oricom UHF5400 5 Watt Handheld UHF CB Radio User Guide

For the full product user guide, please scan QR code or visit www.oricom.com.au

Pack contents
- UHF5400 Handheld Radio
- Belt Clip
- Lithium-ion Battery Pack
- Antenna
- 12V Charging Plug
- AC Adaptor
- Speaker Microphone
- Quick Start Guide
Please read before installing or operating your Oricom radio
The operation of your UHF radio in Australia and New Zealand is subject to conditions in the following licenses: In Australia, the ACMA Radio communications (Citizen Band Radio Stations) and in New Zealand by MED the General User Radio License for Citizen Band Radio.
Need help? Contact Oricom Support
If you need assistance setting up or using your Oricom product now or in the future, call Oricom Support.
Australia
(02) 4574 8888 www.oricom.com.au Mon-Fri 8am 6pm AEST
New Zealand
0800 67 42 66 Mon-Fri 10am 8pm NZST
When a new narrowband radio receives a transmission from an older wideband radio the speech may sound loud and distorted simply adjust your radio volume for the best listening performance. When an older wideband radio receives a signal from a new narrowband radio the speech may sound quieter – simply adjust your radio volume for best listening performance. When operating a narrowband radio or Channel 41 – 80 interference is possible from wideband radios transmitting on high power or on adjacent frequency.
The issues described above are not a fault of the radio but a consequence of mixed use of wideband and narrowband radios.
This unit complies with all relevant Australian and New Zealand approval requirements AS/NZS 4365:2011 1
Safety Information and Warnings
Lithium-ion Battery Pack Warning
- This equipment contains a Lithium-ion Battery pack.
- Do not short circuit the Battery pack.
- Do not charge the Lithium-ion Battery pack used in this equipment in any other charger.
- Lithium-ion Batteries must be disposed of properly.
- The Lithium-ion Battery pack contained in this equipment may explode if disposed of in a fire.
- Lithium-ion Batteries should not be exposed to high temperature environments as they may not operate correctly in these conditions.
- Always keep out of direct sunlight in confined environments.
Warnings and Safety Information
⚠ WARNING
Potentially Explosive Atmosphere Turn your radio OFF when in any area with a potentially explosive atmosphere. Sparks in such areas could cause an explosion or fire resulting in injury or even death. NOTE: Areas with potentially explosive atmospheres are often, but not always clearly marked. They include fuelling areas such as below deck on boats; fuel or chemical transfer or storage facilities; areas where the air contains chemicals or particles, such as grain, dust, or metal powders; and any other area where you would normally be advised to turn off your vehicle engine. Blasting Caps and Areas To avoid possible interference with blasting operations, turn your radio OFF near electrical blasting caps or in a “blasting area” or in areas posted: “Turn off two way radios.” Obey all signs and instructions. Electromagnetic Interference/Compatibility Nearly every electronic device is susceptible to electromagnetic interference (EMI). To avoid the possibility of electromagnetic interference and/or compatibility conflicts, turn off your radio in any location where posted notices instruct you to do so such as health care facilities.
Antenna
Attach the antenna to the UHF5400 radio (see diagram). Be sure the antenna is firmly secured (finger tight only).
Battery Pack
Install Battery Pack – Place the battery pack onto the back of the radio, slide battery into position until you hear a click (see diagram).
Remove Battery Pack – Push battery catch in direction of arrow and then slide the battery off.

Battery Charging
When the battery pack is new, it should be fully charged before being used for the first time. If left unused, your transceiver’s battery pack will discharge itself within a few months. If you have not used your UHF5400 for some time, you will need to recharge the battery pack before use.
Warning: Use only the supplied power adaptor. The use of other types may be dangerous and will void your warranty.
Installation
Charging the Radio
Plug the supplied mains power adaptor into an household outlet, and then plug the DC jack directly into the charging Jack on the radio. It takes approximately 3 hours to fully recharge with the radio powered off. When charging is complete, remove the power adaptor jack from the radio and detach the mains power adaptor from the outlet. You can also charge the radio using the 12V adaptor supplied. Plug the adaptor into the 12V outlet in your car and insert jack directly into the charging jack on the radio.
Warning: Do not transmit while charging the battery.
Belt Clip
Line up the belt clip to the 2 screw holes on the back of the radio. Install the two screws to secure the belt clip to the radio.
Speaker Mic
To connect the speaker mic, fit the plug into the Charging, External speaker & Microphone jack and tighten the retaining screw (finger tight only).
Controls and Indicators
Basic Control


