TRADGARDSTEKNIK NPS55M Mobile Heater For Solid Fuels

INSTALLATION
The instruction manual is an integral and essential part of the product and will have to be handed over to the user
in the event of ownership transfer. Please read it carefully and keep it for future reference, as all notes provide essential safety instructions for installation, operation, and maintenance. According to the manufacturer’s instructions, the heater must be installed following the standards in force in the country of destination and by qualified personnel. Incorrect device installation can cause injury to people and animals and damage to property for which the manufacturer is not responsible.
The air heater may only be used for the purpose for which it was expressly intended. Any other use is improper and therefore dangerous.
In the event of errors during assembly, operation, or maintenance, caused by failure to comply with the applicable legislation, regulations, or instructions contained in this manual (or others provided by the manufacturer), the manufacturer shall not be liable for any contractual or non-contractual liability for damages. The warranty for the device becomes nonbinding.
The selection of heating units for heating facilities is based on the thermal balance of buildings, with particular emphasis on losses resulting from heat transmission to the facilities.
PURPOSE OF THE HEATER
NPS air heaters are designed to heat the air in small and medium cubature rooms in buildings without a water heating system. Heat is produced by combustion, and thermal energy is transferred from the flue gas to the fresh air via the walls of the combustion chamber and the heat exchanger.
Air heaters are devices ideally suited for:
- carpentry shops, production halls, warehouses,
- livestock buildings, greenhouses, drying rooms,
- workshops, assembly plants,
- small or large construction sites,
The NPS heater is a mobile device that generates heat from solid fuel combustion (wood, coal, all kinds of wood waste) directly from the heat exchanger tube to the environment without any intermediate liquids. Burning produces smoke and other gases that are discharged through the chimney.
ATTENTION!
Due to the specification of the air heater for solid fuels, supervision over the device in the form of control of operating parameters is required.
HEATER DESCRIPTION
The NPS air heater consists of the following parts:
- combustion chamber with heat exchanger (body)
- covers
- ashpan drawer
- cast iron grate
- fan assembly
- electric box with thermostat
- transport wheels
The heat is generated due to the combustion process in the combustion chamber equipped with a cast iron grate. Thermal energy is transferred from the flue gas to the fresh air by natural and forced convection.
Air and exhaust gas pass through separate channels that are welded and adequately sealed. After cooling, the exhaust gases resulting from the fuel combustion are removed through a duct that must be connected to a chimney or a smoke duct. The diameter of the chimney or flue must be large enough to ensure efficient exhaust removal. The air used in the combustion process is taken directly from the outside,
from a heated room or building. For this reason, it is of utmost importance to ensure proper ventilation of the heated space or building, which guarantees a continuous supply of an adequate amount of fresh air. The ash formed from combustion falls into the ash drawer, from where it can be easily removed. The heated air is discharged through the exhaust grille, which is mounted on the side of the air heater.
The electric box with a thermostat is responsible for the power supply to the heater fan. When the air heater body reaches the set temperature (35 ° C), the fan is turned on, and warm air is blown onto the room where the heater is installed.
The fan is turned off automatically when the heater body cools down to a temperature below 35 ° C. The NPS heater is also adapted to work in the event of a power failure. In this case, open the fan assembly and leave it open during use to avoid damage due to high temperatures.
FUEL PARAMETERS
The primary fuel for NPS heaters is firewood in the form of logs -seasoned under a roof for a minimum of two years and with a humidity of 15-20%.
TIP!
The wood should be seasoned for at least one year. Wood humidity above 25% may cause energy loss and damage the heater’s body.
It is allowed to use alternative fuels with different quality parameters and degrees of fragmentation as admixtures to the primary fuel, up to 10% concerning the number of logs such as wood waste. When burning small pieces of waste wood, care should be taken to arrange them with thick firewood.
ATTENTION!
The NPS type heater is not a furnace for burning organic waste, and forbidden fuels may not be burned there.
ATTENTION!
The manufacturer of the NPS type heater, is not responsible for damage or incorrect combustion caused by improper fuel..
ATTENTION!
The constant use of some wet fuels while keeping the exhaust gas temperature low (below 160°C) leads to accelerated wear of the heater body, corrosion of the convection channels, the flue, and the greasing of the combustion chamber. The condensation of combustion products causes: water, nitrogen oxides, and sulfur oxides creating a very aggressive environment conducive to accelerated corrosion.
