REACTHEALTH PO2BLK Pulse Oximeter Oxygen Saturation Heart Rate Pocket

Instructions to User
The information contained in this document is subject to change without notice. The Manual describes, in accordance with the Pulse Oximeter’s features and requirements, main structure, functions, specifications, correct methods for transportation, installation, usage, operation, repair, maintenance and storage, etc. as well as the safety procedures to protect both the user and equipment. Refer to the respective chapters for details. Please read the User Manual carefully before using this product. Follow directions carefully for proper use. Manufacturer is not responsible for any issues caused by improper use of the device. This product can be used repeatedly and has an estimated operating life of 3 years. If you have any questions or problems with use of this device, please visit us at www.3Bproducts.com and navigate to our Support tab for contact options, including submission of an online support ticket.
WARNING:
- Uncomfortable or painful feeling may develop with continuous use. It is recommended that the sensor should not be applied to the same finger for over 2 hours.
- The device can not be clipped on fingers with edema or tender tissue.
- The light (the infrared is invisible) emitted from the device is harmful to the eyes, so keep away from eyes.
- User cannot use nail polish or artificial nails. As it may cause false readings.
- Long nails may impede proper readings.
- Please refer to the correlative literature about the clinical restrictions and cautions.
- This device is not intended for treatment.
- The User Manual is published by 3B™ Medical, Inc.. All rights reserved.
Safety
Instructions for Safe Operations
- Check the main unit and all accessories periodically to make sure that there is no visible damage that may affect user’s safety and monitoring performance including cables and transducers. It is recommended that the device should be inspected once a week. When there is obvious damage, stop using the oximeter .
- Necessary maintenance must be performed by qualified engineers ONLY. Users are not permitted to service it by themselves.
- The oximeter cannot be used together with devices not specified in User’s Manual. Only the accessories recommended by manufacture can be used with this device.
- This product is calibrated before leaving factory.
Warnings
- Explosive hazard—DO NOT use the oximeter in environment with inflammable gas such as some ignitable anesthetic agents.
- This device contains rubber.
- The disposal of scrap instrument and its accessories and packings (including battery, plastic bags, foams and paper boxes) should follow the local laws and regulations.
- Please check the packing before use to make sure the device and accessories are in accordance with the packing list.
- Do not service while patient is wearing the pulse oximeter.
- No modification of this equipment is allowed.
- The user is an intended operator.
- The probe of the device is the applied part.
Attention
- Keep the oximeter away from dust, vibration, corrosive substances, explosive materials, high temperature and moisture.
- If the oximeter gets wet, please do not use.
- Allow pulse oximeter to reach room temperature if it has been stored n a hot or cold environment.
- DO NOT operate keys on front panel with sharp materials.
- High temperature or high pressure steam disinfection of the oximeter is not permitted. Refer to User Manual in the relative chapter for instructions on cleaning and disinfection.
- Do not immerse oximeter in water or other cleaning fluids. Device may be cleaned with an alcohol wipe and a soft cloth.
- When cleaning the device with water, the temperature should be lower than 60˚C.
- Very thin or cold fingers may not provide accurate readings.
- Do not use the device on infant or neonatal users.
- The product is suitable for adults over 40kg.
- The device may not work for all users. If you are unable to achieve stable readings, discontinue use.
- The update period of data is less than 5 seconds, which is changeable according to different individual pulse rate.
- If some abnormal conditions appear on the screen during test process, pull out the finger and reinsert to restore normal use.
- The lanyard attached the product is made from hypo-allergenic material, if particular group are sensitive to the lanyard, stop using it. In
addition, pay attention to the use of the hanging rope , do not wear it around the neck to avoid the risk of strangulation. - The instrument dose not have low-voltage alarm function, it only shows the low-voltage, please change the battery when the icon shows on the screen.
- This pulse oximeter does not have audible alarms.
- Batteries must be removed if the device is going to be stored for more than one month.
- A flexible circuit connects the two parts of the device. Do not twist or pull on the connection.