- Antenna
- Channel switch
- Power On/Off and volume adjust
- Push to talk (PTT)/Melody call
- Monitor On/Triple Watch
- Scan/Menu
- Charging, External speaker & Microphone jack
- RX/TX LED indicator
- Microphone
- LCD
LCD Display

- A. TX indicator
- B. Duplex on
- C. Memory
- D. Channel display
- E. Battery indicator
- F. CTCSS on
- G. DCS on
- H. CTCSS/DCS code
- I. Function
- J. Scrambler on
- K. Tri Watch on
- L. Key Lock
- M. Low TX power
- N. VOX
- O. Roger Beep on
Battery Level Display
The battery icon in the top right hand corner of the LCD shows the current battery level at all times. The battery level is displayed in 4 levels as below.
Battery life: Typically 15 Hours (This is based on the following duty cycle TX 5%/RX 5%/Stand by 90%)
Operations
When(PTT) is pressed at low battery, an error tone sounds and transmission is disabled. Once at low battery the unit will automatically shutdown. Recharge the battery at any time. When the battery is empty, it will take approximately 3 hours to fully charge.
Power On/Off
To turn on the transceiver, turn the volume knob clockwise until you hear a click. To turn off the transceiver, turn the volume knob fully counter-clockwise.
Volume
Rotate the Volume knob until you reach the desired level.
Channel Selection
Press the channel up or down buttons until you select the desired channel.
Transmission and Reception
To transmit, keep the PTT button firmly pressed and the red LED will illuminate. Wait for approximately 1 second and then speak in the direction of the microphone, and hold the device at a distance of about 5cm from your mouth. When you have finished, release the PTT. When the radio is in reception mode, you will automatically receive communications and the green LED will illuminate.
Factory Reset
If the radio’s display locks up or stops functioning properly, you might need to reset your UHF radio. Caution: This procedure clears all the information you have stored in your UHF radio. Before you reset your UHF radio, try turning it off and on again. If your UHF radio is still not functioning correctly, you may need to reset the UHF radio. To reset, Press and Hold Monitor and power on. “Reset” will appear in the display. The radio will then return to standby mode.
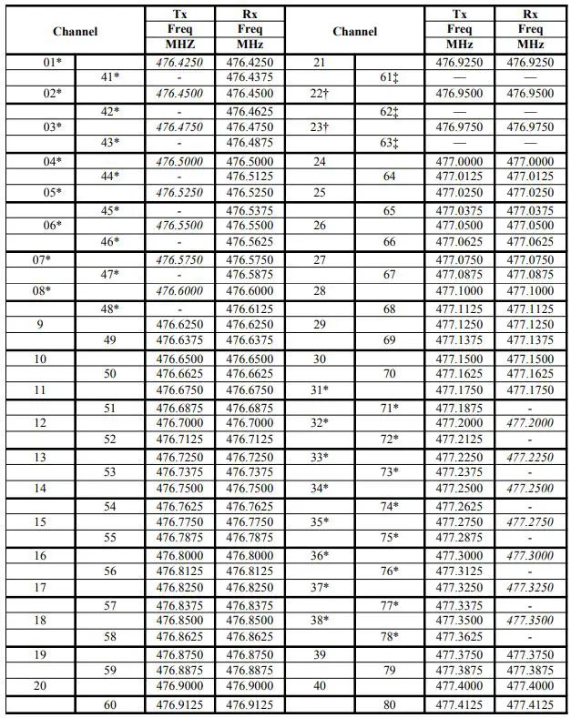
UHF CB Channels and Frequencies

