot parts inside the oven.
- Always keep children away from the cooker. While in operation direct contact with the cooker may cause bums!
- Ensure that small items of household equipment, including connection leads, do not, touch the hot oven or the hob as the insulation material of this equipment is usually not resistant to high temperatures.
- Do not leave the cooker unattended when frying. Oils and fats may catch fire due to overheating.
- Do not allow the cooktop to get soiled and prevent liquids from boiling over onto the surface of the cooktop, Any spillages should be cleaned up as they happen.
- Do not place pans with a wet bottom on the warmed-up heating zones as this can cause irreversible changes to the cooktop(irremovable stains).
- Do not switch on the cooktop until a pan has been placed on it.
- Do not put pans weighing over 15kg on the opened door of the oven and pans over 25kg on the cooktop.
- Do not use harsh cleaning agents or sharp metal objects to deans the doors as they can scratch the surface, which could then result in the glass cracking.
- Do not use the cooker in the event of a technical fault. Any faults must be fixed by an appropriately qualified and authorized person.
- In the event of any incident caused by a technical fault, disconnect the power and report the fault to the service center to be repaired.
- The rules and provisions contained in this instruction manual should be strictly observed. Do not allow anybody who is not familiar with the contents of this instruction manual to operate the cooker.
- The cooker should not be cleaned using steam equipment.
- WARNING: In order to prevent accidental tipping of the appliance .for example by a child climbing onto the open door. the stabilizing means must be installed.
- The oven must be switched off before removing the guard and, after dealing, the guard must be replaced in accordance with the instructions.
- Ensure that the appliance is switched off before replacing the lamp to avoid the possibility of electric shock.
- WARNING: Accessible parts will become hot when the grill is in use . Children should be kept away.
- The appliance is not intended to be operated by means of an external timer or separate remote-control system.
- This appliance is not intended for use by persons (including children) with reduced physical. sensory or mental capabilities, or lack of experience and knowledge, unless they have been given supervision or instruction concerning the use of the appliance by a person responsible for their safety.
- Children should be supervised to ensure that they do not play with the appliance.
- If the supply cord is damaged, it must be replaced by the manufacturer or its service agent, or a similarly qualified person in order to avoid a hazard.
- Use pans that are specified by the manufacturer as designed for use with a ceramic hob.
- If the surface is cracked, switch off the appliance to avoid the possibility of electric shock.
- Do not use pans with sharp edges that may cause damage to the ceramic hob.
- Do not look directly at the halogen heating zone (not covered with a pan)when they are warming up.
HOW TO SAVE ENERGY
Using energy in a responsible way not only saves money but also helps the environment So let’s save energy! And this is how you can do it:![]()
- Use proper pans for cooking. Pans with thick, flat bases can save up to 1/3 on electric energy. Remember to cover pans if possible otherwise, you will use four times as much energy!
- Match the size of the saucepan to the surface of the heating plates. A saucepan should never be smaller than a heating plate.
- Ensure heating plates and pan bases are deans. Soils can prevent heat transfer-and repeatedly burnt-on spillages can often be removed by-products that cause damage to the environment.
- Do not uncover the pan too often(a watched pot never boils!). Do not open the cover door unnecessarily often.
- Switch off the oven in good time and make use of residual heat.
For long cooking times, switch off heating zones 5 to 10 minutes before finishing cooking. This saves up to 20% on energy. - Only use the oven when cooking larger dishes. The meat of up to 1 kg can be prepared more economically in a pan on the cooker burner.
- Make use of residual heat from the oven. If the cooking time is greater than 40minutes it is recommended to switch off the oven 10 minutes before the end time.
Caution!
When using the timer set appropriately shorter cooking times according to the dish being prepared.
- Only grill with the ultrafine after closing the oven door.
- Make sure the oven door is properly closed. Heat can leak through spillages on the door seals. Clean up any spillages immediately.
- Do not install the cooker in the direct vicinity of refrigerators/freezers. Otherwise, energy consumption increases unnecessarily.
UNPACKING
During transportation. protective packaging was used to protect the appliance against any damage.
After unpacking, please dispose of all elements of packaging in a way that will not cause damage to the environment. All materials used for packaging the appliance are environmentally friendly; they are 100% recyclable and are marked with the appropriate symbol.
Caution!
During unpacking, the packaging materials (polythene bags, polystyrene pieces, etc.) should be kept out of reach of children.
DISPOSAL OF THE APPLIANCE
Old appliances should not simply be disposed of with normal household waste. but should be delivered to a collection and recycling centre for electric and electronic equipment.
A symbol shown on the product, the instruction manual or the packaging shows that it is suitable for recycling.
Materials used inside the appliance are recyclable and are labeled with information concerning this. By recycling materials or other parts from used devices you are making a significant contribution to the protection of our environment. Information on appropriate disposal centers for used devices can be provided by your local authority.
DESCRIPTION OF THE APPLIANCE
Control panel
DESCRIPTION OF THE APPLIANCE
- Temperature control knob
- Oven function control knob
- Heating zone control knobs
- Oven operation indicator(orange)
- Cooker operation indicator(red)
- Oven door handle
- Drawer
- Hotplate
- Electronic programmer
INSTALLATION
Installing the cooker
- The kitchen should be dry and airy and have effective ventilation according to the existing technical provisions.
- The room should be equipped with a ventilation system that pipes away exhaust fumes created during combustion. This system should consist of a ventilation grid or hood. Hoods should be installed according to the manufacturer’s instructions. The cooker should be placed so as to ensure free access to control elements.

