Owner’s Manual
Infrared Ear Thermometer
Model DET-1013b

Document No.: JDET-1304-005
Article-No.: 003
Version: Z
Date of Issue: 2020.12
Introduction
The DET-1013b thermometer is specifically designed for safe use in the eardrum. The Infrared Ear Thermometer is a device capable of measuring people’s body temperature by detecting the intensity of infrared light emitted from the ear canal of humans. It converts the measured heat into a temperature reading displayed on the LCD. When properly used, it will quickly assess your temperature in an accurate manner. The infrared thermometer is intended for the intermittent measurement of human body temperature by people of all ages.
Please read all instructions carefully and thoroughly before using this product.
Warning:
- This thermometer is intended for home use only.
It’s not meant to replace a visit to the doctor. Please consult with your doctor if you have health concerns. - There is no gender or age limitation for using an infrared ear thermometer.
- To avoid inaccurate readings, always attach a new, clean probe cover for each temperature reading.
- Do not expose the thermometer to temperature extremes (below -25℃/-13℉ or over 55℃/131℉) nor excessive humidity (>95%RH).
- This thermometer must only be used with this brand thermometer probe cover.
- Keep the battery away from children.
- Remove the battery from the device when not in operation for a long time.
Product Description

- Probe Cover
- Probe
- Test Button
- Mode Button
- Battery Cover
- Setting Button
LCD Display Introduction

Basic Functions
| Real-Time Clock | The real-time clock will be recorded with the memory function to help you to recognize each measurement result. — Please see the Real-time clock setting section to learn how t setup the time in the first use. |
| Ear Temperature Mode | The thermometer has been designed for practical use. Its not meant to replace a visit to the doctor. Please also remember to compare the measurement result to your regular body tempera — Please see the Illustration For Use section to learn how to measure the body temperature. |
| Probe cover detection and eject function | The thermometer has been designed for use with or without a probe cover. Users can press the eject button to remove the probe cover. |
| Object Temperature Mode | The object model shows the actual, unadjusted surface temperatures, which is different from the body temperature. It c help you to monitor if the object’s temperature is suitable for the or patient, for example, the baby’s milk. — Please see the Illustration For Use section to learn how to measure the object temperature. |
| Beep Alarm | If the thermometer detects a body temperature z. 37.8°C(100.0°F) under ear mode, there will be a long beep sound followed by tl short beep sound to warn the user. |
| Memory Mode | There are each 10 sets of memories for ear and object measurements Each memory also records the measurement date/time/mode icon. |
| °C/ °F Switch | Please see the Selecting A Temperature Scale section to learn how to change between Celsius and Fahrenheit. |
| Voice Switch | You can use the button to choose whether to turn on or off the sound. |
| Bluetooth sign | If the APP is successfully connected to the machine,the Bluetooth sign will always be on, otherwise, it will keep flashing. |
Ear Thermometer Advantages
Infrared Ear Thermometer measures core body temperature, which is the temperature of a body’s vital organs. (See Figure 1) Ear temperatures accurately reflect core body temperatures since the eardrum is in the cranial cavity and is not affected by the environment. The eardrum shares blood supply with the hypothalamus (part of the brain.) Therefore, body temperature changes are reflected sooner in the ear than they are in other parts of the body.

Clinical studies have shown that the ear is an excellent site for temperature measurement because temperatures taken in the ear , reflect the body s core temperature. Body temperature is regulated by the hypothalamus, which shares the same blood supply as the tympanic membrane. Changes in core body temperature are usually seen sooner at the tympanic membrane than at other sites, such as the rectum, mouth or under the arm.
Advantages of taking temperatures at the ear versus other sites:
- Axillary temperature readings only reflect skin temperature which may not indicate the internal body temperature.
- Rectal temperatures often lag significantly behind internal body temperature changes, especially at times of rapidly changing
temperatures. - Oral temperatures are often influenced by eating, drinking, thermometer placement, breathing through the mouth, or the
the inability of the person to close their mouth completely.
Body Temperature
The temperature of a healthy person is affected by various factors: the person’s individual metabolism, their age(body temperature is higher in babies and toddlers and decreases with age. Greater temperature fluctuations occur faster and more often in children, e.g. due to growth spurts), their clothing, the ambient temperature, the time of day(body temperature is lower in the morning and increases throughout the day towards evening), the preceding physical and, to a lesser extent, mental activity.