Indication for Use
- The Pulse Oximeter is a non-invasive device intended for the spot-check of saturation of arterial hemoglobin(SpO2) and the pulse rate of adult in home use environments.
- This device is not intended for continuous monitoring. The device can be multi-used. Intended to monitor heart rate during exercise.
Overview
- The pulse oxygen saturation is the percentage of HbO2 in the total Hb in the blood, the O2 concentration in the blood. It is an important bio-parameter to monitor for respiratory function. This device will simultaneously measure the oxygen saturation of the blood and the pulse rate.
- The Pulse Oximeter features low power consumption, portability and ease of use. Diagnosis of low SpO2 is as simple as placing the device on your finger.
Features
- Operation of the product is simple and convenient.
- The product is small and lightweight.
- Power consumption of the product is low and the two originally equipped AAA batteries can be operated continuously for 24 hours.
- The product will automatically be powered off when no signal, within 5 seconds.
- Low-battery indicator displays as a flashing batery indicator.
Major Applications and Scope of Application
- The Pulse Oximeter can be used in measuring pulse oxygen saturation and pulse rate through finger. The product is suitable for family use(It can be used before or after doing sports, and it is not recommended to use the device during the process of doing sports).
- This product is not intended to diagnose or treat carbon monoxide patients.
Environment Requirements
- Storage Environment
- a) Temperature: -40˚C~+60˚C
- b) Relative humidity: ≤95%
- c) Atmospheric pressure: 500hPa~1060hPa
Operating Environment
- a) Temperature: 10˚C~40˚C
b) Relative Humidity: ≤75%
c) Atmospheric pressure: 700hPa~1060hPa
Principle and Caution
Principle of Measurement
- The principle of the Oximeter is as follows: An experience formula of data process is established taking use of Lambert-Beer Law according to Spectrum Absorption Characteristics of Reductive Hemoglobin (Hb) and Oxyhemoglobin (HbO2) in glow & near-infrared zones. The operation principle of the instrument is: Photoelectric Oxyhemoglobin Inspection Technology is adopted in accordance with Capacity Pulse Scanning & Recording Technology so that two beams of different wavelengths of light can be focused onto a human nail tip through a perspective clamp finger-type sensor. Then measured signal can be obtained by a photosensitive element, information acquired through which will be shown on screen through treatment in electronic circuits and microprocessors.

Caution
- The finger should be placed properly (see the attached illustration of this manual, Figure 7), or else it may cause inaccurate measurement.
- The SpO2 sensor and photoelectric receiving tube should be arranged in a way with the subject’s arteriole in a position there between.
- The SpO2 sensor should not be used at a location or limb tied with arterial canal or blood pressure cuff or receiving intravenous injection.
- Make sure the optical path is free from any optical obstacles like fabric or artificial nails.
- Excessive ambient light may affect the measuring result. This includes fluorescent lamp, dual ruby light, infrared heater, direct sunlight and etc.
- Strenuous action of the subject or extreme electrosurgical interference may also affect the accuracy.
- User can not use enamel or artificial nails.
Clinical Restrictions
- As the measure is taken on the basis of arteriole pulse, substantial pulsating blood flow of subject is required. For a subject with weak pulse due to
shock, low ambient/body temperature, major bleeding, or use of vascular contracting drug, the SpO2 waveform (PLETH) will decrease. In this case, the
measurement will be more sensitive to interference. - For those with a substantial amount of staining dilution drug (such as methylene blue, indigo green and acid indigo blue), or carbon monoxide
hemoglobin (COHb), or methionine (Me+Hb) or thiosalicylic hemoglobin, and some with icterus problem, the SpO2 determination by this monitor may be
inaccurate. - The drugs like dopamine, procaine, prilocaine, lidocaine and butacaine may also be a major factor blamed for serious error of SpO2 measure.
- As the SpO2 value serves as a reference value for judgement of anemic anoxia and toxic anoxia, some users with serious anemia may also report good
SpO2 measurement.