- Coating or veneer used on fitted furniture must be applied with a heat-resistant adhesive (100’C). This prevents surface deformation or detachment of the coating. If you are unsure of your furniture’s heat resistance, you should leave approximately 2 cm of free space around the cooker. The wall behind the cooker should be resistant to high temperatures. During operation, its backside can warm up to around SOC above the ambient temperature.
Fix the cooker to the back wall with 2 chains Anti-tilt chains are located at the rear of the appliance and must be secured to the wall behind the appliance to prevent accidental tipping/tilting. The chain length must be as short as practicable to avoid the appliance tilting forward and also diagonal to avoid the appliance moving sideways. - The cooker should stand on a hard, even floor (do not put it on a base.)

- Before you start using the cooker it should be leveled, which is particularly important for fat distribution in a frying pan. To this purpose, adjustable feet are accessible after the removal of the drawer. The adjustment range is +/-5mm.

- Install the cover. Take the cover and cooker out of the packaging. Select a proper place, and steadily level the cooker. To fit the rear panel/splashback, slide the lugs on the bottom of the panel into the matching slots on the rear of the stove and fix them with the screws provided.

Caution! The splashback is fixed to the rear wall of the cooker. kindly please REMOVE before installation.
Pic: Unscrew the splashback from the rear wall of the cooker.
Pic: A and fit to the rear of the cooktop section of the cooker. Pic: B 
OPERATION
Before first use
- Remove packaging empty the drawer. Clean the interior of the oven and the hob.
- Take out and wash the oven fittings with warm water and a little washing-up liquid.
- Switch on the ventilation in the room or open a window.
- Heat the oven (to a temperature of 250 I:. for approx. 30 min.). remove any stains and wash carefully. The heating plates of the hob should be heated for around 4 min. without a pan
- When heating the oven for the first time, it is a normal phenomenon to give off smoke and a peculiar smell. This will disappear about 30 minutes later.
How to use the heating plate
The level of heat can be adjusted gradually by turning the appropriate knob to the right or left. Switching on the plate results in an orange signal light on the control panel turning on.
An appropriately selected pan saves energy. A pan should have thick. flat base with a diameter equal to the plate diameter, as in that case heat is transferred most efficiently.
Use
Do not use pots and pans that are unsteady and likely to rock or overbalance.
Do not operate the cooktop for an extended time without utensils on the hotplate.
Caution_:_ Ensure the plate is clean-a soiled zone does not transfer all of the heat. Protect the plate against corrosion. Switch off the plate before a pan is removed. Do not leave pans with prepared dishes based on fats and oils unattended on the switched-on plate: hot fat can spontaneously catch fire.
Large pots MUST NOT be placed over two or more hotplates as damage will more than likely occur. Do not leave pans unattended on a hotplate.
Electronic programmer
A – Display field B – Seconds Icon
C – Buttons
D – Timer
E – Current time
F – Cooking time
G – End of cooking time
M – Function
– To decrease the numbers on the digital display
+ To increase the numbers on the digital display
OPERATION
Setting the time
- At power-on, displayed “12.00”, and 6 flashes.

- The current time can be set with buttons 1 and 3. 5 seconds after the time has been set, the new data will be saved.
Timer
The timer can be activated at any time and at any function. The timer can be set from 1 minute to 23 hours and 59 minutes.
To set the timer you should:
- Press button 2, flashing 4. Enter the timer setting.

- Set the timer using buttons 1 and 3.

- 5 seconds after the time is set, or directly press the button 2. the signal functions is on. your setting is saved.

- When the set time is up the alarm signal will be activated and the signal function starts flashing again.

- Press any button, the signal functions and the alarm signal will go off. Or the alarm signal will be turned off automatically after 2 minutes.
Caution! Besides timer alarm, any other alarms can be turned off by pressing any button, If the alarm signal is not turned off manually. it will be turned off automatically after 2 minutes.
Semi-automatic operation
If the oven is to be switched off at a given time, or after a defined period, you should:
- Set the oven function knob and the temperature regulator knob to the setting at which you want the oven to operate.
- Press the function button. the oven will begin to work and the function signal 141 flashings.
- Press buttons 1 or 3 to adjust the cooking time. within a range from 1 minute to 10 hours.
- Or press the button “MODE” twice. then the display will show flashing -M. Set the end time by buttons land3.
- The set time is introduced to the memory after 5 seconds.
- When the set time passed, the oven is switched off automatically, the alarm is activated.
- Press any button,the alarm signal and the yi icon will go off, Or the alarm signal will be turned off automatically after 2 minutes.
Caution!
- The cooking time and end of cooking time range: Cooking time range:0<t _10hours End of cooking time range: current time< end of cooking time current time+10 hours End of cooking time = current time + cooking time
- When using the semi-automatic operation, set either the cooking time or the end of cooking time.
- If you set the cooking time to 0 or set the end of cooking time to the current time, the auto function will be off.
- After the auto function is off. the cooking time to 0, end of cooking time, and current time remains the same.
For example
The current time is 2:00, want to oven work of 3 hours. end of cooking time is set to be 5:00 (2:00+3:00 = 5:00 ).
There are two methods to achieve this setting:
First method:
- Set the cooking time using buttons 1 and 3.

- The end of cooking time automatically changes to 5:00. Second method: 1. Set the end of cooking time buttons using 1 and 3.

