WATTS MasterSeries LF880V-FS Integrated Flood Sensor

INTRODUCTION
FEBCO® MasterSeries® LF880V-FS Reduced Pressure Zone Assembly is specifically designed to protect against possible backpressure and backsiphonage conditions for high hazard (that is, toxic) application in accordance with Local Governing Water Utility Code. This backflow preventer is primarily used on potable drinking water systems where Local Governing Code mandates protection from non-potable quality water being pumped or siphoned back into the potable water system.
The ductile iron body is fused with ArmorTek™ technology to resist corrosion due to microbial-induced corrosion (MIC) or exposed metal substrate. The series features Lead Free construction to comply with low lead installation requirements. The Lead Free Reduced Pressure Zone Assemblies shall comply with state codes and standards, where applicable, requiring reduced lead content.
The series includes an integrated flood sensor to detect excessive water discharges from the relief valve. When activated through an add-on sensor connection kit, the flood sensor relays a signal that triggers a multichannel alert (call, email, text) to notify personnel about potential flooding. The add-on sensor connection kit is available for both building management systems, or BMS, and cellular communication. (For more information, refer to Installation, Maintenance, and Repair Manual, Series LF880V-FS and LF886V-FS.)
Features
- Stainless steel relief valve seat and stainless steel check components for maximum performance and durability
- Inline serviceable assembly
- Horizontal N-pattern or vertical up Z-pattern installation
- No special tools required for servicing
- Captured modular spring assembly
- Reversible and replaceable discs
- Field replaceable seats
- Ductile iron valve body design
- Utilizes advanced ArmorTek™ coating technology to resist corrosion of internal components
- Modular and repairable pressure differential relief valve
- Clapper check assembly
- Captured O-ring design
- Integrated sensor for flood detection, activated by add-on connection kit
NOTICE
Use of the integrated flood sensor does not replicate the need to comply with all required instructions, codes, and regulations related to installation, operation, and maintenance of this product, including the need to provide proper drainage in the event of a discharge.
Watts® is not responsible for the failure of alerts due to connectivity or power issues.
NOTICE
The information contained herein is not intended to replace the full product installation and safety information available or the experience of a trained product installer. You are required to thoroughly read all installation instructions and product safety information before beginning the installation of this product. Inquire with governing authorities for local installation requirements.
Specification
