
Operator’s Manual Fingertip Pulse Oximeter
The version number of this manual: V1.0
General Description
The measurement of oxygen saturation of arterial blood (also known as pulse oxygen saturation, usually shortened as SpO2) adopts the principles of light spectra and volume tracing. The LED emits lights with two specific wavelengths, which are selectively absorbed by oxygenated hemoglobin and deoxyhemoglobin. The optical receptor measures the changes in the light intensity after the light passes the capillary network and estimates the ratio of oxygenated hemoglobin and the total hemoglobin. SpO2 % oxygenated oxyhemoglobin hemoglobin deoxyhemoglobin 100% The mechanical activity of the heart causes arterial pulse, by measuring the pulse we can get PR value. The oximeter is standalone, reusable, and not reprocessed. The sensor of the oximeter is built-in.
Caution
- Federal Law restricts this device to sale by or on the order of a physician.
- Please read the user manual carefully prior to operating.
Precautions for use
- The patient is the operator when the device is used at home.
- Patients can maintain and use all functions of the device safely according to this user’s manual.
- Keep this product out of reach of children to avoid injury to children.
- Explosion hazard. Do not use the oximeter in the presence of flammable anesthetics mixture with air, oxygen, or hydrogen.
- When the oximeter is in use, there should not be any great power appliances as high voltage cables, X-ray machines, ultrasound equipment, and electrizer in use nearby.
- Keep the oximeter away from dust, lint, vibration, corrosive substances, explosive materials, high temperature, and moisture.
- This oximeter does not have an alarm function; please do not use this product in the environment where the alarm is required.
- The oximeter should be handled with care so as to avoid shocks and falls.
- When the oximeter is in use, it must be ensured the batteries have sufficient capacity; otherwise, there might be such phenomena as starting-up abnormalities or inaccurate measurement data, etc.
- Please do not use such pointed objects as pen points or nails for pressing operation, otherwise, it might cause permanent damage to the surface of the keyboard.
- Do not make any clinical judgments based solely on the oximeter.
- The oximeter is intended only as an adjunct in patient assessment.
- It must be used in conjunction with clinical signs and symptoms, as well as doctor’s diagnoses.
- To ensure accurate performance and prevent device failure, do not expose the oximeter to extreme moisture, such as direct exposure to rain.
- Such exposure may cause inaccurate performance or device failure.
- Do not conduct SpO2 measurement on the finger smeared with nail polish, otherwise, this will lead to unreliable measurement results.
- Please do not open the enclosure. The enclosure shall only be opened by the authorized person.
- In order to have more accurate measurements of SpO2 and PR, the oximeter should be used in a quiet and comfortable environment.
- Follow local ordinances and recycling instructions regarding disposal or recycling of the device and device components, including batteries.
- Prolonged continuous monitoring may increase the risk of unexpected changes in skin characteristics, such as irritation, reddening, blistering or burns.
- Inspect the sensor site every two hours and move the sensor if the skin quality changes.
- The pulse oximeter simulator can not be used to access the accuracy of the pulse oximeter.
- The expected service life of the device is five years.
- For assistance with installation, use or maintenance, contact the manufacturer or manufacturer’s representative.
- To validate the PR accuracy, we refer to the electronic pulse simulator the computation the PR accuracy.
- When used at room temperature from the lowest or highest storage temperature environment, the product can be used directly without needing to be placed for a period of time to achieve its expected function.
Intended Use
The Fingertip Pulse Oximeter is intended to measure functional arterial oxygen saturation (SpO2) and pulse rate of adult, pediatric and adolescent patients in hospital, hospital-type facilities, as well as in the home care environment.
The oximeter isn’t suitable to monitor patients continuously in long term.
Operation Instructions
- Install two AAA batteries into the battery cassette before closing its cover.
- Nip the oximeter, then insert one of your fingers into the rubber hole of the oximeter before releasing the oximeter, and your nail surface must be upward.

- Press the function button once on the front panel.
- Your finger and body do not tremble during the measuring.
- Read corresponding data on the display screen.

- Indication of pulse intensity
- Pulse rate reading
- SpO2 reading
- Indication of battery capacity
Battery Installations
- Push the battery cover horizontally along the arrow as below.
- Install the two AAA batteries into the battery cabin with incorrect polarities.
- Close the battery cover.

Notes:
- Please put or remove batteries in the right order, or it is likely to damage the device bracket
- Battery polarities must be correctly installed.
- Otherwise, the damage might be caused to the device.
- Please remove the battery if the oximeter will not be used for a long time.
Maintenance
- Disinfection: use a soft cloth dampened with 70% Isopropanol, lightly wipe the surfaces of the oximeter.
- The casing of the oximeter should be kept from the contamination of filth and dirt, and it can be wiped with a non-velvet soft cloth. When cleaning, do not spill the liquid onto the instrument. Ensure no liquid is allowed to enter the inside of the oximeter.
