COREMORROW S22 Piezo Tip-Tilt Platform

This document describes the following products:
- S22.U3S
- S22.U3K

DECLARATION
Thank you for choosing CoreMorrow’s products! This user manual is applicable to S22 series piezo fast steering mirror. For your smooth and correct use of this product, please read this manual carefully before use. Please follow the instructions in the manual installation and use procedures. Improper operation may cause injury to the operator or damage to the product. Therefore, the entire installation and operation process should be completed by a professional with a certain foundation and understanding of the product principle, or under the guidance of a professional. If the product is disassembled or modified without permission, our company will not be responsible for any consequences arising therefrom. It is illegal to change the product model and other false sales of our products. Users are advised to be vigilant. Once you find out or be deceived, contact us directly, we will crack down on illegal activities and prevent deception and economic losses. CoreMorrow will certainly investigate legal responsibility of the illegal subject and related parties. With the continuous development and innovation of technology, we will add the latest information to the manual as needed without notice. Please contact us if you need any information.
Introduction
Purpose and content
- The manual is mainly for your smooth and correct use of FSM.
- The manual contains all necessary information for S22 series.
- The manual describes the precautions during installation and use.
Symbol and meaning
- DANGER: Improper handling may could cause injury to the operator.
- Attention: Improper handling can cause damage to the equipment.
- No order between items.
- Please operating in order.
Expected reader
The manual default user has knowledge of piezo fast steering mirror and controllers, and has a basis for its installation and use.
Manual lost replacement
If the manual is accidentally lost, please contact our customer service department, we will send you the latest version of user manual.
Safety Guide
S22 piezo tip/tilt platform is designed with advanced technology and safety standards, for safety and proper use of the product, please pay attention to following points when using: Temperature changed and pressure will charge the piezo tip/tilt platform. It will remain charged for a period of time disconnected from the controller, so the operator should pay attention when using it: Do not disassemble S22 piezo tip/tilt platform. Discharge S22 piezo tip/tilt platform before installation, it could be achieved by connecting to the controller. Do not pull out the controller during operation. Before using, please check whether the connecting wire of the product is in good condition, whether the product and the controller are effectively protected from grounding, in case of danger, please strictly regulate the operation during operation, do not touch it (up to 150V voltage) after power on.
- In order to prevent damage to the product caused by improper operation, please pay attention to following points when using:
- S22 piezo tip/tilt platform is used as much as possible in dust-free, oil-free, lubricant-free environments.
- Since the product adopts flexible structure design, it is recommended that the load not exceed the bearing capacity of the product. Pay attention to the torque when loading. Do not twist or twist the load surface to avoid damage to the structure. Recommended voltage 0~120V for long-term operation to extend lifetime.
- Do not disassemble the product to avoid product damage.
- Avoid stretching and bending the cable interface to prevent damage to the cable. Please use the dedicated cable provided by us to connect S22 piezo tip/tilt platform and piezo controller.
- Please do not use cable extension wire, if need longer cable, please contact us.
Product Overview
Product Introduction
S22 series piezo tip/tilt platform has the following advantages:
High performance piezo stack:
S22 piezo tip/tilt platform is driven by high-performance piezo stack. It is fully insulated, so its performance and service life are far superior to those of conventional platform. The insulating layer could effectively prevent the piezo stack from being damaged by moisture. The stability of piezo stack could be ensured under extreme conditions. It has the characteristics of no rebound, no wear.
Flexible hinge structure:
S22 adopts flexible hinge mechanism, which has the advantages of no friction and high positioning accuracy. The flexible hinge is a component that is not affected by static and dynamic friction. It is based on the elastic deformation of solid (such as steel) and has no rolling and sliding parts. With high stiffness and load carrying capacity, the hinge guides are maintenance-free and wear-free. Suitable for a wide range of temperatures without the need for lubricants.
SGS sensor:
SGS sensor detects position information by expanding, they are fixed at appropriate positions in transmission portion, and the displacement is measured.
S22 series Piezo Tip/Tilt Platform is a one-dimensional θx axis deflection platform. The flexible hinge guiding design has zero friction and static resistance, excellent guiding precision, nano-radian resolution and excellent positioning stability. With a beam deflection range of up to 6mrad, it has an extremely fast response speed (milliseconds to microseconds) and is ideal for dynamic operation (eg tracking, scanning, drift and vibration cancellation) and positioning of optics and samples.
Driving Principle
S22 driving principle

The piezo tip/tilt mirror is designed based on a single piezoelectric ceramic structure, using piezoelectric ceramic, deflecting movement in a push-pull mode stroke, and using a bridge connection circuit control, which could eliminate the influence of temperature on the piezoelectric ceramic, under a wide range of temperature changes Maintain good angular stability.