- The cooking time automatically changes to 3:00.5 seconds after the setting, the auto function is on. 3 hours later, the current time shows “5.00” The alarm signal is activated.
Automatic operation
If the oven is to be switched on for a specified period of time and switched off at a fixed hour then you should set the cooking time and the end of cooking time:
- Set the oven function knob and the temperature regulator knob to the setting at which you want the oven to operate.
- Press button 2, the oven will begin to work and the function signal 141 flashings.
- Press button 1 or 3 to adjust the cooking time. within a range from 1 minute to 10 hours.
- And press button 2. then the display will show flashing 41. Set the cooking time using buttons 1 and 3.
- The set time is introduced to the memory after 5 seconds, the 141 and 41 are always on.
- When the set time passed, the oven is switched off automatically, the alarm is activated. and the FM will go off.
- Press any button. the alarm signal and the 41 icons will go off. Or the alarm signal will be turned off automatically after 2 minutes.
Caution!
• Work time = end of cooking time-cooking time
For example:
If the current time is 2:00; the cooking time is set to be 3 hours; the end of the cooking time set to be 10:00, the work time will be 7:00 (7:00=10:00-3:00).

- Set the cooking time to be “3.00” with buttons 1 and 3.

- Set the end of cooking time. time to be “10.00” with buttons 1 and 3.

- 5 seconds after setting, the auto function is on.

- When it is up to 7:00, the oven will begin to work.

- When it is up to 10:00 the alarm signal is activated. The oven is switched off automatically.

Caution!
- End of cooking time > current time + cooking time <= 10 hours
- At least more than one minute of cooking time, cooking time, and end of cooking time must be set.
- If the cooking time is set to be 0 or the end of the cooking time is set to be the current time. the auto function will be off.
- After the auto function is off, the cooking time to 0, the end of cooking time and current time remains the same.
Oven functions and operation Oven is controlled by the function knob and mechanical timer and temperature selection knob.

Caution!
When selecting any heating function, the oven will only be switched on after the temperature has been set by the temperature regulator knob.
Possible settings of the oven function knob
Base Heat (Bottom heater)
At this oven function knob position, the oven activates the bottom heater.
Fan assisted (Fan + Bottom Heater + Top Heater)
At this knob position, the oven executes the cake function. Conventional oven with a fan.
Half Fan Grill (Grill+Fan)
When the knob is turned to this position, the oven activates the grill and fan function In practice, this function allows the grilling process to be speeded and an improvement in the taste of the dish, you should only use the grill with the oven door shut.
Classic Convection (Top Heat+Bottom Heat)
setting the knob to this position allows the oven to be heated conventionally.
Static Grill (Double Grill)
When the “combined grill” is active it enables grilling with the grill and with the top heater switched on at the same time This function allows a higher temperature at the top of the cooking area, which causes more intense browning of the dish and permits larger portions to be grilled.
Defrost(Rear Fan only)
This function for defrosting
Fan forced (Rear Heat+ Rear Fan)
This function, allows the oven to be heated up in a forced way with the thermofan, which is in the central part of the oven heating method is Reduction of oven heating-up time and of the initial heating stage. Possibility to bake at two cooking levels simultaneously.
Caution
When the functions with the fan have been selected but the temperature knob is set to zero only the fan will be on. With this function, you can cool the dish or the oven chamber.
Separate oven lighting
By setting the knob to this position the lighting inside the oven is switched on, e.g. use when washing the oven chamber.
Caution!
At this oven function knob position. The oven is not being warmed up.
Changing the Oven Lamp
Before any maintenance is started involving electrical parts, the appliance must be disconnected from the power supply. If the oven has been in use, let the oven cavity and the heating elements cool down before attempting any maintenance.
Changing the bulb
- Unscrew the protective cover. We recommend that you wash and dry the glass cover at this point.
- Carefully remove the old bulb and insert the new bulb suitable for high temperatures (300’C) having the following specifications: 220-240V. 50Hz. 25W, G9 fitting.
- Refit the protective cover

IMPORTANT
Never use screwdrivers or other utensils to remove the light cover. This could damage the enamel of the oven or the lamp holder. Remove only by hand.
IMPORTANT
Never replace the bulb with bare hands as contamination from your fingers can cause premature failure. Always use a clean cloth or gloves.
Please note:
The bulb replacement is not covered by your guarantee
Use of the grill
The grilling process operates through infrared rays emitted onto the dish by the incandescent grill heater. In order to switch on the grill you need to
- Set the oven knob to the position marked grill.
- Heat the oven for approx. 5 minutes(with the oven door shut).
- Insert a tray with a dish onto the appropriate cooking level; and if you are grilling on the grate insert a tray for dripping on the level immediately below (under the grate).
- Close the oven door.
- For grilling with the function grill and combined grill, the temperature must be set to 250-C, but for the function fan and grill, it must be set to a maximum of 200’C.
Wamina! When using the grill function it is recommended that the oven door is closed.
When the grill is in use accessible parts can become hot. It is best to keep children away from the oven.
Oven guide levels
Baking pans and accessories (oven grid, baking tray, etc) may be inserted into the oven in 5 guiding levels. Appropriate levels are indicated in the tables that follow. Always count levels from the bottom upwards! 
CLEANING AND MAINTENANCE
By ensuring proper cleaning and maintenance of your oven, you can have a significant influence on the continuing fault-free operation of your appliance. Before you start cleaning, the oven must be switched off and you should ensure that all knobs are set to the “0” position. Do not start cleaning until the oven has completely cooled.
Oven
- The oven should be cleaned after each use . Cool the oven completely before cleaning.
- Never clean the appliance with a pressurized hot steam cleaner!
- The oven chamber should only be washed-ed with warm water and a small amount of washing-up liquid.
- Steam cleaning
-pour 250ml of water (1 cup) into a bowl placed in the oven on the first level from the bottom.
-Close the oven door,
-Set the temperature knob to 50 ℃ and the function knob to the bottom heater position,
-heat the oven chamber for approximately 30 minutes,
-Open the oven door, wipe the chamber inside with a cloth or sponge and wash using warm water with washing-up liquid. After cleaning the oven chamber wipe it dry.
Caution!
- Do not use cleaning products containing abrasive materials for the cleaning and maintenance of the glass front panel.
- When cleaning does not use cleaning agents with a strong abrasive effect, such as e.g. scouring powders containing abrasive, abrasive compounds,abrasive stones, pumice stones, wire brushes, and so on. They may scratch the hob surface, causing irreversible damage.
- Large spillages that are firmly stuck to the hob can be removed by a special scraper, but be careful not to damage the ceramic hob frame when doing this