- It is forbidden to use such grinding materials as wire brushes or metal polishing agents, because these materials may cause damage to the panels of the oximeter.
- Please do not soak the oximeter in liquid
- Under normal circumstances, it is unnecessary for the oximeter to have special maintenance, and caution must be exercised on the following points during the use of the oximeter:
• Please use the oximeter in the environment according to the requirements of the performance criteria.
• Avoid exposure to direct sunlight.
• Avoid excessive radioactive infrared rays or ultraviolet rays.
• Avoid contact with organic solutions, dust, or corrosive gases.
Product Specifications
Measurement specifications
| Sp02 | |
| Measuring Range | 0-100% |
| Resolution | 1% |
| Accuracy | At 70%-100%, ±2%; At 0-69%, unspecified |
| Accuracy in the discrete Sp02 ranges | At 70%-80%, ±2%;At 80%-90%, ±2%; At 90%-100%, ±2% |
| Data update period | <13 s |
| PR | |
| Measuring Range | 25 bpm -250 bpm |
| Resolution | 1 bpm |
| Accuracy | ±1% or ± 1 bpm, whichever is greater |
| Data update period | < 13 s |
Battery specifications
| Type | Voltage |
| two AAA alkaline battery | 1.5 Volts DC (per battery) |
| The oximeter uses two 1.5 V AAA type batteries and a set of new batteries can be used for more than 18 hours, depending on concrete battery types. | |
Environmental specifications
Operation
| Temperature | +5°C —F40°C |
| Atmospheric Pressure | 700hPa1060hPa |
| Relative Humidity | 15%^-85% (non condensing ) |
Transport and Storage
| Temperature | -20℃ ~+55 ℃ |
| Atmospheric Pressure | 500hPa ~1060hPa |
| Relative Humidity | 10%~93% (non condensing ) |
Physical specifications
| Weight | about 21g (exclude battery) about 54g (include battery) |
| Dimensions | 60mm(length) × 35mm(width) ×30mm (height) |
Sensors specifications
| Wavelength | Pulse oximetry sensors contain LEDs that emit red light at a wavelength of approximately 660 nm and infrared light at a wavelength of approximately 905 nm. The total optical output power of the sensor LEDs is less than 15 mW. This information may be useful to clinicians, such as those performing photodynamic therapy. Note: Sensor LED light emissions fall within Class 1 level, according to IEC 60825-1. No special safety precautions are required. |
Possible Problems and Resolutions
| Problems | Possible causes | Solution |
| There is no response to the function button | The button can not be pressed to its position | Ensure that the button is fully depressed. |
| Battery capacities are low | The batteries may be missing, discharged, or oriented incorrectly. Replaced them with new ones. | |
| The Pulse search time is too long | Perfusion may be too low | Check the patient. Change the measuring site. Try another oximeter. |
| Patient movement | Interference due to patient activity may be preventing the oximeter from tracking the pulse. Keep the patient still, if possible. | |
| Electromagnetic interference may be preventing the oximeter from tracking the pulse. | Remove the source of interference. | |
| There may be interference due to ambient light, or the oximeter may be on an extremity with a blood pressure cuff, arterial catheter, or intravascular line. | Reposition oximeter, as necessary. | |
| Display is dark-or-bright | Battery capacities are low. | Replace the batteries. |
Symbols Definitions
| Symbol | Definition |
![]() | Type BF equipment (Refer to IEC 60601-1) |
| Sp02% | Oxygen saturation of arterial blood |
| ppm | Pulse rate |
| Non-Alarm indication (The device does not have alarm function) | |
| IP22 | Enclosure degree of ingress protection. |
| SN | Serial number |
| Refer to this user’s manual. | |
| The symbol for the marking of electrical and electronic devices according to Directive 2002/96/EC. The device, accessories, and packaging have to be disposed of waste correctly at the end of the usage. Please follow Local Ordinances or Regulations for disposal. Note: The Oximeter is applied to this regulation. |
Guidance and manufacture’s declaration – electromagnetic permissions-for all equipment and SYSTEMS
| Guidance and manufacture’s declaration — electromagnetic emission | ||
| The Fingertip Pulse Oximeter is intended for use in the electromagnetic environment specified below. The customer of the user of the Fingertip Pulse Oximeter should assure that it is used in such an environment. | ||
| Emission test | Compliance | Electromagnetic environment — guidance |
| RF emissions CISPR 11 | Group 1 | The Fingertip Pulse Oximeter uses RF energy only for its internal function. Therefore, its RF emissions are very low and are not likely to cause any interference in nearby electronic equipment. |
| RF emission CISPR 11 | Class B | The Fingertip Pulse Oximeter is suitable for use in all establishments, including domestic establishments and those directly connected to the public low-voltage power supply network that supplies buildings used for domestic purposes. |
Declaration: After the electromagnetic compatibility test, the essential performance of SpO2 and PR meet the requirements as follow:
a) SpO2: Accuracy at 70%~100% is ±2%, at 0~69% is unspecified. The measuring range is 0~100%.
b) PR: Accuracy is ±1% or ± 1 bpm, whichever is greater. The measuring range is 25bpm~250bpm.