It is suggested that users develop the habit of daily measurement, and use this product to establish a private normal temperature range for themselves and their families as a reference for measurement.
Real-Time Clock Setting
When using a thermometer for the first time, please set the parameters of the thermometer.
- Set the unit
Press the Setting Button to select the unit you want. After the unit is set, press the Mode Button, the time format figure will appear.
- Set the time format
The device can display the time in either an AM/PM ( I 2-hour) or a 24:00 (24-hour) format. Press and release the Setting button to select the format. With the preferred time format on the display, press the Mode Button, the Hour figure is flashing automatically.
- Set the hour
Press and release the Setting Button to advance one hour until the correct hour appears. After the hour is set, press the Mode Button, the Minute figure is flashing automatically.
- Set the minute
Press and release the Setting Button to advance one minute until the correct minute appears. After the minute is set, press the Mode Button, the Year figure is flashing automatically.
- Set the year
Press and release the Setting Button to advance one year until the correct year appears. After the year is set, press the Mode Button, the Month figure will appear.
- Set the month
Press and release the Setting Button to advance one month until the correct month appears. After the month is set, press the Mode Button, the Date figure is flashing automatically.
- Set the date
Press and release the Setting Button to advance one day until the correct month appears. After the day is set, press the Mode Button to exit the setting mode.
Illustration For Use
To measure ear temperature:
- To achieve accurate readings, make sure a new, clean probe cover is in place before each measurement. Place a new probe cover on the probe firmly; making sure the probe and the inner portion of the probe cover fit snugly.
- Press the Test Button, The display is activated to show all segments. After self-checking Figure 2 appears on the display screen with beeps, so you can start a new measurement. If error messages appear, it means the thermometer is not ready for measurement.
Remarks:
a. Probe cover sign stands for taking the ear temperature with probe cover now and vice versa.
b. To avoid the risk of cross-contamination, it is recommended that you always measure the ear temperature with probe cover.
- Insert the probe along the ear canal as deep as possible into the ear as depicted in Figure 3. Then press the Test BUTTON once to start the measurement. A long beep will sound approximately 1 second after the Test BUTTON is activated. This signals the end of the process as results are displayed on the LCD screen.
- The thermometer is ready for testing again once an earmark displays on the LCD. A waiting period of 20 seconds between
testing is recommended to avoid excessive cooling of the skin. - The thermometer will shut off automatically after 60 seconds of inactivity. To prolong battery life, press and hold the Test Button to turn the unit off.

To measure object temperature:
- First, eject the probe cover.
- Aim the thermometer at the center of the object you want to measure with a distance of 1 to 2 cm.
- Press the Test button to turn on the thermometer, you can take the object temperature after hearing two beep sounds.(see figure 4 Remarks:
This mode shows the actual, unadjusted surface temperatures, which is different from the body temperature.

How to change the ear mode and object mode:
You can press and hold Mode Button to switch the mode between ear mode and object mode.
After measurement:
- Power off: The device will automatically shut off if left idle for more than 1 minute to extend battery life.
- Clean the probe after each use to ensure an accurate reading and avoid cross-contamination. (See the section of Care and Cleaning for details.)
BackLight:
In-Ear mode:
- The display will be lighted GREEN for 3 seconds with a happy face
when the unit is ready for measurement and measurement is completed with a reading less then 37.3 (99.1 ). - The display will be lighted YELLOW for 3 seconds with a happy face
when a measurement is completed with reading less than 37.8℃(100.0 ). - The display will be lighted RED for 3 seconds with a bad face
when a measurement is completed with a reading equal to or higher than 37.8℃(100.0 ).
In Object mode:
The display will only be lighted GREEN for 3 seconds when the unit is ready for measurement and measurement is completed.
Bluetooth requirements
The thermometer requires a Bluetooth device with:
- Bluetooth 4.0 or later
- Android 6.0 or later
- IOS 8.0 or later
And works with:
- iPhone , iPod, iPad
- Android Phones and Tablets
Using for the first time
- Download the “JoyHeath” App from the Website or APP Store (Such as Apple Store).