Scraper for cleaning the hob
Caution!
The sharp blade should always push it with your thumb). Injuries are protected by adjusting the cover(just possible so be careful when using this instrument-keep out of reach of children. Appropriate light cleaning or washing products are recommended, such as e.g. any kind of liquids emulsions for fat removal. Alternatively, a solution of warm water with a little washing-up liquid or cleaning products for stainless steel sinks can be used.
Door removal
In order to obtain easier access to the oven chamber for cleaning, it is possible to remove the door.
To do this, tilt the safety catch part of the hinge upwards. Close the door lightly, lift and pull it out towards you. In order to fit the door back onto the cooker, do the reverse.
When fitting, ensure that the notch of the hinge is correctly placed on the protrusion of the hinge holder. After the door is fitted to the oven, the safety catch should be
carefully lowered down again. If the safety catch is not set it may cause damage to the hinge when closing the door. 
Removal of the internal glass panel
Unscrew and unfasten the plastic latch that is in the corner at the top of the door. Next, take out the glass from the second locking mechanism and remove it. After cleaning,
insert and block the glass panel, and screw in the locking mechanism.
Regular inspections
Besides keeping the cooker clean, you should:
Carry out periodic inspections of the control elements and cooking units of the cooker. After the guarantee has expired you should have a technical inspection of the cooker carried out at a service center at least once every two years.
- Fix any operational faults.
- Carry out periodical maintenance of the cooking units of the cooker.
Caution!
All repairs and regulatory activities should be carried out by the appropriate service center or by an appropriately authorized fitter.
OPERATION IN CASE OF EMERGENCY
In the event of an emergency, you should: switch off all working units of the oven
BAKING IN THE OVEN
- disconnect the mains plug
- call the service center
- some minor faults can be fixed by referring to the instructions given in the table below. Before calling the customer support center or the service center checks the following points that are presented in the table.
| PROBLEM | REASON | ACTION |
| 1. The appliance does not work. | Break-in power supply. | Check the household fuse box; if there is a blown fuse replace it with a new one. |
| 2. The programmer’s display is flashing “0.00”. | The appliance was disconnected from the mains or there was a temporary power cut. | Set the current time (see Use of the programmer ). |
| 3. The oven lighting does not work. | The bulb is loose or damaged. | Tighten up or replace the blown bulb(see Cleaning and Maintenance) |
Baking cakes and loaves
Warning!
- The baking parameters given in the Tables are approximate and can be corrected based on your own experience and cooking preferences.
- In case you may not find any particular type of cake on the tables, use the information available for the next most similar type of cake.
Baking with upper and lower heaters
- Use only a single guide level.
- This baking position is especially suitable for baking dry pastry, bread, and teacakes.
- Use dark baking pans. Light pans reflect heat and the pastry is not adequately browned.
- Always place baking pans on the grid rack. Remove the grid only of baking in the flat biscuit tray, supplied with the appliance.
- Preheating shortens the baking time. Do not put the cake in the oven until the proper temperature is obtained. gradually by turning the appropriate knob to the right or left. The knob is unfolded on
Baking tips
Is the cake cooked?
Pierce the cake with a wooden peg at the thickest part, if the dough does not stick to it, the cake is baked. You may switch off the oven and use the remaining heat. cake has fallen Check the recipe. Use less fluid next time. Follow the mixing times, especially when using powered kitchen mixers.
the cake is too light on the bottom Use a dark baking pan next time, or place the pan one level lower, or switch on the lower heater a while before the completion.
Cheesecake is undercooked Next time reduce the baking temperature and extend the baking time.
Warnings regarding the baking tables
The tables indicate the temperature range. Always select lower temperature first. You may always increase the temperature in case the pastry needs more Baking times are indicative only. They may vary in dependence on individual characteristics. baking.
The Asterix indicates that the oven requires preheating.
BAKING IN THE OVEN
The Baking Table is for cakes and loaves
| Type of pastry | Guide level (iron) do” n upwards) | Temp(t) | Guide level (from down upwards) | Tempre) | Baking time (in min.) |
| Sweet pastry | |||||
| Raisin cake | 2 | 160-170 | 2 | 150-160 | 55-70 |
| Ring cake | 2 | 160-170 | 2 | 150-160 | 60-70 |
| Tree cake (tart form) | 2 | 160-170 | 2 | 150-160 | 45-60 |
