Titrette 4760151 Dispensette Burette

Introduction
The standard ISO DIS 8655 describes both the design and the testing of the bottle-top dispenser. The following Testing Instructions describe how to apply the ISO standard in practice.
We recommend a testing every 3-12 months. This interval may be adjusted to individual requirements. For example, when working very frequently or when using aggressive media, the instrument should be tested more frequently.
These Instructions may also be used as a basis for the supervision of testing devices to DIN EN ISO 9001, DIN EN ISO 10 012 and DIN EN ISO/IEC 17 025.
For the regular examinations required by DIN EN ISO 9001, DIN EN ISO 10 012, DIN EN ISO/IEC 17 025 and the GLP Guidelines, BRAND additionally provides a calibration service (see page 9).
Your instrument will be returned within a few days together with a test report. For more detailed information, please contact your labware supplier.
Preparation for testing and visual examination
Type and serial number
- Determine instrument type and nominal capacity. ⇒ Enter/ check in Test Record (1).
- Read Serial Number ⇒ Enter number in Test Record (1). (embossed at valve block).
- Read customer’s identification, if present. ⇒ Enter identification in Test Record (1).
Minimal configuration Dispensette®
- Dispenser ⇒ Use only manufacturer’s original parts.
- Discharge tube
- Filling tube
- Mounting tool for valves
Cleaning
- Rinse instrument with cleaning solution. ⇒ Select suitable cleaning solution according to the medium
Then rinse the instrument again several times wich was used. with distilled water. - Wipe off the exterior of the Dispensette®. ⇒ Unscrew piston and lift it out completely following the instructions of the operating manual. Remove desposits out glass cylinder and piston.
Visual examination
(Damage, leakages)
- Housing ⇒ Enter fillings in Test Record (2).
- Discharge tube
- Filling tube
- Controls
- Leakage
Possible faults and resulting measures:
| Fault | Measures |
| Filling tube or discharging tube bent or damaged | Possible safety risk – therefore replace part (see Operating Manual “Accessories“). |
| Mechanically damaged connections | Possible safety risk – therefore place parts or return instrument for repair. |
| Faulty controls | Return instrument for repair. |
Functional test
- Screw the Dispensette® on a bottle filled with distilled or deionised water (according to ISO 3696, at least quality 3).
- Priming (see Operating Manual). ⇒ A few bubbles up to 1 mm in the glass cylinder are permissible.
- Check the volume adjustment and that the dispensing ⇒ The dispensing piston must slide smoothly in the dispensing piston moves freely. cylinder.
- Result ⇒ Enter findings into Test Record (3)
If there is a malfunction of the instrument (e.g., piston difficult to move, sticking valves or leakage) please consult the “Troubleshooting” section of the operating manual.
Required equipment for testing
- Dispensette®
- Bottle (at least 500 ml) filled with distiled or deionised ⇒ Match temperature of water and room. water (according to ISO 3696, at least quality 3, room temperature).
- Recipient (e.g., Erlenmeyer flask, narrow-mouth) ⇒ Bottom of vessel should be covered. filled with some water.
- Thermometer with a measuring error of maximum: ± 0.2 °C
- Place the instrument into the testing room ⇒ Allow instrument to adjust to room temperature. for at least 1 hour (unpacked!).
- Balance, recommended specifications:
| Selected volumea of appartatus under test V | Resulution
mg | Repeatability and linearity mg | Standard uncertainty of measurement mg |
| 50 µl < V < 1000 µl | 0,1 | 0,2 | 0,2 |
| 1 ml < V < 10 ml | 0,1 | 0,2 | 0,2 |
| 10 ml < V < 100 ml | 1 | 2 | 2 |
| a For practical purposes, the nominal volume may be used to choose the balance. | |||
Traceability of test results to national standards
Through the use of calibrated testing devices (balance and thermometer), the requirement of DIN EN ISO 9001, DIN EN ISO 10012 and DIN EN ISO/IEC 17025 to refer the test to the national standard is fulfilled. The calibration of the balance e.g. can be carried out either by DAkkS calibration or official certification of the balance, or by calibrating the balance with appropiate weights that are traced to the national standard. The calibration of the thermometer can also be carried out by DAkkS calibration or official certification, or by a comparison with thermometers that are traced to the national standard (under defined conditions).
Gravimetric test
- Determine temperature of the water for testing. ⇒ Enter temperature into Test Record (4).
- Set instrument to nominal volume.
- Dispense some liquid into the separate vessel.
Wipe off the drop on the discharge tube against the wall of the recipient. - Place recipient upon the balance. Tare the balance.
- Place recipient under the discharge tube.
- Pull up the piston as far as it will go. ⇒ Move slowly and steadily.
- Push the piston all the way down. ⇒ Move slowly and steadily.
- Wipe dispensing tube at the receiving vessel.
- Place receiving vessel upon the balance. Write down the value.
⇒ Enter weighing value into the Test Record (5). - Tare the balance again.
- Repeat points 2 to 10 another ten times.
- Then carry out ten more weighings each by dispensing 50% resp. 10% of the nominal capacity.
Evaluation of gravimetric test results
The values obtained by weighing during the gravimetric test are only the mass values of dispensed volume without correction of air buoyancy. In order to obtain the actual volume, an adjustment calculation to account for water density and air buoyancy must be carried out. To facilitate your calculations and evaluations, we recommend the use of the Windows-compatible calibration software EASYCAL™ from BRAND.
The following calculations must be carried out:
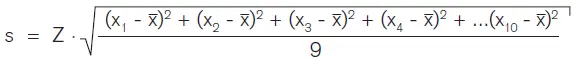
- Mean weighing values:
(Example for ten weighing values)
- Mean volume:

⇒ For factor Z, see Table 1.
⇒ Enter value into Test Record (6a). - Standard deviation volume:

⇒ For factor Z, see Table 1
⇒ Enter value into Test Record (6b) - Accuracy:

⇒ Enter value into Test Record (6c) - Coefficient of variation:

⇒ Enter value into Test Record (6d)
Comparison actual/nominal values:
- Use the error limits per Table 2 and 3, or define ⇒ Enter values into Test Record (6e, f) your own error limits.
Result:
If calculated values A [%] and CV [%] are smaller than or equal to the error limits, the instrument is in good working order.
If the calculated values are larger than the error limits:
- Verify if the above instructions have been carefully followed step by step.
- Observe the suggestions under “Troubleshooting” in the Operating Manual.
- Calibrate the Dispensette® according the instructions in the Operating Manual.
If these measures are not successful, we offer you the possibility to have your instruments calibrated by the BRAND Calibration Service (see page 9).
Possible volume faults and resulting measures:
| Fault | Possible causes | Measures |
| Volume too large | ■ Drop remaining on the titrating tube ■ Jerky dispensing. ■ During filling, a drop has already been released. | Þ Before weighing, wipe off any drop into the receiving vessel. Tare the balance. Þ Dispense slowly and steadily. Þ Move piston cautiously toward the upper stop. |
| Volume too small | ■ Instrument not tight. ■ Air bubbles in the instrument. | Þ Repeat the functional test valves must be tightened or replaced; discharge tube or filling tube must be mounted properly. Þ Instrument must be primed |
| Other causes | ■ Jerky titration ■ Temperature adjustment between instrument, room and water temperature not completed | Þ Use smooth gentle movements to operate the piston upwards and downwards. Approach the upper and lower stops slowly, so that no drops will fall off the dispensing tube. Þ Carry out temperature adjustment. |
Table 1:
Excerpt from DIN EN ISO 8655
Table refers to 1013 hPa the validity range 980 hPa to 1040 hPa
| Temperature | Factor Z | Temperature | Factor Z | |||
| °C | ml/g | °C | ml/g | |||
| 15 | 1.0020 | 23 | 1.0035 | |||
| 15.5 | 1.0020 | 23.5 | 1.0036 | |||
| 16 | 1.0021 | 24 | 1.0038 | |||
| 16.5 | 1.0022 | 24.5 | 1.0039 | |||
| 17 | 1.0023 | 25 | 1.0040 | |||
| 17.5 | 1.0024 | 25.5 | 1.0041 | |||
| 18 | 1.0025 | 26 | 1.0043 | |||
| 18.5 | 1.0026 | 26.5 | 1.0044 | |||
| 19 | 1.0027 | 27 | 1.0045 | |||
| 19.5 | 1.0028 | 27.5 | 1.0047 | |||
| 20 | 1.0029 | 28 | 1.0048 | |||
| 20.5 | 1.0030 | 28.5 | 1.0050 | |||
| 21 | 1.0031 | 29 | 1.0051 | |||
| 21.5 | 1.0032 | 29.5 | 1.0052 | |||
| 22 | 1.0033 | 30 | 1.0054 | |||
Table 2:
Error limits for Dispensette®:
The stated error limits refer to new instruments under optimized testing conditions (qualified operators and standardized ambience conditions).
| Nominal volume ml | Accuracy Value 6e | Coefficient of variation Value 6f |
| £ ± % | £ % | |
| Type Fix | ||
| 1 | 0.5 | 0.1 |
| 2 | 0.5 | 0.1 |
| 5 | 0.5 | 0.1 |
| 10 | 0.5 | 0.1 |
| Type analog and digital | ||
| 0.5/0.25/0.05 | 1.0/2.0/10 | 0.2/0.4/2 |
| 2/1/0.2 | 0.5/1.0/5 | 0.1/0.2/1 |
| 5/2.5/0.5 | 0.5/1.0/5 | 0.1/0.2/1 |
| 10/5/1 | 0.5/1.0/5 | 0.1/0.2/1 |
| 25/12.5/2.5 | 0.5/1.0/5 | 0.1/0.2/1 |
| 50/25/5 | 0.5/1.0/5 | 0.1/0.2/1 |
| 100/50/10 | 0.5/1.0/5 | 0.1/0.2/1 |
Table 3:
Excerpt from DIN EN ISO 8655, part 5
| Table 3: Excerpt from DIN EN ISO 8655, part 5 Nominal Error limits for Error limits for volume systematic error random error ml ± % [A] ± µl % [CV] µl [s] | |||||
| 0.05 | 1.5 | 0.75 | 0.4 | 0.2 | |
| 0.1 | 1.5 | 1.5 | 0.3 | 0.3 |
| 0.2 | 1.0 | 2 | 0.3 | 0.6 |
| 0.5 | 1.0 | 5 | 0.2 | 1 |
| 1 | 0.6 | 6 | 0.2 | 2 |
| 2 | 0.6 | 12 | 0.2 | 4 |
| 5 | 0.6 | 30 | 0.2 | 10 |
| 10 | 0.6 | 60 | 0.2 | 20 |
| 25 | 0.6 | 150 | 0.2 | 50 |
| 50 | 0.6 | 300 | 0.2 | 100 |
| 100 | 0.6 | 600 | 0.2 | 200 |
Test:
10 single measurements per test volume according to DIN EN ISO 8655.
For definition of A, CV and s see sample calculation chapter 5.
For checking of partial volumes the values for A [%] and CV [%] which are related to the nominal volume have to be converted.
For calibration, the error limits to be observed by the operator must be individually defined by the user. For this purpose, the following methods can be applied:
- If required by the application and if the optimized conditions for measuring are present, the error limits in table 2 can also be expected in the case of used volumetric instruments in good working order.
- In analogy to the German regulations for official testing, it is also admissible to apply the limits which are typical for practice.