- Open the App on your phone or tablet. If requested, you should enable Bluetooth on your device. You can enable Bluetooth under the Settings menu on your smartphone or tablet.
- Create a new user login, or log in with your existing user name and password.
- Selection device “Thermometer”.
Match your thermometer with a Smart Device
- If this is your first time using it, bind first. Open the “SETTING” menu, choose“Bind and unbind device” and select the appropriate model.
The date and time on your thermometer will automatically be updated when it’s connected to your phone. - Confirm that your thermometer is connected successfully. When your thermometer is connected successfully to your smartphone, the “
” symbol stops flashing and keeps showing.
Transfer your readings
- As soon as your measurement is finished, open the app on your smartphone to transfer the readings.
Note: On the matched smartphone, Bluetooth must be enabled. - You can view your temperature readings in the app.
Temperature Taking Hints
- The right ear reading may differ from the reading taken at the left ear. Therefore, always take the temperature in the same ear.
- The ear must be free from obstructions or excess earwax buildup to take an accurate reading.
- External factors may influence ear temperatures such as:
• lying on one ear or the other
• their ears covered
• exposed to very hot or very cold temperatures
• recently swimming or bathing In these cases, remove the individual from the situation and wait 20 minutes prior to taking a temperature. - For persons wearing hearing aids or earplugs, remove the device and wait 20 minutes prior to taking a temperature.
- When using the thermometer on infants under age I, pull the ear up making sure the sensor faces the eardrum. (See Figure 5)
- When using the thermometer on individuals over the age of 1, pull the ear back making sure the sensor faces the eardrum.
(See Figure 6) - Do not touch the probe window. A cotton swab and rubbing alcohol may be used to clean the sensor window.
- If the thermometer is stored in a significantly different environment than the testing location, place it in the testing location for approximately 30 minutes prior to use.

Memory Mode
- The Memory Mode can be accessed either in-ear mode or object mode:
When the thermometer has been turned on and followed by Figure 2/4 or finished testing, press and hold the Setting Button for three seconds. The letter MEM will appear in the center-right corner of the display. (See Figure 5) - The thermometer will automatically memorize the last 30 temperature readings.
Each time the Setting Button is pressed, the screen displays past readings that correspond with a number 1-30. The number 1 reflects the most recent reading, while the number 30 reveals the oldest reading stored in memory.(See Figure 6)
Each memory also records the measurement date/time/mode icon. - In the memory mode,
mark or
mark will not change. The user can press the Test Button to take new measurements.
Care And Cleaning
- Probe covers are intended for single use only!
Absent, damaged, perforated, or soiled probe covers can lead to inaccurate temperature readings. - The probe window must be kept clean, dry, and undamaged at all times to ensure accurate readings. The accuracy of temperature readings can be affected by damage to the probe window, or the presence of dirt and ear wax on the probe window.
- Fingerprints, earwax, dust, and other soiling compounds reduce the transparency of the window and result in lower temperature readings. If the thermometer is accidentally placed in the ear without a probe cover installed, the window must be cleaned immediately.
- The probe window is the most delicate part of the thermometer.
To safely clean the window, gently wipe its surface with a cotton swab slightly moistened with isopropyl alcohol and immediately wipe dry with a clean cotton swab. After cleaning, allow at least 5 minutes of drying time before taking temperatures.
Note: Do not use any chemical other than isopropyl alcohol to clean the probe window. - Use a soft, dry cloth to clean the thermometer display and exterior.
- Do not put the thermometer into the water directly.
- Store the thermometer and probe cover in a dry location, free from dust and contamination and away from direct sunlight.
- Periodic cleaning and disinfection of the device the following used to prevent patient cross-infection.
-Use a soft cloth slightly moistened with a 75% isopropyl alcohol solution to disinfect the thermometer and probe. Do not use abrasive cleaners. - Ensure that children do not use the instrument unsupervised; some parts are small enough to be swallowed.
- Do not remove or modify the equipment without permission.
- Strong electromagnetic fields may interfere with the proper operation of the thermometer. The device needs special precautions regarding EMC according to the EMC information.
- Put the thermometer back to the original packaging after use.
- It is not intended for use in the oxygen-rich environment and presence of flammable anesthetic mixture with air, oxygen or nitrous oxide.