FEBCO MasterSeries LF880V Reduced Pressure Zone Assembly shall be installed on the potable water supply and at each point of cross-connection to protect against possible backpressure and back siphonage conditions for high hazard (that is, toxic) applications. The assembly shall consist of a main line valve body composed of a pressure differential relief valve located in a zone between two (2) independently acting approved clapper-style check modules with replaceable seats and disc rubbers. Servicing of the pressure differential relief valve and both check modules does not require any special tools; both check modules are accessed through independent top entry covers. This assembly shall be fitted with AWWA Compliant inlet/outlet resilient seated shutoff valves; when used on a Fire-Sprinkler application, the assembly shall be fitted with UL Classified and FM Approved inlet/outlet resilient seated shutoff valves and contain four (4) properly located resilient seated test cocks as specified by AWWA Standard C511. The valve body shall utilize a coating system with built-in electrochemical corrosion inhibitors and microbial inhibitors. Flow and pressure loss performance parameters shall meet the requirements of AWWA Standard C511.
Model Suffix
FS Integrated sensor for flood detection
OSY UL Classified and FM Approved OS&Y gate valves (ANSI/ AWWA C515 Compliant)
NRS Non-rising stem gate valves (ANSI/AWWA C509 Compliant)
LG Less shutoff valves (This is NOT an APPROVED ASSEMBLY)
Example Ordering Description
4″ LF880V-FS-OSY – Valve assembly fitted with flood sensor and OS&Y shutoff valves
Available Components
- Wye Strainer FDA Approved (ASME B16.1 Class 125 & AWWA Class D Flange)
- Series 611 Valve Setter
- MJ x MJ – Mechanical Joint x Mechanical Joint ( AWWA C111/A21.11)
- MJ x FL – Mechanical Joint x Flange (AWWA C111/A21.11; ASME B16.1 Class 125/AWWA Class D Flange)
- FL x FL – Flange x Flange (ASME B16.1 Class 125 & AWWA Class D Flange) **
Approvals – Standards
- Approved by the Foundation for Cross-Connection Control and Hydraulic Research at The University of Southern California (FCCCHR-USC)
- ASSE 1013 Listed
- UL Classified** (US & Canada)
- FM Approved**
- IAPMO/cUPC
- AWWA Standard C511 Compliant
- End Connections: Compliant to ASME B16.1 Class 125 & AWWA Class D Flange
Assembly Flow Orientation
Horizontal (N-Pattern 21⁄2″ – 10″) – Approved by FCCCHR-USC, ASSE, cULus, FM, IAPMO/cUPC
Vertical Up (Z-Pattern 21⁄2″ – 10″) – Approved by FCCCHR-USC, ASSE, cULus, FM, IAPMO/cUPC
Materials
All assemblies (sizes 21⁄2″ to 10″) are similar in materials and construction. Contact your local FEBCO representative if you require further information.
- Main Valve Body Ductile iron Grade 65-45-12
- Relief Valve Body Ductile iron Grade 65-45-12
- Coating Fusion epoxy coated internal and external AWWA C550-90
- Shutoff Valves
- NRS resilient wedge gate valve AWWA C509 (Standard)
- OSY resilient wedge gate valve AWWA C515 (UL Classified and FM Approved)
- Check Seats Stainless steel
- Relief Valve Seat Stainless steel
- Disc Holder Stainless steel
- Elastomer Disc Silicone
- Spring Stainless steel
- Clamp AWWA C606
Pressure – Temperature
- Max. Working Pressure 175 psi (12.1 bar)
- Min. Working Pressure 20 psi (1.4 bar)
- Hydrostatic Test Pressure 350 psi (24.1 bar)
- Hydrostatic Safety Pressure 700 psi (48.3 bar)
- Temperature Range 33°F – 140°F (0.5°C- 60°C) continuous