Hard coal for energy purposes of the 24/12 class nut, type 31-2 according to the PN-91 / G-04510 standard, can be used as a substitute fuel for NPS air heaters. The given marking 24/12 regarding the fuel characteristics determines the calorific value at the level of 24000kJ / kg and the ash content 12%. This fuel guarantees the achievement of the declared power.
A mixture of hard coal may also be used as a substitute fuel in the mass ratio of 70% of the 24/12 grade nut coal and 30% of the 21/15 grade coal according to the standards mentioned above.
TECHNICAL DATA OF THE HEATER

TRANSPORT AND INSTALLATION OF THE HEATER.
TRANSPORT AND STORAGE.
The heaters are delivered assembled on a pallet in foil packaging.
Use appropriate lifting gear to raise and lower the heater. Before transporting the heater, it should be secured against shifting and tilting on the vehicle platform using straps, wedges, or wooden blocks
TIP!
- The heater must be transported in an upright position!
- NPS heaters can be stored in unheated, roofed, and ventilated rooms.
- Before installation, check the completeness of the delivery and its technical condition..
INSTALLATION REQUIREMENTS
Before installing the heater, please familiarize yourself with the requirements of this manual and the requirements of national regulations.
Compliance with the recommendations included in the manual during installation and operation of the heater will allow for long and trouble-free use of the heater. It will allow for obtaining the appropriate technical parameters.
It is advisable that a professional installation company performs the installation design, device selection, and assembly with appropriate permissions. Installation of the device should be preceded by a consultation with a chimney specialist and a fire protection specialist.
Before starting the installation, it is recommended to have a written expert opinion on the insulation and ventilation of the building and chimney expertise regarding the discharge of flue gases (chimney)
ATTENTION!
A professional installation company should install the heater following the applicable regulations!
ATTENTION!
It is forbidden to install the heater outside the building (outdoors)
FUEL
The fuel should be stored in a separate technical room near the heater or in the room where the heater is located, but not closer than 0.5 m from the heater.
ATTENTION!
It is forbidden to use exhaust ventilation in the boiler room.
VENTILATION
- It is forbidden to use exhaust fans in the room where the heater takes the combustion air from the room and with the natural exhaust gas discharge and in the room with inlets to the flue gas pipes.
- Use of individual exhaust fans in rooms directly adjacent to the heater installation room, it may also cause negative pressure and uncontrolled outflow of exhaust fumes from the heater into the room.
- A gravity supply and exhaust system must be provided in the heater installation room. This installation must not cause negative pressure in the room.
- The air supply system should ensure the supply of combustion air in the amount of not less than 10 m3 / h per 1kW of the installed nominal power of the furnaces and not less than 20 m3 / h per person intended for permanent stay in the room.
- The supply and exhaust ventilation openings should be secured with a steel mesh and constructed so that they cannot be clogged. The location of the grilles should not cause drafts.
ATTENTION!
A sufficient supply of fresh air to the boiler room must be ensured. The lack of an adequate supply of fresh air threatens the so-called Incomplete combustion and formation of carbon monoxide
PLACING THE HEATER IN THE ROOM
NPS-type heaters do not require any special foundations but remember to level them carefully. The heater should be placed on an even, stable surface with sufficient load-bearing capacity to be moved. In case of insufficient bearing capacity, appropriate measures should be taken to obtain adequate bearing capacity.
The floor where the heater is located should be made of non-flammable materials.
If made of flammable materials, it should be covered with a steel sheet with a thickness of at least 1 mm, at a distance of at least 1 m from the edge of the heater.
When setting up the heater, fire safety conditions should be taken into account; it is recommended that:
- during installation and operation of the heater, keep a safe distance of min. 1.5 m from flammable materials,
- for flammable materials with the degree of flammability of C3, which burn quickly and easily even after removing the ignition source, this distance doubles, i.e., min. 3m
- if the degree of flammability is unknown, the safety distance must also be doubled.
The degree of flammability of building masses and products
Building masses and products A – non-flammable sandstone, concrete, bricks, fire plaster, mortar, ceramic tiles, granite
B – hardly flammable wood-cement boards, fiberglass, mineral insulation
C1 – hardly burning beechwood, oak wood, plywood C2 – medium- burning pine, larch, spruce, cork, boards made of sawn wood, rubber floor coverings
C3 – easily flammable asphalt plywood, celluloid pulp, polyurethane, polystyrene, polyethylene, plastic, PVC
The heater should be positioned to allow easy cleaning and direct access from all sides.