These practice limits correspond to double the limits for official testing. In this case, the values found in Table 2 should be doubled. - The user may also define his own individual error limits corresponding to his particular application, and apply these tolerances for the calibration of his instrument.
The above procedures fulfil the requirements of DIN EN ISO 9001, DIN EN ISO 10012 and DIN EN ISO/IEC 17025
Test Record for Volumetric Instruments
Instrument:
- Titrette®
- Digital Burette
- Dispensette®
- Transferpette®
- Transferpette®
- Transferpette® electronic
- Transferpettor
Type:
- fix
- analog
- digital
Nominal capacity:
Serial number:
Customers identification:
Damage:
- None
- Type of damage:
- Damage repaired
- None
- Type of functional defect:
- Functional defect repaired
Functional defects:
Water temperature: °C
Balance:
Thermometer:
Results of gravimetric test
| Weighing No. | Nominal volume | 50 % | 10 % |
| x1 | |||
| x2 | |||
| x3 | |||
| x4 | |||
| x5 | |||
| x6 | |||
| x7 | |||
| x8 | |||
| x9 | |||
| x10 |
Evaluation of gravimetric test
| Procedure _ | Nominal volume | 50 % | 10 % | |
| a | V | |||
| b | s | |||
| c | A [%] Found | |||
| d | CV [%] Found | |||
| e | A [%] Nominal | |||
| f | CV [%] Nominal | |||
| g | result | |||
The testing was carried out according to DIN EN ISO 8655.
Declaration on the Absence of Health Hazards
To be sent together with the instruments or via Mail (if urgent by Fax in advance).
To
BRAND GMBH + CO KG
Otto-Schott-Straße 25
97877 Wertheim
Fax: 09342 808-91290
We intend to give our staff a maximum of protection from health hazards caused by contaminated instruments. We therefore ask for your understanding that we cannot carry out any calibration / repair unless this declaration is submitted completed and signed.
Re: Instrument Consignment dated / for Delivery Note no.
The Undersigned hereby declares:
- That the instruments have been carefully cleaned and decontaminated before shipment.
- That the instruments pose no danger through bacteriological, chemical, radiological or viral contamination.
- To be authorised to make declarations on behalf of the Institution represented.
- For calibrating service only: minor repairs of a value up to € 25,- + VAT will be carried out and invoiced without further queries (cross out if not applicable).
Company / Laboratory (Stamp)
Tel. / Fax / E-Mail
Name
Position
Date, Signature
- In case of Return for Repair, please provide us with the following supplementary information:
Detected defect
Media which the instrument has been used with:
Calibration Service from BRAND
BRAND offers a full service including calibration and adjustment of Brand- and foreign instruments as well as maintenance and repair if necessary – only for BRAND- instruments. This saves money and adds the benefit of an independent review organisation for the calibration of the instruments
Range of instruments covered
- Piston-operated pipettes (single- and multichannel)
- Bottletop dispensers
- Piston burettes (bottle-top burettes)
- Hand dispensers
Testing according to DIN EN ISO 8655
At BRAND, a team of qualified staff, working in temperature and humidity controlled rooms using the most modern balances and calibration software, calibrates Liquid Handling instruments, regardless of their make, according to DIN EN ISO 8655.
Instruments with adjustable volumes such as HandyStep® electronic, Transferpette®, Transferpette® S, Transferpette® electronic,
Transferpette®S -8/-12, Transferpette®S -8/-12. Transferpettor or Dispensette®, Digital Burette or Titrette® are tested at nominal volume, and at 50%, 10% or 20% of nominal volume.
To document the results, a detailed test report is compiled.
The BRAND Calibration Service offers:
- Calibration of Liquid Handling instruments, regardless of their make
- Detailed calibration certificate
- Return of instrument within a few working days
- Cost-efficient handling
EASYCAL™ Software – advanced calibration technology
For liquid handling instruments and glass or plastic volumetric instruments
EASYCAL™ simplifies the tedious task of calibrating liquid handling instruments and glass or plastic volumetric instruments to DIN EN ISO 9001,DIN EN ISO 10012, DIN EN ISO/IEC 17025 and GLP standards. The procedures are outlined step-by-step, and all calculations are performed automatically. Reports are generated to document the calibration. All you need is an analytical balance, a PC Windows® 98/2000, NT (SP6), XP,Vista, 7, printer (optional) and EASYCAL™ software.

