RETEVIS RT55 VHF Marine Two Way Radio
CAUTION
- The power supply of this transceiver is DC 7.4V, please use Li-ion battery as configured.
- This transceiver should be charged by configured adaptor.
- Do not expose it to direct sunlight for a long time, do not place it in environment or near any heating devices with temperatures below -20°C or above +55°C.
- If it emits smoke or strange odours, remove the battery from the product immediately and contact us or the local dealer.
- Cannot be transmitted without antenna installed, or the devices will be damaged.
- Do not operate it and power off in flammable, explosive environment.
- KEEP the transceiver at least 1 meter away from your vessel’s magnetic navigation compass.
- BE CAREFUL, the transceiver meets IP-67 requirements for waterproof protection. However, once the transceiver has been dropped, waterproof protection cannot be guaranteed because of possible damage to the transceiver’s case or the waterproof seal.
- MAKE SURE transceiver antenna, earphone jack cover and battery cover are dry before attachment. Exposing the inside of the transceiver to water will result in serious damage to the transceiver.
- Do not put the battery separately in the water or contact with wet material. Do not short circuit the battery.
Recommendation
Clean the transceiver thoroughly with fresh water after exposure to saltwater, and dry it before operating. Otherwise, the transceiver’s keys and control components may become unusable due to salt crystallization.
NOTE:
DO NOT submerge the transceiver in water if there is any reason to suspect the waterproof protection may not be effective. for example, in cases where the battery cover or DC Jack cap rubber seal is damaged, the transceiver/battery cover/DC Jack cap is cracked or broken ,or the transceiver has been dropped, or when the battery cover, antenna or DC Jack cap are detached from the transceiver.
FEATURES
- Water-resistant protection
The water-resistant protection of transceiver means IP67 requirements, can be 1 meter depth in water for30 minutes. Make sure supplied battery, microphone jack cover, antenna etc. are used and well installed before put into water.
Floats on water
- The transceiver can be floated when fell into water.
- The transceiver floats in fresh or salt water even when the supplied accessories, including battery, belt clip, antenna, are attached.
- When a third-party battery pack, belt clip, antenna, etc. are used , ii may sink.

PREPARATION
Supplied Accessories
Carefully unpack the transceiver. We recommend that you identify items listed in the following table before discarding the packing materials. If any item are missing or have been damaged, please contact dealer immediately.
Preparation
- Charging the Battery Pack
Charging the transceiver with battery pack
- Connect the adaptor output line with desktop charger, and connect adaptor to the AC Power.
- Charging by inserting transceiver with battery into desktop charger, confirm well connected.

Charging battery pack separately
- Connect the adaptor output line with desktop charger, and connect adaptor to the AC Power.
- Install battery bracket t into charging groove of desktop charger.
- Insert single battery pack into desktop charger.

- NOTE:
- You can fix the desktop charger on the table by configured self-tapping screw.
- Power off the transceiver before charging.
- Charging indicator lights red while charging.
- Charging indicator lights green while full charge.
Install /Remove Battery Pack
To insert the battery pack:
- Aim battery terminal on power contact point of transceiver, push battery into groove.
- Press battery downward and make sure battery clip into groove.
- If the battery cover not fixed well, it may cause water leakage.


To remove the battery pack
- Push battery clip upward.
- Lift upward of battery bottom from groove to remove battery pack.


- NOTE:
- Do not short circuit battery terminal or throw it into fire.
- Do not disassemble battery shell by yourself.