The distance between the front of the heater and the opposite wall should not be less than 2m, and the sides of the boiler from the divisions should not be less than 0.5m.
CHOICE OF A HEATER FOR A ROOM
The heating system in an industrial facility should provide adequate thermal comfort. According to the regulations, the temperature in the workplace should be appropriate to the type of work (methods of work and physical effort necessary to perform it), but not lower than 14°C. However, in workrooms where light manual labor is performed and in offices, the temperature must not be lower than 18°C. To properly select the heater, the heat demand should be determined.
The first step is to establish the heat balance of the building, i.e., to determine heat losses through walls, doors, windows, entrance gates, etc. and to take into account heat gains that may come from machines working inside the building, people, or animals (e.g., in a livestock building).
This procedure is quite complicated, so a formula has been drawn up that allows for the proper selection of heaters.
- P = [qv W (tw – tz)] 0,001
Where:
- P – heat demand (kW)
- qv – unit heating power depending on the cubic capacity of the building and indicative wall insulation (W / m3K)
- W – building volume (m3)
- tw – the desired temperature inside the building (°C)
- tz – design outside temperature, for a given region of Poland following PN-82 / B-02403 (°C)
Attention should be paid to determining the unit heating power in a given facility. It depends on the volume and insulation of the building..
Diagram 1. Unit heating power depending on the volume of the building and the level of insulation of building partitions. and windows), cubature of 1200 m3. The
required temperature inside is 16 ° C.
We read the value qv = 1.5W / m3K from the graph
We can read on the map that Gdańsk is located in the climatic zone I, the external design temperature is therefore -16 ° C.
We calculate:
- Q=1,5•1200•[16-(-16)]•0,001=57,6kW
You can choose one 60kW heater or two 30kW heater. The second solution seems better. It allows the positioning of the heaters and directing the air streams for the best efficiency.
You can choose one 60kW heater or two 30kW heater. The second solution seems better. It allows the positioning of the heaters and directing the air streams for the best efficiency.
CONNECTION TO ELECTRICAL INSTALLATION
The electrical installation to which the heater is connected should be terminated with a plug-in socket equipped with protective contact.
| MAINS VOLTAGES REQUIRED BY THE HEATERS | |
| NPS 55 M | 230V/50Hz |
ATTENTION!
Using the socket without the protective terminal connected may result in electric shock!
The socket should be located at a safe distance from sources of heat emission. It is advisable to run a separate circuit of the electric installation to supply the heater.
ATTENTION!
Any connections to the electrical system may be made only by an authorized electrician.
ATTENTION!
The user is forbidden to interfere with or modify the electrical connections.
CONNECTING THE HEATER TO THE CHIMNEY
- The method of making the chimney and connecting to it should comply with the requirements of the Regulation of the Minister of Infrastructure of 12 March 2009 on technical conditions to be met by buildings and their location / Journal of Laws 56/2009 item 461 /.
- The device cannot be connected to the chimney together with other furnaces.
- When the heater is installed in a country other than Poland – the connection of the heater to the chimney should meet the requirements of the standards and legal regulations currently in force in the land of destination.
- The heaters should be connected to the chimney with a profile of the appropriate crosssection and shape, made of steel sheet, sealed at the outlet of the fumes from the heater and the outlet of the chimney, the length of which should not exceed 1m. The connection should have a slope towards the heater.
- The height and cross-section of the chimney and the accuracy of its execution should ensure that the required chimney draft is maintained. An authorized chimney sweep should confirm the suitability of the chimney for operation.
HEATER NPS 55 M Min. Height of the chimney (m) 7 Dimension (mm x mm) Diameter (fi mm) 180 x 180 210
ATTENTION !!!
Too weak chimney draft causes water vapor to settle on the exchanger walls, which leads to quick heater damage.
It can also cause smoke from the door and cleaning openings of the heater.
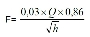
The formula below facilitates the selection of the required chimney cross-section
where:
- F – chimney cross-section (m2)
- Q – heater’s thermal power (kW)
- h – chimney height measured from the grade level to the outlet (m)
The chimney must start at the floor level, as the exhaust fumes from the heater should be able to reflect. It is also crucial that there is a chimney hatch with a tight closure at the bottom of the chimney. The chimney should extend at least 1.5 m above the roof surface. The walls of the chimney channel should be smooth, tight, without narrowings and kinks, and free from other connections. The new chimney should be dried and warmed up before lighting the heater. In case of doubt, the technical condition is assessed by a chimney sweep. Steel pipe chimneys should be 15-20% higher than brick chimneys.