* The primary use for these channels is repeater operation using 750 kHz offset. Channels 1-8 inclusive are used for mobile reception and channels 31-38 for mobile transmission. Note that additional channels 41-48 and 71-78 are also available for repeater operation to supplement channels 1-8 and-31-38 respectively as approved by the ACMA CBRS Class Licence in Australia and the MED GURL in New Zealand. In addition, any designated repeater channel may be used for simplex operation in areas where it is not used for repeater operation.
† Speech telephony shall be inhibited on these channels.
‡ At the time of production Channels 61, 62 and 63 are guard channels and are not available for use.
Channel 5 and 35 (paired for Duplex repeaters) are reserved as emergency channels and should be used only in an emergency. CTCSS and DCS will not operate on these channels. A list of currently authorised channels can be obtained from the ACMA website in Australia and the MED website in New Zealand. Channel 11 is a calling channel generally used to call others and channel 40 is the customary road vehicle channel. Once contact is established on the calling channel, both stations should move to another unused “SIMPLEX” channel to allow others to use the calling channel. Channels 22 and 23 are for Telemetry and Telecommand use, voice communications are not allowed on these channels by law. Channel 9 and above are the best choices for general use in Simplex mode.
Express Warranty
Express Warranty (Australia)
This Express Warranty is provided by Oricom International Pty Ltd ABN 46 086 116 369, Unit 1, 4 Sovereign Place, South Windsor NSW 2756, herein after referred to as “Oricom”. Oricom products come with guarantees that cannot be excluded under the Australian Consumer Law. You are entitled to a replacement or refund for a major failure and compensation for any other reasonably foreseeable loss or damage. You are also entitled to have the goods repaired or replaced if the goods fail to be of acceptable quality and the failure does not amount to a major failure. Oricom warrants that the product is free from defects in materials or workmanship during the Express Warranty Period. This Express Warranty does not extend to any product from which the serial number has been removed or was purchased outside of Australia. Nothing in this Express Warranty excludes, restricts or modifies any condition, warranty, guarantee, implied term, right or remedy pursuant to the Australian Consumer Law and which may not be so excluded, restricted or modified. For such conditions, terms, guarantees and warranties that cannot be excluded, restricted or modified, Oricom limits the remedies available to extent permitted in the relevant legislation. The Express Warranty Period will be 3 years (excluding battery cells and rechargeable battery packs) from the date of purchase of the product evidenced by your dated sales receipt. You are required to provide proof of purchase as a condition of receiving Express Warranty services. You are entitled to a replacement product or repair of the product at our discretion according to the terms and conditions of this document if your product is found to be faulty within the Express Warranty Period. This Express Warranty extends to the original purchaser only and is not transferable. Products distributed by Oricom are manufactured using new materials or new and used materials equivalent to new in performance and reliability. Spare parts may be new or equivalent to new. Spare parts are warranted to be free from defects in material or workmanship for thirty (30) days or for the remainder of the Express Warranty Period of the Oricom branded product in which they are installed, whichever is longer. During the Express Warranty Period, Oricom will where possible repair and if not replace the faulty product or part thereof. All component parts removed under this Express Warranty become the property of Oricom. In the unlikely event that your Oricom product has a recurring failure, Oricom may always, subject to the Competition and Consumer Act 2010, at its discretion, elect to provide you with a replacement product of its choosing that is at least equivalent to your product in performance. No change to the conditions of this Express Warranty is valid unless it is made in writing and signed by an authorised representative of Oricom. Oricom will not be liable under this Express Warranty, and to the extent permitted by law will not be liable for any defect, loss, damage or injury arising out of or in connection with a:
- Failure by you to adhere to the warnings and follow the instructions set out in this user guide for the proper installation and use of the product;
- Wilful misconduct or deliberate misuse by you of the product;
- Any external cause beyond our control, including but not limited to power failure, lightning or over voltage; or
- Modification to the product or services carried out on the product by anyone other than Oricom or Oricon’s authorised service provider.
How to make a claim under your Express Warranty in Australia
Oricom has a simple warranty process for you to follow:
- Please call or email our Customer Support Team, (02) 4574 8888 or [email protected].
- A Customer Support Team member will verify after troubleshooting with you if your product qualifies under warranty. If so, they will give you a Product Return Authorisation number.
- We will then email or fax a Return Authorisation form and a Repair Notice (if necessary), together with instructions on how to return the goods for warranty service.
Please note that if a Customer Support Team member advises that your product does not qualify for return, this warranty does not apply to your product. Products that are authorised to be returned to Oricom in Australia must include all of the following: - A completed Return Authorisation form
- A copy of your Proof of Purchase (please keep your original copy)
- The faulty product, including all accessories. Send the approved returns to: Oricom International Pty Ltd Locked Bag 658 South Windsor NSW 2756 Australia
Please note that this Express Warranty excludes expenses incurred by you in returning any faulty product to us. You must arrange and pay any expenses incurred (including postage, delivery, freight, transportation or insurance of the product) to return the faulty product to us, however, we will arrange delivery of the repaired or replaced faulty product to you.
Important Information
Repair Notice
Please be aware that the repair of your goods may result in the loss of any user generated data (such as stored telephone numbers, text messages and contact information). Please ensure that you have made a copy of any data saved on your goods before sending for repair. Please also be aware that goods presented for repair may be replaced by refurbished goods or parts of the same type rather than being repaired.



