Install /remove antenna
- Connect the supplied fixable antenna to the antenna connector, rotate it clockwise.
- To remove it, rotate it anti-clockwise.
ؔInstall belt clip
Attach the belt clip to rear cover, and ensure screw holes are align, screw tightly using screw driver.
Get acquainted
Appearance
- Power Key
- Hold down this key over 1.5 seconds; to power on/off transceiver.
- [PTT] Key
- Hold down to transmit; speak with normal tone.
- Release to receive.
- CH [16]/Call CH [16]/[C]
- Push to select channel 16.
- Hold for 1.5seconds to select the call channel.(factory default: channel 9)
- Transceiver factory default call channel is channel 9.
- When the call channel is selected, hold for 3 seconds to enter the call channel programming mode.
- While in the set mode, push to return to the normal operation mode.
- Volume Key [VOL]/[MUTE]
- Press this key, then [A]/[T]to adjust volume.
- Hold for 1.5 seconds, to open mute function.
- [SCAN]/[DUAL]
- Push to start or stop scan mode (including normal and priority scan).
- Hold for 1.5 seconds to enter the Dual/Tri-watch mode.
- Push to exit the watch mode
- Hold this key and HI/LO key for 1.5 second, to activate the AquaQuake Function.
- High/low power/Lock key [H/L]/[Lock]
- Push to select the high or low output power.
- Hold for 1.5 seconds to turn the Lock function ON or OFF.
- Up/down key[.6.][T]
- Push to select an operation channel in normal mode.
- While in the Set mode, push to select the setting or value of an item.
- Squelch/Monitor key [SQL]/[MONI]
- Press this key, then press[..&. HT]key to adjust squelch level.
- Hold for 1.5 seconds to manually open squelch and active the Monitor function.
- While hold this key, press [\!, ] key to turn ON the power and enter the set mode.
- Favorite/Tag channel key [FAV]/[TAG]
- Hold this key, then press [.&.]IT] key to sequentially select the favorite/ tag channels, while ignoring untagged channel.
- Hold for 1.5 seconds to set or clear the TAG for the display channel.
- While holding this key,press[ ] key to power on to clear or set all TAG channels in the selected channel group.
- Channel group key [CH]
- Press this key to switch between normal channel group and weather channel group.
- Hold for 1.5 seconds, to select a channel group of USA, International and Canada.
- Push to return to the previous channel before selecting Channel 16 or the Calling channel.
- ANTE NA CONNECTOR
- Connect the son supplied antenna here.
- Earphone Jack [SP MIC]
- Use for connecting supplied earphone wire.
- Revolve anti-clockwise access flap to open, revolve clockwise to close.
- NOTE:
Revolve access flap tightly while no earphone wire connected, to avoid water leakage.
Display Screen
Know the meaning of the icons on LCD screen to ensure well operation.
| Icon | Description |
![]() |
|
![]() |
|
| |
![]() |
|
![]() |
|
![]() |
|
![]() |
|
![]() |
|
![]() |
|
![]() |
|
![]() |
|
![]() |
|
![]() |
|
![]() |
|
![]() |
|
![]() |
|
![]() |
|
![]() |
|
![]() |
|
![]()
|
|
BASIC OPERATION
- Turn ON/OFF
- Hold[ ]for 1.5 seconds to turn ON.
- Hold[ ] again for 1.5 seconds to turn OFF.
- Adjusting the Volume Level
The volume level can be adjusted using [VOL]and [T]/[•l
- Push [VOL]once to enter the volume adjustment mode. Then press
[T] or [T]to adjust the volume level.- The “VOL” icon starts blinking.
- The transceiver has 31 volume levels and OF means off.
- When no key operation is performed for 5 seconds, then transceiver returns to normal mode.
- Push [VOL]again to exit to normal mode.
- Adjusting the Squelch Level
The squelch level can be adjusted using [SQL] and [Tl or[T].ln the order to properly receive signals as well as for effectively scan, the squelch must be adjusted to the proper level.
- Push [SQL] once to enter the squelch adjustment mode, then push [ T] or [ T ]to adjust the squelch level.
- The “SQL” icon starts blinking.
- The transceiver has 11 squelch levels: OP is completely open; 10 is tight squelch.
- When no key operation is performed for 5 seconds, the transceiver returns to the normal mode.
- 1.Push [SQL] again to exit to normal mode.
Transmitting/Receiving
Transmitting
- Push [H/L]to select output power.
- “LOW” appears when low power is selected.
- Choose low power for short range communications; choose high power for long distance communications.
- Some channels are for low power communication only.
- Hold down [PTT]to transmit, then speak into the microphone.
- “TX” appears.
- Channel 70 cannot be used for transmission.
- Release [PTT]to receive.
- NOTICE:
- Transmitting without an antenna can damage the transceiver.
- Activate TOT function by PC programming software, then it will limit long time continuous emission.
- 5-10cm between month and microphone and speak at a normal voice level.
Receiving
- Adjust the volume levels by push or in Volume adjusted mode.
- set the squelch levels by push or in Squelch adjusted mode.
- When receiving a signal,”(BUSY” appears and audio is heard from the speaker.
- The transceiver has power save function, automatically activates when no signal is received for 5 seconds.
- Channel Group Selective
This transceiver is pre-programmed with USA, International, Canadian channels. Choose the appropriate channel groups for your operating area.
- Push [CH] to select a regular channel.
- If weather channel appears, press [CH] again.
- Hold down [CH] for 1.5 seconds, to select USA, International, Canadian channel group in sequence.
- Push [T]or [T]to select a channel.
“DUP” appears when a duplex channel is selected, “A” appears when a simplex channel is selected.
- Channel Selection
- Channel 16
Channel 16 is the distress and safety channel, it is used for establishing initial contact with a station and for emergency communications. Channel 16 is monitored during both dual watch and Tri-watch stand-by.
- Push [16/C] momentarily to select Channel 16.
- Push [CH] to return to the channel used before Channel 16, push [_.]or [_.]to select a channel.

Call Channel
Each regular channel group has separate leisure-use call channels. The call channel is monitored during Tri-watch. The call channel default as Channel 9 and can be reset.
- Push and hold [16/C] for 1.5 seconds to select the call channel of the selected channel group. “CALL” and call channel number displayed.
- Push [CH]to return to the channel used before call channel, or push [_.]or [_.]to select other channels.