Instructions on Environmental Aspects
Instructions for minimizing environmental impact during normal use.
- Instructions on how to install the fingertip pulse oximeter in order to minimize the ENVIRONMENTAL IMPACT during its EXPECTED SERVICE LIFE; Try to keep the integrity of the non-disposable packing material and put away the packing materials for future use or put into the specified location where complying with the rules and regulations of the local and the hospital. Avoid overusing the cleaning reagents and other substances.
- Instructions on how to use and maintain the fingertip pulse oximeter in order to minimize the ENVIRONMENTAL IMPACT during its EXPECTED SERVICE LIFE; Do not mix disinfecting solutions (such as bleach and ammonia) as this may result in hazardous or poisonous gases or liquids. When there is a need to maintain, please follow the instruction for use of following the rules and regulations of the hospital.
- Consumption during NORMAL USE (e.g. energy, consumable materials/parts, disposables, water, gasses, chemicals/reagents, etc.); During normal use of this device, it will consume electricity (battery). The batteries shall be disposed of following the rules. For cleaning or disinfection for the machine, water and ethanol will be used and the waste liquid shall be thrown following the rules.
- Emissions during NORMAL USE (e.g. WASTE water, WASTE consumable materials, acoustic, energy, heat, gasses, vapors, particulates, HAZARDOUS SUBSTANCES, and other WASTE); Consumption of the battery during use.
- Information on the location within the device of HAZARDOUS SUBSTANCES, radioactive sources, and induced radioactive materials.
This product has no hazardous substances, such as radioactive sources or induced radioactive materials.
Information for end-of-life management.
- The location of components and parts within the device that contains stored energy or pose other hazards that can result in an unacceptable risk to disassembles or others and methods for controlling such risks.
- The device uses an alkaline battery. May heat, explode or leak if shotted, recharged, disposed of in fire or dissected. The identity and location of hazardous substances require special handling and treatments. The battery is installed in the battery case.
- Disassembly instructions are sufficient for the safe removal of these hazardous substances including radioactive sources and induced radioactive materials within the monitor.
For other hazards that may result in unacceptable risk, the main concern is the handling of the battery. Do not store the battery in a high-temperature environment and store the battery in a cool, ventilated environment. As for disposing or recycling of the device and device components at end of life follow local ordinances and recycling instructions.
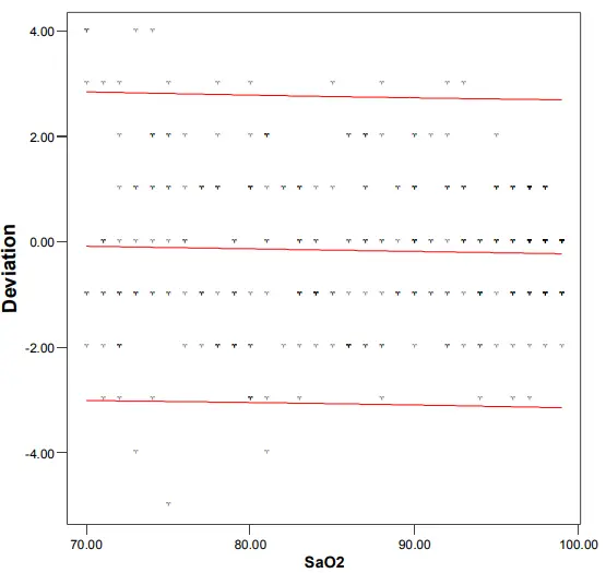
Clinical Trial Results
| 70-100 | 70-79 | 80-89 | 90-100 | ||
| Count | 325 | 83 | 87 | 155 | |
| Mean Bias | 0. | 0. | 0. | 0. | |
| Standard Deviation | 1. | 1.9140 | 2. | 1. | |
| Standard Error | 0.0819 | 0.2100 | 0.1753 | 0. | |
| 9500CI | Lower Bound | 0. | -1. | -1. | 0. |
| Upper Bound | –0.0080 | 0.3336 | 0.0610 | 0.0210 | |
| Minimum | 70.00 | 70 | 80 | 90 | |
| Maximum | 99.00 | 79 | 89 | 99 | |
| Arms | 1. | 2. | 1.6900 | 1. | |

Applicable Models
M70D
Packing List
| NO. | Item | Quantity | |
| 1 | Oximeter | 1 | |
| 2 | AAA BATTERY | 2 | |
| 3 | User’s manual | 1 |
GuangdongBiolightMeditech Co., Ltd.
No.2 Innovation First Road,
Technical Innovation Coast,
Hi-tech Zone Zhuhai PEOPLE’S REPUBLIC OF CHINA
ALL RIGHTS RESERVED
PN: 22-025-0041





