X-axis tilt angle:

where LpzT – PZT travel range a Distance between PZT and rotation axis
Dynamic characteristics of piezo tip/tilt platform:
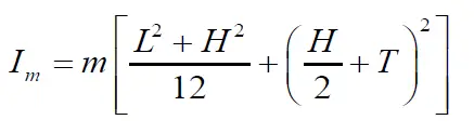
Operating frequency of S22 depends on the resonance frequency. In order to estimate the resonance frequency (moving surface and lens) after loading the lens, the rotational inertia of the lens must be taken into account. The rotational inertia of the lens is calculated as follows: Rotational inertia of cylindrical lens

Rotational inertia of rectangular section lens:

where,
- M – Mass of lens
- m Rotational inertia of lens
- H – Thickness of lens
- L- Lens length perpendicular to rotation axis
- T – Distance from rotation axis to platform surface
- R – Radius of lens
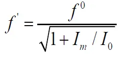
The overall resonance frequency can be calculated using the unload resonance frequency and the rotational inertia of the lens. The calculation formula is as follows
where,
- Overall resonance frequency
- Rotating inertia of unload moving surface
- Unload resonance frequency
- Rotational inertia of lens
Features
- θx tilt
- Tilt angle up to 4mrad
- Sub-ms response time
- High closed loop positioning accuracy
Moving direction
Operating environment
- Operating temperature: -20~80℃
- Environment free of dust, clean, and non-corrosive substances
- Relative humidity: <60%
- Recommended voltage between 0 and 120V for long-term and high-reliability operation.
Installation and operation
Installation and connection
Before installation, first check the safety, such as whether the cable is damaged or broken, and whether the power supply has grounding protection. S22 installation diagram is as follows:

- Clean the flat surface of the lens before pasting the lens, wait for a period of time after the lens is pasted, and then install it fixedly;

- Choose the mounting bracket or install the piezo tip/tilt platform through the transfer method. It is recommended to use M3 screws. Clean the mounting bracket before installation, or you can contact us to select the appropriate transfer method for installation.
- S22 is fixed on the installation plane or fixed on the installation plane through related tooling. Please note that if the related rotating mirror products need to be placed in other places (such as side, oblique, etc.), please contact us to consult.

- Connect the S22 cable to the controller.
Installation Precautions
- Be careful not to scratch the lens during the pasting and installation,
- Don’t drop the adhesive into the gap of rotation axis, so as not to affect the accuracy,
- Please select appropriate screws to fix the connection to prevent loose installation and falling off of piezo tip/tilt plaform, which may cause permanent damage. Pay attention to the standard operation during the entire installation and operation process, please carry out relevant operations under the guidance of professionals.
Load
When installing the load, ensure that the load mass is less than the max load of the S22, and install the load as much as possible at the center of the moving surface. The correct placement of the load is shown below:

For protection, we don’t recommend the load is too high. If it is used a higher load, please reduce the position center of the load gravity. The error placement method is as follows:

It is forbidden to load the load on one side of the piezo stage, which would cause serious damage to the product, as shown in the following figure:

Note:
- Slowly tighten the load when installing it, and the torque should not be too large to avoid damage to mechanism;
- Avoid stretching and bending cables;
- Please connect S22 piezo tip/tilt platform and controller with special cable provided by CoreMorrow;
- Please do not extend the cable without authorization, please contact us if you need a longer cable.
Operating
Please confirm the following information before starting the power supply:
- S22 piezo tip/tilt platform has been grounded;
- The environment meets requirements of S22 working environment;
- The fixing screws must be tightened;
The above information is determined to perform controller related operations:
- Please carefully read piezo controller user manual before operating, then start the controller;
- Set the piezo controller to zero;
- After checking for no abnormalities, input voltage values according to requirements (keyboard or analog control);
- It could work normally within the rated voltage range of piezo ceramic (0~120V, max not exceeding 150V);
- Please set the piezo controller to zero after used. Please do not touch the product during the operation, avoid affecting the piezo tip/tilt platform performance or even damage the piezo tip/tilt platform. The resolution of piezo ceramic is not limited. It depends on the performance of piezo controller. In order to better achieve the motion accuracy, it is recommended to use CoreMorrow piezo controller. For the operation of piezo controller, please refer to piezo controller usual manual
Note:
- Please do not remove the grounding protection during operation. If it needs to be temporarily removed, reconnect the grounding protection before starting again.
- Drive voltage should not exceed 150V;
- If abnormal noise or oscillation occurs during operating, immediately turn off the power check parameter setting.
Transportation and inspection
Transportation
Piezo stage is packed in carton. The transportation is carried out under the condition of packaging. This product can be transported by various means of transportation under normal conditions. During transportation, it should avoid direct rain and snow, avoid contact with corrosive substances, and avoid strong collision, try to avoid improper behavior such as squeezing, irregular placement.
Unpacking inspection
Please check below information:
- Before opening the package, please carefully check the packaging for damage, bruising, wetting, moisture, deformation, etc.;
- Please check the parts on a case-by-case basis based on the supply contract and the packing list;
- Whether there is obvious damage on the surface of the product;
- Whether the product identification is clear and complete;
- Whether the connector is loose, the connection line is broken or not, etc.;
If any of the above occurs, please make a detailed record and take a photo, and please contact us immediately.
Precautions:
- Please handle gently when unpacking to avoid permanent damage to the stage caused by bumps;
- Please do not use heavy tools or use rough methods to open them;;
- Please do not discard all packaging materials for return shipments.
Maintenance and processing
Problem Processing
Common problems are shown in the following table:
| Problem Description | Possible reasons | Solutions |
|
No displacement or displacement becomes smaller | The cable is not connected correctly or is in faulty contact. | Check the cable connection |
| Excessive load | Loaded by product max load | |
| Sensor zero drift | Calibrate the sensor | |
|
Reduced accuracy | The installation base is uneven | Mount the stage on flat surface |
| Loose connection | Fastening connection | |
| Wiring is wrong | Check the wiring is correct | |
| Vibration or inaccurate positioning at start-up | The parameters are incorrect. | Stop immediately, check the parameter settings |
| Resonance | operating frequency less than the resonant frequency |
If the user has problems that could not be solved. Please record the fault situation and contact with us. The professional technical engineer would help solve the problem. Problems caused by improper operation are not covered by the warranty; CoreMorrow is not responsible for any problems caused by dismantling the peizo stage without permission
Daily maintenance
If the piezo stage is not used for a long time, please store it in an room environment with no dust, good ventilation, clean and non-corrosive substances. Please do not loosen the screws on the stage structure, avoiding to affect the accuracy of the stage.
Daily cleaning:
Please disconnect the piezo stage to controller, then clean the surface of it. When cleaning, first wipe a small amount of detergent with a towel and gently wipe the surface of the piezo stage, then wash it with alcohol. Please do not use ultrasonic waves for cleaning. When cleaning the surface, try not to pick up the product. If it is necessary to pick up, please place a sponge under the piezo stage for protection, the piezo stage should not be too high from the sponge to prevent the piezo stage from falling off
Connector
Driving and Sensor cable
Driving cable interface is 1-contact LEMO, model number is LEMO ERA.00.250.CTL, as shown below:

Sensor cable interface is 4-contacts LEMO, model number is LEMO ERA.0S.304.CLL, as shown below:

LEMO Sensors Connector

Customer Service
If you have questions about the products you are currently using, please let us know the following information:
- Product model and relevant number
- The controller model
- Software driver version
- Computer operating system that installs supporting software
Contact us
Harbin Core Tomorrow Science & Technology Co., Ltd.
- Tel: +86-451-86268790
- Email: [email protected]
- Website: www.coremorrow.com
- Address: Building I2, No.191 Xuefu Road, Nangang District, Harbin, HLJ, China
CoreMorrow Official and CTO WeChat are below:

Operating environment


