| Cheesecake (tart form) | 2 | 180-190 | 3 | 160-170 | 60-80 |
| Fruitcake | 190-200 | 3 | 170-180 | 50-70 | |
| Fruit cake with icing | 21 | 180-190 | 3 | 160-170 | 60-70 |
| Sponge cake | 2 | 180-190 | 2 | 160-170 | 30-40 |
| Flake cake | 3 | 190-200 | 3 | 170-180 | 25-35 |
| Fruit cake mix dough | 3 | 180-190 | 3 | 160-170 | 50-70 |
| Cherry cake | 3 | 190-210 | 3 | 170-200 | 30-50 |
| Jelly roll | 3 | 190-200 | 3 | 170-180 | 15-25 |
| Fruit fan | 3 | 160-170 | 3 | 150-160 | 25-35 |
| Plait bun | 2 | 190-210 | 3 | 180-210 | 35-50 |
| Christmas cake | 2 | 180-190 | 3 | 170-200 | 45-70 |
| Apple pie | 2 | 190-210 | 3 | 170-200 | 40-60 |
| Puff paste | 2 | 180-190 | 3 | 160-170 | 40-60 |
| Salted pastry | |||||
| Bacon roll | 2 | 190-200 | 3 | 170-180 | 45-60 |
| Pizza | 2 | 220-240 | 3 | 210-230 | 30-45 |
| Bread | 2 | 200-220 | 3 | 180-210 | 50-60 |
| Rolls | 2 | 210-230 | 3 | 200-220 | 30-40 |
| Cookies | |||||
| Caraway roll | 3 | 180-190 | 3 | 160-170 | 15-25 |
| Biscuits | 3 | 180-190 | 3 | 160-170 | 20-30 |
| Danish pastry | 3 | 190-210 | 3 | 170-200 | 20-35 |
| Flaky pastry | 3 | 200-210 | 3 | 180-200 | 20-30 |
| Cream puff | 3 | 190-210 | 3 | 170-200 | 25-45 |
| Deep frozen pastry | |||||
| Apple pie, cheese pie | 2 | 190-210 | 3 | 170-200 | 50-70 |
| Cheesecake | 2 | 190-200 | 3 | 170-180 | 65-85 |
| Pizza | 2 | 210-230 | 3 | 200-220 | 20-30 |
| Chips for oven | 2 | 210-230 | 3 | 200-220 | 20-35 |
| Potato fries for | 2 | 210-230 | 3 | 200-220 | 20-35 |
Roasting
The best heating mode for each type of roasting pan is indicated by bold print in the Roasting Tables. Tips regarding roasting pans Use light enamel pans, temperature-resistant glass pans, clay dishes, or wrought iron dishes. Stainless steel dishes are not recommendable because they excessively reflect heat. Cover your roast or wrap it in foil. It will preserve its juice and the oven will remain cleaner.
If you leave the pan uncovered the roast will be cooked sooner. Roast large chunks of meat directly on the grid, with intercepting pan underneath.
Attention when roasting!
Roasting tables indicate suggested temperatures, guide levels, and roasting times. Roast time largely depends upon the type of meat, its size and quality. So you may expect some variations.
- Roasting large chunks of meat may produce excessive steaming and dew formation at the oven door. This is quite normal and does not affect the operation of the oven. However, after the completion of roasting wipe the oven door and the glass thoroughly.
- The roasting of red meat, poultry, and fish is rational if the roast exceeds one kilogram in size. Add as much liquid as necessary to prevent the burning of juice, dripping from meat.
- Roast must be surveyed at all times. And liquid added if necessary.
- At approximately the middle of the indicated time turn the roast round, especially if you use the deep roast dish.
- When roasting on the grill grid, place the grid in the deep roasting pan and insert both into the sliding guide. The bottom pan will intercept dripping fat.
- Never leave the roast to cool in the oven, as it might produce dew and corrosion of the oven.
Roasting table
| Type of meat | Weight (in grains) | Shelf position (from down upwards) | Temp (‘C) | Roasting time (in min ) | Temp ( r) | Roasting time ( in min.) | Temp (t) | Roasting time ( in min ) |
| B gcf | ||||||||
| Beef loin | 1000 | 2 | 210-230 | 100-120 | 200-220 | 100-120 | 200-220 | 100-120 |
| Beef loin | 1500 | 2 | 210-230 | 120-150 | 200-220 | 120-150 | 200-220 | 120-150 |
| Roast beet rare | 1000 | 2 | 230-240 | 30-40 | 220-230 | 30-40 | 220-230 | 30-40 |
| Roast beet well done | 1000 | 2 | 230-240 | 40-50 | 220-230 | 40-50 | 220-230 | 40-50 |
| Pork | ||||||||
| Pork roast with skin | 1500 | 2 | 190-200 | 140-160 | 170-180 | 140-160 | 170-180 | 140-160 |
| Flank | 1500 | 2 | 200-210 | 120-150 | 180-190 | 120-150 | 180-190 | 120-150 |
| Flank | 2000 | 2 | 190-210 | 150-180 | 170-200 | 150-180 | 170-200 | 150-180 |
| Pork loin | 1500 | 2 | 210-230 | 120-140 | 200-220 | 120-140 | 200-220 | 120-140 |
| Meat roll | 1500 | 2 | 210-230 | 120-140 | 200-220 | 120-140 | 200-220 | 120-140 |
| Pork cutlet | 1500 | 2 | 190-210 | 100-120 | 170-200 | 100-120 | 170-200 | 100-120 |
| Minced meat roast | 1500 | 2 | 220-230 | 60-70 | 210-220 | 60-70 | 210-220 | 60-70 |
| Veal | ||||||||
| Veal roll | 1500 | 2 | 190-210 | 90-120 | 170-200 | 90-120 | 170-200 | 90-120 |
| Veal knuckle | 1700 | 2 | 190-210 | 120-130 | 170-200 | 120-130 | 170-200 | 120-130 |
| Lamb | ||||||||
| Lamb prime ribs | 1500 | 2 | 200-210 | 100-120 | 180-200 | 100-120 | 180-200 | 100-120 |
| Mutton blade bone | 1500 | 2 | 200-210 | 120-130 | 180-200 | 120-130 | 180-200 | 120-130 |
| Ham | 1500 | 2 | 200-220 | 100-120 | 180-210 | 100-120 | 180-210 | 100-120 |
| Poultry | ||||||||
| Chicken entire | 1200 | 2 | 210-220 | 60-70 | 200-210 | 60-70 | 200-210 | 60-70 |
| Hen | 1500 | 2 | 210-220 | 70-90 | 200-210 | 70-90 | 200-210 | 70-90 |