Technical Specifications
- 1) Display Format: Digital tube Display;
- SpO2 Measuring Range: 0% – 100%;
- Pulse Rate Measuring Range: 30 bpm – 250 bpm;
- Pulse Intensity Display: columniation display
- Power Requirements: 2 ×1.5V AAA alkaline battery, adaptable range: 2.6V-3.6V.
- Power Consumption: Smaller than 25 mA.
- Resolution: 1% for SpO2 and 1 bpm for Pulse Rate.
- Measurement Accuracy: ±2% in stage of 70%-100% SpO2, and meaningless when stage being smaller than 70%. ±2 bpm or±2% (select larger) for Pulse Rate. Clinical Trial: SpO2 regression plot & Bland–Altman plot, Refer to Figure 2 & Figure 3.
- Measurement Performance in Weak Filling Condition: SpO2 and pulse rate can be shown correctly when the pulse-filling ratio is 0.4%. SpO2 error is
±4%, pulse rate error is ±2 bpm or ±2% (select larger). - Resistance to surrounding light: The deviation between the value measured in the condition of man-made light, indoor natural light, and that of
darkroom is less than ±1%. - It is equipped with a switch function. The Oximeter can be powered off when the finger is off the oximeter within 5 seconds.
- Optical Sensor
- Red light (wavelength is 660nm, 6.65mW)
- Infrared (wavelength is 880nm, 6.75mW)

Accessories
- Lanyard
- Carry Case
- Two batteries
- Silicone Cover
Installation
- View of the Front Panel

Battery
- Step 1. Refer to Figure 5. and insert the two AAA size batteries properly in the right direction.
- Step 2. Replace the battery cover. Please take care when you insert the batteries for the improper insertion may damage the device. ! Please take care when you insert the batteries for the improper insertion may damage the device.
Mounting the Lanyard
- Step 1. Put the end of the rope through the hole.
- Step 2. Put another end of the rope through the first one and then tighten it.

Operating Guide
- Insert the two batteries and replace the cover.
- Open the clip as shown in Figure 7.
- Insert the user’s finger between the rubber cushions (make sure the finger is in the right position), and then clip the finger.
- Press the switch button once on front panel.
- Ensure the user is still, without excessive hand movements.
- The users pulse rate and SpO2 will display on screen.
- Press the button to reset the device. ! Fingernails and the luminescent tube should be on the same side.
Repairing and Maintenance
- Please change the batteries when the low-voltage displayed on the screen.
- Surface clean your device with an alcohol wipe and a soft cloth before using.
- To avoid cross contamination, wipe with alcohol between use.
- Please remove the batteries if the oximeter is not in use for a long time.
- The packed device can be transported by ordinary conveyance or according to transport contract.
- The device can not be transported mixed with toxic, harmful, corrosive material.
- The best storage environment of the device is – 40ºC to 60ºC ambient temperature and not higher than 95% relative humidity.
High-pressure sterilization cannot be used on the device.
- Do not immerse the device in liquid.
- It is recommended that the device should be kept in a dry environment. Humidity may reduce the useful life of the device, or even damage it.