Dimensions & Weights
Below are the nominal dimensions and physical weights for Model LF880V, sizes 21⁄2″ to 10″. Allowances must be made for normal manufacturing tolerances. Download installation instructions at watts.com, or contact your local FEBCO representative for more information.

| SIZE DIMENSIONS WEIGHT*** | ||||||||||||||||||||||||||||||||||||
| in. | in. | A | mm | in. | B | mm | in. | C | mm | in. | D | mm | in. | E | mm | in. | F | mm | in. | G | mm | in. | H | mm | in. | I | mm | in. | J | mm | in. | K* | mm | L** in. mm | NRS lb kg | OSY lb kg |
| 21⁄2 | 251⁄2 | 654 | 121⁄2 | 318 | 61⁄4 | 159 | 241⁄4 | 616 | 165⁄8 | 422 | 135⁄8 | 346 | 271⁄4 | 692 | 51⁄2 | 140 | 71⁄4 | 184 | 31⁄2 | 89 | 125⁄8 | 321 | 163⁄8 416 | 221 100 | 225 102 | |||||||||||
| 3 | 253⁄4 | 654 | 121⁄2 | 318 | 61⁄4 | 159 | 241⁄4 | 629 | 165⁄8 | 422 | 141⁄8 | 359 | 281⁄4 | 718 | 51⁄2 | 140 | 71⁄4 | 184 | 33⁄4 | 95 | 127⁄8 | 327 | 221⁄4 565 | 247 112 | 251 114 | |||||||||||
| 4 | 277⁄8 | 708 | 14 | 356 | 7 | 178 | 263⁄4 | 680 | 173⁄4 | 451 | 151⁄2 | 394 | 31 | 787 | 6 | 152 | 71⁄4 | 184 | 41⁄2 | 114 | 143⁄8 | 365 | 231⁄4 591 | 344 156 | 356 162 | |||||||||||
| 6 | 321⁄4 | 819 | 16 | 406 | 8 | 203 | 321⁄4 | 819 | 215⁄8 | 548 | 185⁄8 | 473 | 371⁄4 | 946 | 71⁄2 | 191 | 91⁄2 | 241 | 51⁄2 | 140 | 187⁄8 | 479 | 301⁄8 765 | 517 235 | 537 244 | |||||||||||
| 8 | 371⁄2 | 953 | 181⁄2 | 470 | 91⁄4 | 235 | 363⁄8 | 324 | 247⁄8 | 632 | 203⁄4 | 527 | 411⁄2 | 1054 | 83⁄4 | 222 | 101⁄4 | 260 | 63⁄4 | 172 | 231⁄2 | 597 | 373⁄4 959 | 808 366 | 836 379 | |||||||||||
| 10 | 421⁄16 | 1068 | 21 | 533 | 107⁄16 | 264 | 405⁄8 | 1032 | 271⁄2 | 699 | 2311⁄16 | 601 | 475⁄16 | 1202 | 93⁄8 | 238 | 1111⁄16 | 298 | 8 | 203 | 271⁄2 | 699 | 453⁄4 1162 | – – | 1344 610 | |||||||||||
- Indicates nominal dimensions with NRS gate valves.
- Indicates nominal dimensions with OSY gate valves (full open positions).
- Indicates weight of complete backflow assemblies with specified gate valves.
The gap drain is not designed to catch the maximum discharge possible from the relief valve. The installation of the FEBCO air gap with the drain line terminating above a floor drain handles any normal discharge or nuisance spitting through the relief valve. However, floor drain size may need to be designed to prevent water damage caused by a ccomplete failure condition. Do not reduce the size of the drain line from the air gap fitting.
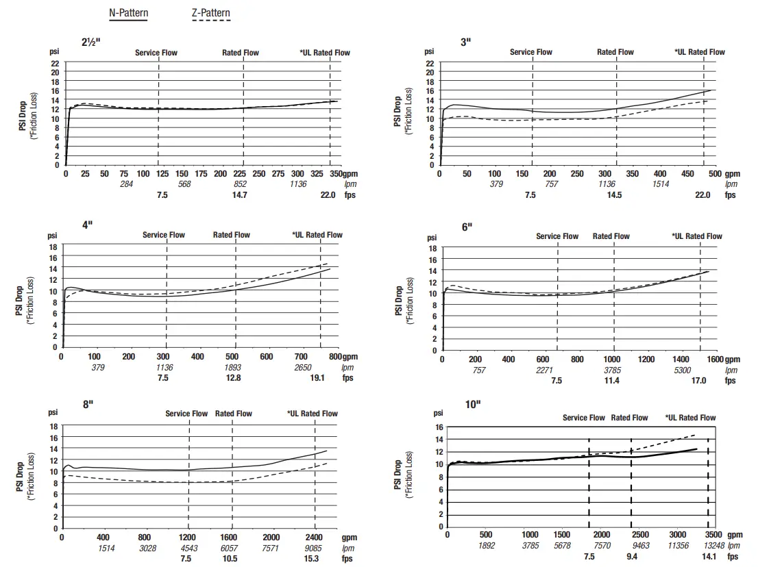
Performance
The flow capacity chart identifies valve performance based upon rated water velocity up to 20 fps.
- Maximum service flow rate is determined by maximum rated velocity of 7.5 fps.
- AWWA Manual M-22 (Appendix C) recommends that the maximum water velocity in the services be not more than 10 fps.
- UL flow rate is determined by typically rated velocity of 15 ft/sec.

Capacity

- USA:
- T: ( 800) 767-1234
- FEBCOonline.com
- Canada:
- T: (888) 208-8927
- FEBCOonline.ca
- Latin America:
- T: (52) 55-4122-0138
- FEBCOonline.com



