| Duck | 1700 | 2 | 190-210 | 120-150 | 170-200 | 120-150 | 170-200 | 120-150 |
| Goose | 4000 | 2 | 170-180 | 180-200 | 150-160 | 180-200 | 150-160 | 180-200 |
| Turkey | 5000 | 2 | 160-170 | 180-240 | 140-150 | 180-240 | 140-150 | 180-240 |
| Fish | ||||||||
| Fish, entire | 1000 | 2 | 210-220 | 50-60 | 200-210 | 50-60 | 200-210 | 50-60 |
| Fish soufflé | 1500 | 2 | 190-210 | 50-70 | 170-200 | 50-70 | 170-200 | 50-70 |
Grilling
- Take extra precautions when grilling. Intensive heat from the infrared heater makes the oven and the accessories extremely hot. Use protective gloves and barbecue accessories!
- The perforated roast may produce spurting of hot grease(sausages). Use long grill tongs to prevent skin burns and protect your eyes.
- Supervise the grill at all times. Excessive heat may quickly burn your food and provoke fire!
- Do not let the children in the vicinity of the grill.
The grill heater is especially suitable for the preparation of low-fat sausages, meat, fish fillets, and steaks, and for browning and crisping the roast skin.
Tips for grilling
- Grilling should be carried out with the oven door closed. Intensive heat from an infrared heater makes Grilling tables indicate the recommended temperature, guide levels, and grilling times, which may vary according to the weight and quality of meat.
- The grill heater should be pre-heated for 3 minutes.
- Oil the grill grid before placing the food, otherwise food might stick to the grid.
- Place the meat upon the grid, then place the grid upon the grease interception pan. Insert both trays into the oven guides. Turn the meat around after half of the roasting time has expired.
- Thinner slices will require only one turn, for larger chunks you might need to repeat the procedure.
- Always use barbecue tongs to avoid losing excessive juice from the meat.
- Dark beef meat is grilled quicker than lighter pork or veal. Clean the grill, the oven, and the accessories each time after use.
Grill table
| Type of meat for the grill | Weight (in grams) | Shelf position bottom-up) | Temp ( °C) | Grill time (in min.) |
| Meat and sausages | ||||
| 2 beefsteaks, rare | 400 | 5 | 240 | 14-16 |
| 2 beefsteaks, medium | 400 | 5 | 240 | 16-20 |
| 2 beefsteaks, well done | 400 | 5 | 240 | 20-23 |
| 2 pork scrag fillets | 350 | 5 | 240 | 19-23 |
| 2 pork chops | 400 | 5 | 240 | 20-23 |
| 2 veal steaks | 700 | 5 | 240 | 19-22 |
| 4 lamb cutlets | 700 | 5 | 240 | 15-18 |
| 4 grill sausages | 400 | 5 | 240 | 9-14 |
| 2 slices of meat cheese | 400 | 5 | 240 | 9-13 |
| 1 chicken, halved | 1400 | 3 | 240-250 | 28-33(1.side) 23-28(2.side.) |
| Fish | ||||
| Salmon fillets | 400 | 4 | 240 | 19-22 |
| Fish in aluminum foil | 500 | 4 | 230 | 10-13 |
| Toast | ||||
| 4 slices of white bread | 200 | 5 | 240 | 1,5-3 |
| 2 slices of wholemeal | 200 | 5 | 240 | 2-3 |
| Toast sandwich | 600 | 5 | 240 | 4-7 |
| Meat/poultry | ||||
| Chicken | 1000 | 3 | 180-200 | 60-70 |
| Pork roast | 1500 | 3 | 160-180 | 90-120 |
| Pork scrag | 1500 | 3 | 160-180 | 100-180 |
| Pork knuckle | 1000 | 3 | 160-180 | 120-160 |
| Roast beef/ beef fillet | 1500 | 3 | 190-200 | 40-80 |
TECHNICAL INFORMATION
| TYPE | AFE544W | AFE547W |
| Dimensions (HxWxD) cm | 90/54/60 | 90/54/60 |
| Oven | ||
| Guide levels | 5 | 5 |
| Top heater(kW) | 0.85 | 0.85 |
| Bottom heater(kW) | 1. | 1. |
| Grill heater(kW) | 1. | 1. |
| Oven illumination(W) | 25 | 25 |
| Function modes | ||
| Oven light(W) | 25 | 25 |
| Top+bottom heater(kW) | 2.0 | 2.0 |
| Top heater(kW) | — | — |
| Bottom heater(kW) | 1. | 1. |
| Top+Bottom heater+fan(kW) | – | 2.0 |
| Top/grill(kW) | 2. | 2. |
| Fan(W) | 30 | |
| Fan+Rear heater(kW) | — | 2.0 |
| Fan+Half grill(kW) | — | 1. |
| Fan+Bottom heater(kW) | — | — |
| Grill(kW) | — | — |
| Temperature | 50-250t- | 50-250’C |
| Frequency(Hz) | 50 | 50 |
| Electrical Input(V) | 220-240V/2 3N | 220-240V/380-415V 3N |
| Oven power(kW) | 2.0 | 2.0 |
| Hotplate power(kW) | 6. | 6. |
| Total main power(kW) | 8. | 8. |
Complies with AS/NZS regulations EN 50304, AS/NZS60335-1,AS/NZS60335-2-6 standards.
ELECTRICAL CONNECTION
Caution! All electrical work should be carried out by a suitably qualified and authorized electrician. No alterations or willful changes in the electricity supply should be carried out. The fixing line connected must be equipped with the all-pole disconnection device provided by breakaway the contact under overvoltage category III according to the wiring rules.
Fitting guidelines
connection type and the power rating of the cooker. The cooker is manufactured to work with a three-phase alternating current (380-415V 3N~50 Hz). The voltage rating of the cooker heating elements is 220-240V. Adapting the cooker to operate with one phase current is possible by appropriate bridging in the connection box according to the connection diagram below. The connection diagram is also found on the cover of the connection box. Remember that the connection wire should match the
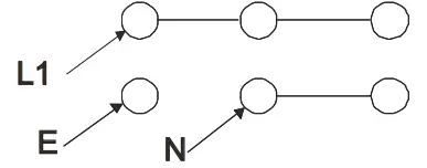