Troubleshooting
| Trouble | Possible Reason | Solution |
| The SpO2 and Pulse Rate can not be displayed normally | 1. The finger is not properly positioned. 2. The user’s SpO2 is too low to be detected. | 1. Place the finger properly and try again. 2. Try again; Go to a hospital for a diagnosis if you are sure the device works all right. |
| The SpO2 and Pulse Rate are not displayed stably | 1. The finger is not placed inside deep enough. 2. The finger is shaking or the user is moving. | 1. Place the finger properly and try again. 2. Insure user is still with minimal movement. |
| The device can not be turned on | 1. The batteries are drained or almost drained. 2. The batteries are not inserted properly. 3. Device malfunction. | 1. Change batteries. 2. Reinstall batteries. 3. Please contact the local service center. |
| The display is off suddenly | 1. The device will power off automatically when it gets no signal within 5 seconds. 2. The batteries are almost drained. | 1. Normal. 2. Change batteries. |
Key of Symbols
Function Specification
| Display Information | Display Mode |
| The Pulse Oxygen Saturation(SpO2) | Digital |
| Pulse Rate (BPM) | Digital |
| Pulse Intensity (bar-graph) | Digital bar-graph display |
| SpO2 Parameter Specification | |
| Measuring range | 0%~100%, (the resolution is 1%). |
| Accuracy | 70%~100%: ±2%, Below 70% unspecified |
| Optical Sensor | Red light (wavelength is 660nm) Infrared (wavelength is 880nm) |
| Pulse Parameter Specification | |
| Measuring range | 30bpm~250bpm (the resolution is 1 bpm) |
| Accuracy | ±2bpm or ±2% select larger |
| Pulse Intensity | |
| Range | Continuous bar-graph display, the higher display indicate the stronger pulse. |
| Battery Requirement | |
| 1.5V (AAA size) alkaline batteries × 2 or rechargeable battery | |
| Battery Useful Life | |
| Two batteries can work continually for 24 hours | |
| Dimensions and Weight | |
| Dimensions | 57(L) × 31(W) × 32(H) mm |
| Weight | About 50g (with the batteries) |
- Appendix: Electromagnetism Compatibility Guidance and manufacture’s declaration – electromagnetic emissionsfor all EQUIPMENT and SYSTEMS
- Guidance and Manufacture’s Declaration – Electromagnetic Emission
- The PO2BLU/PO2BLK is intended for use in the electromagnetic environment specified below.
- The customer of the user of the PO2BLU/PO2BLK should assure that it is used in such and environment.
| Emission test | Compliance | Electromagnetic environment – guidance |
| RF emissions CISPR 11 | Group 1 | The PO2BLU/PO2BLK uses RF energy only for its internal function. Therefore, its RF emissions are very low and are not likely to cause any interference in nearby electronic equipment. |
| RF emission CISPR 11 | Class B | The PO2BLU/PO2BLK is suitable for use in all establishments, including domestic establishments and those directly connected to the public low-voltage power supply network that supplies buildings used for domestic purposes. |
| Harmonic emissions IEC 61000-3-2 | N/A | |
| Voltage fluctuations/ flicker emissions IEC 61000-3-3 | N/A |
- Guidance and manufacture’s declaration – electromagnetic immunity for all EQUIPMENT and SYSTEMS
- Guidance and Manufacture’s Declaration – Electromagnetic Immunity
- The PO2BLU/PO2BLK is intended for use in the electromagnetic environment specified below.
- The customer or the user of PO2BLU/PO2BLK should assure that it is used in such an environment.
| Immunity test | IEC 60601 test level | Compliance level | Electromagnetic environment – guidance |
| Electrostatic discharge (ESD) IEC 61000-4-2 | ±6 kV contact ±8 kV air | ±6 KV contact ±8 kV air | Floors should be wood, concrete or ceramic tile. If floor are covered with synthetic material, the relative humidity should be at least 30% |
| Electrical fast transient/burst IEC 61000-4-4 | ±2 kV for power supply lines | N/A | Mains power quality should be that of a typical commercial or hospital environment. |
| Surge IEC 61000-4-5 | ±1 kV differential mode | N/A | Mains power quality should be that of a typical commercial or hospital environment. |
| <5% UT | |||
| (>95% dip in UT) | |||
| for 0.5 cycle | |||
| Voltage dips, short interruptions and voltage variations on power supply input lines IEC 61000-4-11 | 40% UT (60% dip in UT) for 5 cycles 70% UT (30% dip in UT) for 25 cycles |
N/A | Mains power quality should be that of a typical commercial or hospital environment. If the user of the PO2PNK/ PO2BLK requires continued operation during power mains interruptions, it is recommended that the PO2PNK/PO2BLK be powered from an uninterruptible power supply or a battery. |
| <5% UT | |||
| (>95% dip in UT) | |||
| for 5 sec | |||
| Power frequency (50/60Hz) Magnetic field IEC-61000-4-8 |
3 A/m |
3 A/m | Power frequency magnetic fields sould be at levels characteristic of a typical location in a typical commercial or hospital environment. |
- NOTE UT is the a.c. mains voltage prior to application of the test level.