Battery Replacement
- Replace the battery when it ”
appears in the upper right corner ” of LCD display. (See Figure 10) - Slide battery cover down as shown in Figure 11.
- Remove the battery and install 2 new AA alkaline batteries as shown in Figure 12.
- Slide battery covers back on.

Specifications
| Measuring range | Ear mode: 32.04C-43.0t(89.67-109.47) Object mode: Ot-100.C(32T-212?) |
| Measuring site | Ear canal( Ear Mode) |
| Reference body site | Oral (This thermometer converts the ear temperature to display its “oral equivalent.”) |
| Operation mode | Ear mode(Adjust mode) |
| Laboratory accuracy | Ear mode: ±0.2t (0.47) during 35.5*C∼42.0t (95.97∼107.6T) at 15r-35r (59.07∼95.07) operating temperature range ±0.3t (0.57) for other measuring and operating temperature range Object mode: ±4% or ±2.C(47) whichever is greater |
| Display resolution | 0.1t or 0.17 |
| Measure time | Approximately one second |
| Operating temperature range: | Ear/Object mode: I or—mm(507∼1047), I 5%-85%RH, non-condensing Atmospheric Pressure : 700hPa∼ 1060hPa |
| Storage and transport temperature range | -25r∼ ssr (-137-1317), 15%-95%RH, non-condensing Atmospheric Pressure : 700hPa ∼ 1060hPa |
| Clinical accuracy | Clinical bias: 0.080 (0.147) Clinical repeatability: 0.130 (0.237) Limits of agreement:0.73r (1.317) |
| Shock | withstands a drop of 3 feet |
| Dimension | 46*36*143mm |
| Weight | Approx.83grams(with batteries) |
| Battery | DC3V(2 XAA batteries) |
| Battery life | Approx. 1 year/6000 readings |
| Expected service life | Three years |
| Ingress protecting rating | I P22 |
Troubleshooting
| Error message | Problem | Solution |
![]() | Measurement before thermometer is ready | Take a measurement until ei or? appears on the display. |
![]() | The ambient temperature is not within the range between 10t and 40°C (50T-104°F). | Place the thermometer in a room for at least 30 minutes at room temperature between IOC and 40°C (50°F-104°F) |
![]() | The thermometer is placed incorrectly or unsteady. | Read Illustration For U Use thoroughly and take a new temperature measurement. |
![]() | The thermometer shows a rapid ambient temperature change. | Allow the thermometer to rest in a room for at least 30 minutes at room temperature: between 10°C and 40°C (50T-104°F) |
![]() | The thermometer is not functioning properly. | Unload the battery, wait for 1 minute and repower it. If the message reappears, contact the retailer for service. |
| Error message | Problem | Solution |
![]() | In object temperature mode, measurement with probe cover. | Remove probe cover in object temperature mode. |
| In-Ear mode: Temperature taken is higher than 43.0 le (109.4°F). In Object mode: Temperature taken is higher than 100 ‘IC (212°F). | Read Temperature Taking Hints Thoroughly, then check the integrity of the probe cover and take a new temperature measurement. | |
![]() | In-Ear mode: The temperature taken is lower than 32.0 t (89.6°F). In Object mode: Temperature taken is lower than 0 r (32°F). | Read Temperature Take Hints thoroughly, then make sure the probe cover and lens filter are clean, then take a new temperature measurement. |
| The thermometer could not work due to low battery. | Replace two new alkaline batteries size AAA. |
Calibration
The thermometer is initially calibrated at the time of manufacture. If the thermometer is used according to the use instruction, periodic readjustment is not required. However, We recommend checking calibration every two years or whenever the clinical accuracy of the thermometer is in question. Please send the complete device to the dealers or manufacturer.
The above recommendations do not supersede the legal requirements. The user must always comply with legal requirements for the control of the measurement, functionality, and accuracy of the device which are required by the scope of relevant laws, directives or ordinances where the device is used.
A clinical summary and procedures for checking calibration are available upon request.(Turn on the thermometer and press the power button long time until entering into calibrate mode, the software version will be displayed.)