| CONNECTION DIAGRAM Caution! The voltage of heating elements 220-240V Caution! In the event of any connection, the safety Wire must be connected to the | The recommended type of lead connection | ||
| For 220-240V earthed one-phase connection, bridges on, bridges connect 1-2-3 terminals and 4-5 terminals, safety wire to | ![]() | HO5VV-F3G4 | |
| 2 | For 380-415/220-240V earthed three-phase connection, bridges connect 4-5 terminals, phases in succession 1,2 and 3, earth to 4-5, the safety wire to | ![]() | HO5VV-F5G1,5 |
| L1=R, L2=s, L3=-1, Na- Null Terminal, E=safety wire terminal | |||
The connection cable must be secured in a strain-relief clamp. For the connection leads, the grounding wire must be longer than the other wires.
Caution !
Remember to connect the safety circuit to the connection box terminal marked with
. Before connecting the cooker to the power supply it is important to read the information on the data plate and the connection diagram.
Worldwide Appliances Pty Limited
A.B.N. 45868077422 O!ce: 48-50
Moore Street, Leichhardt N.S.W 2040 Post:
Locked Bag 3000, Annandale, N.S.W 2038 P: 1300 694 583
WARRANTY REGISTRATION
Your ongoing satisfaction with your artistic product is important to us. We ask that you complete the enclosed Warranty Registration Card and return it to us so that we have a record of the artistic product purchased by you.
PRIVACY
Worldwide Appliances respects your privacy and is committed to handling your personal information in accordance with the National Privacy Principles and the Privacy Act 1988 (Cth). A copy of the Worldwide Appliances Privacy Policy is available at www.artusi.com.au. Worldwide Appliances will not disclose any personal information set out in the Warranty Registration Card (“Personal Information”) without your consent unless required by:
- law;
- any Worldwide Appliances related company;
- any service provider which provides services to artists or assists the artist in providing services (including repair and warranty services) to customers. Our purpose in collecting the Personal Information is to keep a record of the artistic product purchased by you, in order to provide better warranty service to you in the unlikely event that there is a problem with your artistic product. Worldwide Appliances may contact you at any one or more of the addresses, email addresses or telephone numbers set out in the Warranty Registration
Card. Please contact the artist on 1300 694 583 should you not wish to be contacted by Worldwide Appliances.
WARRANTY
- Warranty Worldwide Appliances warrants that each artist product will remain, for a period of either 12 months or 24 months of warranty. All Warranties are valid from the original date of purchase, And warranty claims must be accompanied by proof of purchase. 24 months warranty products: All Built-in Appliances
– Limited to Ovens, Gas, Induction, And Electric Cooktops, and All Rangehoods Freestanding Cookers
– Gas and Electric Models (900mm Width) Dishwashers
– Freestanding, Fully Integrated, Semi-Integrated, and built-in 12 months warranty products: Freestanding Cookers
– Gas and Electric Models in 50cm, 54cm, and 60cm Widths Portable Appliances*
– Benchtop Models and Portable Gas Models - What is Not Covered by the Warranty. The Warranty does not apply if an artistic product is defective by a factor other than a defect arising in the manufacture of the artistic product, including but not limited to:
(a) damage through misuse (including failure to maintain, service or use with proper care), neglect, accident or ordinary wear and tear (including deterioration of parts and accessories and glass breakage);
(b) use for the purpose for which the artistic product was not sold or designed;
(c) use or installation which is not in accordance with any specified instructions for use or installation;
(d) use or operation after a defect has occurred or been discovered;
(e) damage through freight, transportation or handling in transit (other than when Worldwide Appliances is responsible);
(f) damage through exposure to chemicals, dust, residues, excessive voltage, heat, atmospheric conditions or other forces or environmental factors outside the control or Worldwide Appliances;
(g) repair, modification or tampering by the purchaser or any person other than Worldwide Appliances, an employee of Worldwide Appliances or an authorized artist service contractor*;
(h) use of parts, components or accessories which have not been supplied or specifically approved by the artist.
(i) damage to surface coatings caused by cleaning or maintenance using products not recommended in the artistic product handbook provided to the purchaser upon purchase of the artistic product; (j) damage to the base of an electric oven due to items having been placed on the base of the oven cavity or covering the base, such as aluminum foil (this impedes the transfer of heat from the element to the oven cavity and can result in irreparable damage); or (k) damages, dents or other cosmetic imperfections not affecting the performance of the artist in respect of an artistic product purchased as a “factory second” or from display The Warranty does not extend to light globes used in artistic products. - Domestic Use Each artist’s product is made for domestic use. This Warranty may not extend to art products used for commercial purposes.