- Guidance and Manufacture’s Declaration – Electromagnetic Immunity for EQUIPMENT and SYSTEMS that are not LIFE-SUPPORTING
- Guidance and manufacture’s declaration – electromagnetic immunity
- The PO2BLU/PO2BLK is intended for use in the electromagnetic environment specified below.
- The customer or the user of PO2BLU/PO2BLK should assure that it is used in such an environment.
| Immunity test | IEC 60601 test level | Compliance level | Electromagnetic environment – guidance |
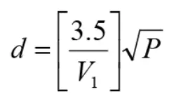
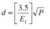
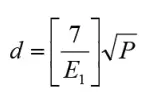
| Radiated RF IEC 61000-4-3 | 3 V/m 80 MHz to 2.5 GHz | 3 V/m | Portable and mobile RF communications equipment should be used no closer to any part of the PO2PNK/PO2BLK, including cables, than the recommended separation distance calculated from the equation applicable to the frequency of the transmitter.![]() Recommended separation distance
Where P is the maximum output power rating of the transmitter in watts (W) according to the transmitter manufacturer and d is the recommended separation distance in metres (m). Field strengths from fixed RF transmitters, as determined by an electromagnetic site survey,a should be less than the compliance level in each frequency range.b Interference may occur in the vicinity of equipment marked with the following symbol
|
| NOTE 1 At 80 MHz and 800 MHz, the higher frequency range applies. NOTE 2 These guidelines may not apply in all situations. Electromagnetic propagation is affected by absorption and reflection from structures, objects and people. | |||
| Field strengths from fixed transmitters, such as base stations for radio (cellular/cordless) telephones and land mobile radios, amateur radio, AM and FM radio broadcasts and TV broadcasts cannot be predicted theoretically with accuracy. To assess the electromagnetic environment due to fixed RF transmitters, an electromagnetic site survey should be considered. If the measured field strength in the location in which the PO2BLU/PO2BLK is used exceeds the applicable RF compliance level above, the PO2BLU/PO2BLK should be observed to verify normal operation. If abnormal performance is observed, additional measures may be necessary, such as reorienting or relocating the PO2BLU/PO2BLK . b Over the frequency range 150 kHz to 80 MHz, field strengths should be less than 3 V/m. | |||
- Recommended Separation Distances between
- portable and mobile RF communications equipment and the PO2PNK/PO2BLK
- The PO2BLU/PO2BLK is intended for use in an electromagnetic environment in which radiated RF disturbances are controlled. The customer or the user of the PO2BLU/PO2BLK can help prevent electromagnetic interference by maintaining a minimum distance between portable and mobile RF communications equipment (transmitters) and the PO2BLU/PO2BLK as recommended below, according to the maximum output power of the communications equipment.
| Rated maximum output power of the transmitter (W) | Separation distance according to the frequency of the transmitter (m) | ||
| 150 kHz to 80 MHz
| 80 MHz to 800 MHz
| 800 MHz to 2.5 GHz
| |
| 0.01 | 0.12 | 0.12 | 0.23 |
| 0.1 | 0.39 | 0.37 | 0.74 |
| 1 | 1.17 | 1.17 | 2.33 |
| 10 | 3.69 | 3.69 | 7.38 |
| 100 | 11.67 | 11.67 | 23.33 |
| For transmitters rated at a maximum output power not listed above, the recommended separation distance d in metres (m) can be estimated using the equation applicable to the frequency of the transmitter, where P is the maximum output power rating of the transmitter in watts (W) according to the transmitter manufacturer.
NOTE 1 At 80 MHz and 800 MHz, the separation distance for the higher frequency range applies. NOTE 2 These guidelines may not apply in all situations. Electromagnetic propagation is affected by absorption and reflection from structures, objects and people. | |||
- Sarasota, FL 34243
- [email protected]
- www.Reacthealth.com





