![]() | Type B F applied part |
| Direct Current | |
| Disposal of this product and used batteries should be carried out in accordance with the national regulations for the disposal of electronic products | |
| Consult Accompanying Documents | |
| Batch Code |
| Storage and Transportation Temperature Limit: -13℉℃~131℉(-25℃~55℃) |
Service
The thermometer has a limited one-year warranty. Do not attempt to disassemble or repair the thermometer by yourself. Should
service be required during or after the warranty period you must contact the manufacturer. Repackage the thermometer carefully in its original packaging or securely packed to avoid damage during shipping. Include the original sales slip indicating the date of purchase, a note describing the problem, and your return address.
Send the thermometer prepaid and insured.
The lay operator or lay responsible organization should contact the manufacturer or the manufacturer’s representative:
– for assistance, if needed, in setting up, using or maintaining the thermometer; or
– to report unexpected operations or events.
Manufacturer:
joytech HEALTHCARE Co., Ltd.
No.365, Wuzhou Road, Yuhang Economic Development Zone, Hangzhou city, 311100 Zhejiang, China
Telephone: +86-571-81957767
Fax: +86-571-81957750
0197 The product is in compliance with the requirements of MDD 93/42/EEC, “0197” is the identification number of notify body;EC REP European Authorized Representative:
Shanghai International Holding Corp. GmbH (Europe)
Eiffestrasse 80, 20537 Hamburg, Germany
Warranty
This appliance conforms to the following standards:
EN 12470-5 Clinical thermometers —Part 5:Performance of infrared ear thermometers(with maximum device),
ISO 80601-2-56 Medical electrical equipment —Part 2-56:
Particular requirements for basic safety and essential performance of clinical thermometers for body temperature measurement, IEC 60601-1-11 Medical electrical equipment —Part 1-11: General requirements for basic safety and essential performance –Collateral Standard: Requirements for medical electrical equipment and medical electrical systems used in the home healthcare environment and complies with the requirements of IEC 60601-1-2(EMC) , IEC 60601-1(Safety) standards. And the manufacturer is ISO 13485 certified.
The thermometer is warranted by the manufacturer to be free from defects in material and workmanship under normal use and service for a period of one year from the date of delivery to the first user who purchases the instrument. This warranty does not cover batteries, damage to the probe window, or damage to the instrument caused by misuse, negligence or accident, and extends to only to the first purchaser of the product. Additionally, this warranty becomes void, if the thermometer is operated with anything other than this brand thermometer probe covers.
FCC Information
Caution: Changes or modifications to this unit not expressly approved by the party responsible for compliance could void the user authority to operate the equipment.
*Note: This equipment has been tested and found to comply with the limits for a Class B digital device, pursuant to Part 15 of the FCC Rules.
These limits are designed to provide reasonable protection against harmful interference in a residential installation. This equipment generates, uses, and can radiate radio frequency energy. If this equipment does cause harmful interference to radio or television reception, which can be determined by turning the equipment off and on, the user is encouraged to try and correct the interference by one or more of the following measures:
– Reorient or relocate the receiving antenna.
– Increase the distance between the equipment and the receiver.
– Connect the equipment to an outlet on a circuit different from that to which the receiver is connected.
– Consult the dealer or an experienced radio/TV technician for help.
This device complies with part 15 of the FCC Rules. Operation is subject to the following two conditions:
(1) This device may not cause harmful interference, and
(2) this device must accept any interference received, including interference that may cause undesired operation.
The device has been evaluated to meet general RF exposure requirements. The device can be used in portable exposure conditions without restriction.
Electromagnetic Compatibility Information
The device satisfies the EMC requirements of the international standard IEC 60601-1-2.The requirements are satisfied under the
conditions described in the table below.The device is an electrical medical product and is subject to special precautionary measures with regard to EMC which must be published in the instructions for use.Portable and mobile HF communications equipment can affect the device.Use of the unit in conjunction with non-approved accessories can affect the device negatively and alter the electromagnetic compatibility.The device should not be used directly adjacent to or between other electrical equipment.