- Time for Claim under the Warranty You must make any claim under this Warranty within twenty-eight (28) days after the occurrence of an event which gives rise to a claim pursuant to the Warranty, by booking a service call on the telephone number below.
- Proof of Purchase Customers must retain the proof of purchase in order to be eligible to make a warranty claim in respect of an artistic product.
- Claiming under the Warranty Customers will bear the cost of claiming under this Warranty unless Worldwide Appliances determines the expenses are reasonable, in which case the customer must claim those expenses by providing written evidence of each expense to Worldwide Appliances at the address on the Warranty Registration Card.
- Statutory Rights
(a) These terms and conditions do not affect your statutory rights.
(b) The limitations on the Warranty set out in this document do not exclude or limit the application of the consumer guarantees set out in the Act or any other equivalent or corresponding legislation in the relevant jurisdiction where to do so would:
(i) contravene the law of the relevant jurisdiction; or
(ii) cause any part of the Warranty to be void.
(c) Worldwide Appliances excludes indirect or consequential loss of any kind (including, without limitation, loss of use of the artistic product) and (other than expressly provided for in these terms and conditions) subject to all terms, conditions and warranties implied by custom, the general law, the Act or other statute.
(d) The liability of Worldwide Appliances to you for a breach of any express or non-excludable implied term, condition or warranty is limited at the option of Worldwide Appliances to:
(i) replacing or repairing the defective part of the artistic product;
(ii) paying the cost of replacing or repairing the defective part of the artistic product;
(iii) replacing the artistic product; or
(iv) paying the cost of replacing the artistic product.
(e) Our goods come with guarantees that cannot be excluded under the Australian Consumer Law. You are entitled to a replacement or refund for a major failure and for compensation for any other reasonably foreseeable loss or damage. You are also entitled to have the goods repaired or replaced if the goods fail to be of acceptable quality and the failure does not amount to a major failure. - Defects
Any part of an artistic product deemed to be defective and replaced by Worldwide Appliances is the property of Worldwide Appliances. Worldwide Appliances reserves the right to inspect and test artistic products in order to determine the extent of any defect and the validity of a claim under the Warranty. To locate your closest artist authorised service agent please contact us on 1300 652 100 or visit www.artusi.com.au
ALL SERVICE CALLS MUST BE BOOKED THROUGH AN AUTHORISED DEALER OR WARRANTY DEPARTMENT ON 1300 652 100 OR stokesaps.com.au/artusiservice
WARRANTY REGISTRATION CARD
01052013
Please complete and send to ARTUSI at: REPLY PAID 83617
LEICHHARDT NSW 2040
Last Name:……………………………
First Name:…………………………..
Address:…………………………………………..
State:…………………………………………….
Postcode:……………………………………
Email:……………………………………………
Home Phone:………………………….
Mobile:…………………….
Purchase Date: / / (Please attach proof of purchase to validate warranty)
MODEL NUMBER
SERIAL NUMBER
(if you cannot locate the serial number please call ARTUS on 1300 694 583)
DISCLAIMER
Worldwide Appliances PTY LTD, trading as ARTUS, is continually seeking ways to improve the design specifications, aesthetics, and production techniques of its products. As a result alterations to our products and designs take place continually. Whilst every effort is made to produce information and literature that is up to date, this brochure should not be regarded as an infallible guide to the current specifications, nor does it constitute an offer for the sale of any particular product. Product dimensions indicated in our literature is indicative only. Actual product only should be used to define dimension cutouts. Distributors and retailers are not agents of ARTUS and are not authorized to bind ARTUS by any express or implied undertaking or representation
ARTUSI OFFICES ARE OPEN DAILY FROM *AM/&PM AND SATURDAYS +’AM/#PM
| NSW & ACT!HEAD OFFICE” MOORE STREET LEICHHARDT F 02856999 | VIC. TAS & SA +(++ TOORAK ROAD CAMBERWELL F 0398082155 | QLD +/#( CAVENDISH ROAD COORPAROO F0733970850 | WA & NT UNIT +’/&& HOWE STREET OSBORNE PARK F 0892019188 | NZ PO BOX ++.+)’ SOCKBURN CHRISTCHURCH F 033445906 ARTUSI.COM.AU |













Caution! In the event of any connection, the safety Wire must be connected to the 



