Maintaining the chimney draft within the recommended limits is one of the most important factors ensuring obtaining the heater’s appropriate technical and operational parameters.
ATTENTION!
Due to the high efficiency, using a chimney liner made of heat-resistant stainless steel is recommended for NPS heaters.
OPERATION AND OPERATION OF THE HEATER
ZERO START OF THE HEATER
Before starting up the heater, check:
- Tightness of the chimney system
- Correct connection to the chimney
- Tightness of the fan contact surfaces and cleaning openings
- The method of connection to the electric network.
Carry out the boiler commissioning as follows:
- Start the heater
- Fire up the furnace according to the guidelines of this manual
- Check the heater for leaks again
- Make the user familiar with the operation
- Record the data on the warranty card.
TIP!
The completion of the assembly and the heating test must be recorded in the Warranty Card. The completed Warranty Card should be sent as a copy to the manufacturer’s address to register the user in the company’s system.
STARTING AND OPERATION OF THE HEATER (USER MANUAL)
Before starting the boiler lighting, check:
- Installation capacity
- Correct operation of the ventilation system
- In the case of subsequent firing up, remove the ash from the charging chamber. The remaining charcoal in the chamber may constitute the first ignition layer.
- Place a layer of wood on the remains of charcoal, not filling more than 50% of the furnace.
- From the top, place a layer of small pieces of wood with crushed paper. Then layout a layer of shavings and a few pieces of softwood.
- The heater should be started by turning on the controller switch.
- Set fire to the paper, and after lighting it, close the loading door, leaving it slightly ajar for a few seconds.
- To facilitate the supply of more air during firing up, set the amount of primary air by extending or retracting the ash pan drawer.
- When the wood fires up correctly (after approx. 20-30 minutes), the chamber can be refilled with an appropriate amount of wood, approx. 60% of the loading chamber, and the loading door closed.
- The further burning process will consist of successive refilling of fuel and control of the combustion process by regulating the primary air by sliding out or sliding in the ash pan drawer.
- Do not leave the heater unchecked!
- In the event of a power failure, the heater can still be used. To do this, open the fan assembly to avoid damaging it. The heater then heats in a radiant way. If power is restored, the fan will not start until the unit is closed.
ATTENTION!
Heater parts – in particular the outer covers – are hot during operation, and proper caution is recommended!
ATTENTION!
Never stand in front of the boiler when opening the door. It may burn you!
ATTENTION!
The furnace chamber should permanently be closed, except during the firing up, loading, and removal of furnace waste!
PERIODIC MAINTENANCE OF THE HEATER – CLEANING AND MAINTENANCE.
TIP!
The convection channels and sheets inside the furnace must be kept clean to obtain the correct combustion efficiency. Soot, dust, and ash resulting from combustion reduce the effectiveness and efficiency of the combustion process.
ATTENTION!
The operating temperature of individual parts of the heater can reach even 600°C!
To clean the heater, turn it off and wait for the time necessary for the heat exchanger temperature to drop.
ATTENTION!
Before starting maintenance activities, disconnect the heater power supply!
ATTENTION!
All activities should be performed with special care, and only adults may perform. Make sure that children are not in the vicinity when cleaning the heater. Use gloves, protective glasses, and headgear to operate the heater.
In the heater’s combustion chamber, special attention should be paid to thoroughly removing ash and slag from the grate slots and chamber walls. Such cleaning should be performed before each lighting of the heater. Before cleaning, turn off the heater with the main switch and wait for the time necessary for the exchanger to cool down.
Cleaning of flue gas ducts, in which fly ash settles, should be performed through the cleanout holes every 7-14 days, depending on the quality and moisture of the fuel.
TRADGARDSTEKNIK AB Helsingborgsvägen 578, Varalöv 262 96 ÄNGELHOLM
Telefon: 0431-222 90
Bg.nr: 5743-7980
Org.nr:556409-6120
URL:
www.tradgardsteknik.se
E-post address:
[email protected]




