Table 1
| Guidance and manufacturer’s declaration — electromagnetic emission | ||
| The device is intended for use in the electromagnetic environment specified below. The customer or the user of the device should assure that it is used in such an environment. | ||
| Emissions test | Compliance | Electromagnetic environment – guidance |
| RF emissions CISPR 11 | Group I | The device uses RF energy only for its internal function. Therefore, its RF emissions are very low and are not likely to cause any interference in nearby electronic equipment. |
| RF emissions CISPR 11 | Class B | The device is suitable for use in all establishments, including domestic establishments and those directly connected to the public low-voltage power supply network that supplies buildings used for domestic purposes. |
| Harmonic emissions IEC 61000-3-2 | Not applicable | |
| Voltage fluctuations / flicker emissions IEC 61000-3-3 | Not applicable | |
Table 2
| Guidance and manufacturer’s declaration — electromagnetic immunity | |||
| The device is intended for use in the electromagnetic environment specified below. The customer or the user of the device should assure that it is used in such an environment. | |||
| Immunity test | IEC 60601 test level | level Compliance le | Electromagnetic environment- guidance |
| Electrostatic discharge (ESD) 1EC 61000-4-2 | ±8 kV contact ± kV, ±4 kV,±8kV, 115 kV air | ±8 kV contact ±12 kV, ±24 kV, ±18 kV. ±15 kV air | Floors should be wood, concrete or ceramic tile. If floors are covered with synthetic material. the relative humidity should be at least 30N. |
| Electrostatic transient/bum IEC 61000-4-4 | ±2 kV for power supply lines so 100 kHz repetition frequency ±I kV for input/output lines | N/A | N/A |
| Surge IEC 61000-4-5 | 10.51N,± 1kV differential mode line-line | \ A | N/A |
| Voltage dips, short interruptions and voltage variations on power supply input lines WC 61000-4-11 | 0% UT (100% dip in UT) for 0.5 cycle at 0°, 45°, 90°, | N/A | N/A |
| 135°,180°, 225°, 270°, and 315° 0% UT (100% dip in UT) for I cycle at 0° 70 % UT (30 % dip in UT) for 25/30 cycles at V’ 0 % UT (1009’° dip in UT) for 250/300 cycle at 0° | |||
| Power frequency (50/60 Hz) magnetic field IEC 61000.4-8 | 30 A/m, 50/60Hz | 30 Aim, 50/60Hz | Power frequency magnetic fields should be at levels characteristic of a typical location in a typical commercial or hospital environment. |
| NOTE: Ili is the a. c. mains voltage prior to application of the test level. | |||
Table 3
| Guidance and manufacturer’s declaration — electromagnetic immunity | |||
The device is intended device should assure that for use in the electromagnetic, it is used in such an environment specified below. The customer or the user of the environment. | |||
| Immunity test | IEC 60601 test level | Compliance level | Electromagnetic environment – guidance |
| Conducted RF IEC 61000-4-6 Radiated RF I Fr’ 61000-4-3 | 3 Vrms 150 kHz to 80 MHz 6 Vrms ISO kHz to 80 MHz outside ISM bands 10 Vhn 80 MHz to 2.7 GHz | N/A i 0 V lin | Portable and mobile RF communications |
NOTE 1At 80 MHz and 800 MHz, the higher frequency range applies.NOTE 2 These guidelines may not apply in all situations. Electromagnetic propagation is affected by absorption and reflection from structures, objects and people.
a. The ISM(industrial, scientific and medical) bands between 0,15 MHz and 80 MHz are 6,765 MHzto6,795 MHz;13,553 MHz to 13,567 MHZ;26,957 MHz to 27,283 MHz; and 40,66 MHz to 40,70 MHz. The amateur radio bands between 0,15 MHz and 80 MHz are 1,8 MHz to 2,0 MHz,3,5 MHz to 4,0 MHz,5,3 MHz to 5,4 MHz,7 MHz to 7,3 MHz,10,1 MHz to 10,15 MHz,14 MHz to 14,2 MHz,18,07 MHz to 18,17 MHz,21,0MHz to 21,4MHz,24,89 MHz to 24,99 MHz,28,0 MHz to 29,7 MHz and 50,0 MHz to 54,0 MHZ.
b. The compliance levels in the ISM frequency bands between 150 kHz and 80 MHz and in the frequency range 80 MHz to 2,7 GHz are intended to decrease the likelihood that mobile/portable communications equipment could cause interference if it is inadvertently brought into patient areas. For this reason, an additional factor of 10/3 has been incorporated into the formulae used in calculating the recommended separation distance for transmitters in these frequency ranges.