Weather Channels
THIS RADIO has 10 pre-programmed weather channels. The equipment can detect a weather alarm tone in selected weather channels in receive and scan mode.
- Push [CH] to select weather channel and normal channel.
- Appears “WX” when weather channel selected.
- Appears “WX ALT” when turn on weather alert function.
- Push [T]or [T]to select channel.

Call Channel Programming
Call channel is default as Channel 9), you can program the call channel with you most often-used channel in each channel group for quick recall.
- Push [CH] to select a desired channel group to be programmed. (USA, International, Canadian)
- Hold [16/C] for 1.5secondsto select a call channel.
“CALL” and call channel number disappeared. - Hold [16/C] again for 3 seconds till it sounds “BEEP” tone and “DUDU” tone to enter call channel programming mode.
- Channel number blinks.

- Channel number blinks.
- Press [.&.]or [.&.]to select ddsired call channel.
- Push [16/C] to confirm and save it , Push [CH] to cancel and exit.

Monitor Function
The monitor function opens the squelch, monitor useful signal. Check details description for monitor key setting below.
- Push [MONI] to active monitor function.
- “(BUSY” will blinks and make a sound while monitor function activated.

Volume Mute Function
The volume mute function can be activated temporarily, when volume set as OF invalid.
- Hold [VOL/MUTE] key for 1.5 sec. until heard “Di Di” sound to active volume mute function.
- The volume adjusted to minimum-off.
- The volume level indicator starts blinking.
- Hold [VOL/MUTE]again to turn the volume mute function off.
Automatic Backlight
This function is convenient for night time operation. The automatic backlighting can be activated in set mode.
- Push any key except for [PTT] to turn the backlighting ON.
- The backlighting is automatically turned OFF after 5 sec. of inactivity.
Lock Function
This function electronically locks all keys (except for [PTT][ Tl[ T] [VOL/MUTE][ H/L/LCOK]to prevent accidental changing of the channel and function access.
- Push and hold [LOCK]for 1.5 seconds.to tum the function ON and OFF .

Vibration Water Draining Function
This transceiver uses a new technology to clear water away from the speaker grill: Vibration. Vibration helps drain water away from the speaker housing (water that might otherwise muffle the sound coming from the speaker). This transceiver emits a vibrating beep when this function is activated.
- Push and hold [SCAN]and [HI/LO]
- A low beep tone sounds for 9 seconds to drain water, regardless of volume level setting
- The transceiver does not perform key operations while the Vibration function is activated. The Vibration function can not be activated when an optional speaker-microphone is connected.
SCAN OPERATION
Scan Types
Scanning is an efficient way to locate signals quickly over a wide frequency range. The transceiver has priority scan and normal scan.
- Weather channels will be scanned also when weather alert function activated.
- Set TAG channels before scan. Cancel tag for channels not need
to be scanned. - Normal Scan
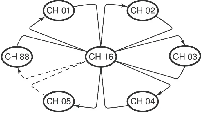
It searches through all TAG channels in sequence. However, unlike priority scan, Channel 16 is not checked unless channel 16 is set as a TAG channel. - Priority Scan
A priority scan sequentially searches through all TAG channels while monitoring Channel 16 when a signal is detected on Channel 16, the scan pauses until the signal disappears; when a signal is detected on a channel other than Channel 16, the scan switches to Dual-watch, until the signal disappears.
- Normal Scan

- Priority Scan
Set TAG Channels
For more efficient scanning, set the desired channels as TAG channels or clear the TAG setting from unwanted channels. Channels that are not tagged will be skipped during scanning.
Set /cancel single TAG channel
- Push [CH] to select desired channel group.
- Push [Tl or [Tl to select the desired channel to be set as a TAG Channel.
- Push and hold [FAV/TAG] for 1.5 seconds, to set the displayed channel as a TAG Channel.
- “TAG” appears in the function display.
- To cancel the TAG channel setting, push and hold [FAV/TAG] for 1.5seconds.
- ‘”TAG “disappears.
- Set/cancel all TAG channels
- While pushing and holding [FAV/TAG], press[ ~ ]ON to clear all TAG channels in the selected channel group.
- Repeat above procedure to set all channels as TAG channels.
- Scan Operation
Set scan resume timer in the set mode.
- Push [SCAN] to start normal scan or priority scan.
- “SCAN” Blinks. D
- “16” appears on the sub channel readout during a priority scan.
- When a signal is received, the scan pauses until the signal disappears, or resumes after pausing 5 seconds, depending on the set mode setting.
- 16 Channel is monitored during priority scan.
- Push [T ]or[ .&.] to sequentially select TAG channels, change the scanning direction or manually resume the scan.
- Push [SCAN] to stop the scan, or push [PTT],[16], [CH] or [FAV] also can stop the scan.
























