c. Field strengths from fixed transmitters, such as base stations for radio(cellular/ cordless) telephones and land mobile radios, amateur radio, AM and FM radio broadcast, and TV broadcast cannot be predicted theoretically with accuracy. To assess the electromagnetic environment due to fixed RF transmitters, an electromagnetic site survey should be considered. If the measured field strength in the location in which the device is used exceeds the applicable RF compliance level above, the device should be observed to verify normal operation. If abnormal performance is observed, additional measures may be necessary, such as re-orienting or relocating the device.
d. Over the frequency range 150 kHz to 80 MHz, field strengths should be less than 3 V/m.
Table 4
| Recommended separation distances between portable and mobile RF communications equipment and the device | |||
The device is intended for use in an electromagnetic environment in which radiated RF disturbances are controlled. The customer or the user of the device can help prevent electromagnetic interference by maintaining a minimum distance between portable and mobile RF communications equipment (transmitters) and the device as recommended below, according to the maximum output power of the communications equipment. | |||
|
Rated maximum | Separation distance according to the frequency of the transmitter m | ||
150 kHz to 80 MHz![]() | 80 MHz to 800 MHz![]() | 800 MHz to 2.7 GHz![]() | |
| 0.01 | 0.12 | 0.04 | 0.07 |
| 0.1 | 0.37 | 0.12 | 0.23 |
| 1 | 1.17 | 35 | 0.7 |
| 10 | 3.7 | 1.11 | 2.22 |
| 100 | 11.7 | 3.5 | 7.0 |
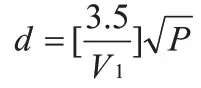
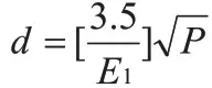
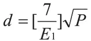
For transmitters rated at a maximum output power not listed above the recommended separation distance din meters (m) can be estimated using the equation applicable to the frequency of the transmitter, where P is the maximum output power rating of the transmitter in watts (W) according to the transmitter manufacturer. | |||
Table 5
Recommended separation distances between RF wireless communications equipment
The device is intended for use in an electromagnetic environment in which radiated RF disturbances are controlled. The customer or the user of the device can help prevent electromagnetic interference by maintaining a minimum distance between RF wireless communications equipment and the device as recommended below, according to the maximum output power of the communications equipment.
| Frequency MHz | Maximum Power W | Distance | 1EC 60601 Test Level | Compliance Level | Electromagnetic Environment – Guidance |
| 385 | 1.8 | 0.3 | 27 | 27 | RF wireless communications equipment should be used no closer to any part of the device, including cables, than the recommended separation distance calculated from the equation applicable to the frequency of the transmitter. Recommended separation distance E=6/d√p Where P is the maximum output power rating of the transmitter in watts (W) according to the transmitter manufacturer and d is the recommended separation distance in meters (m). Field strengths from fixed RF transmitters, as determined by an electromagnetic site survey, should be less than the compliance level in each frequency range. Interference may occur in the vicinity of equipment marked with the following symbol: |
| 450 | 2 | 0.3 | 28 | 28 | |
| 710 | 0.2 | 0.3 | 9 | 9 | |
| 745 | |||||
| 780 | |||||
| 810 | 2 | 0.3 | 28 | 28 | |
| 870 | |||||
| 930 | |||||
| 1720 | 2 | 0.3 | 28 | 28 | |
| 1845 | |||||
| 1970 | |||||
| 2450 | 2 | 0.3 | 2,, | 28 | |
| 5240 | 0.2 | 0.3 | 9 | 9 | |
| 5500 | |||||
| 5785 |
Note 1: These guidelines may not apply in all situations. Electromagnetic propagation is affected by absorption and reflection from structures, objects, and people.
WARNINGS!
- This device should not be used in the vicinity or on top of other electronic equipment such as cell phones, transceivers or radio control products. If you have to do so, the device should be observed to verify normal operation.
- The use of accessories and power cords other than those specified, with the exception of cables sold by the manufacturer of the equipment or system as replacement parts for internal components, may result in increased emissions or decreased immunity of the equipment or system.








