- Suitable for instruments from all manufacturers.
- Specifications of many instruments preloaded.
- Testing according to ISO 4787, ISO 8655, etc.
Data Entry
- Connect PC and balance (optional), then start the EASYCAL™ software.
- 100 common balances are preprogrammed for ease of installation.
Documentation – clearly arranged
The calibration certificate contains all important test data on one page.
DAkkS-Calibration Service for Volumetric Instruments at BRAND
DAkkS – Deutsche Akkreditierungsstelle GmbH and DKD
The German Calibration Service (DKD) was founded in 1977 as a joint task of state and economy and constitutes the link between the measuring equipment in industrial and research laboratories, testing institutions and authorities and the national standards of the PTB (the German Institute of Physics and Metrology). It effectively supplements the existing verification system which serves above all the purposes of consumer protection. Based on the legal requirements the DKD Accreditation was successively transformed to the DAkkS Accreditation (Deutsche Akkreditierungsstelle GmbH), starting from 2010. BRAND has been accredited by the DAkkS since Apr. 23, 2013, with the certificate number D-K-18572- 01-00.

DAkkS-Calibration Certificate and Calibration Symbol
The DAkkS-Calibration Certificate documents officially on a high level the traceability of measuring results to national and international standards and to international SI-units, as required by standards as DIN EN ISO 9001 and DIN EN ISO/IEC 17025 for monitoring of measuring devices.
DAkkS-Calibration Certificates are issued when calibrations of an accredited laboratory are requested, when high level calibrations are necessary, when national and international standards are demanded and when reference instruments have to be calibrated.
DAkkS – A member in the International Accreditation Network
DAkkS is a member of the International Laboratory Accreditation Cooperation (ILAC), the highest level international institution for laboratory calibration, and is a signatory to the MRA – Mutual Recognition Agreements.
The accreditation bodies that are signatories to the ILAC mutual recognition agreements (MRAs) recognize their mutual equivalence, and the equivalence of the calibration certificates issued by those same signatories. Likewise, signatories are obliged generally to promote and recommend recognition of the calibration certificates of other signatories (excluding factory calibration certificates).
The DAkkS is a member of the EA (European Co-operation for Accreditation), which again is a member of the ILAC (International Laboratory Accreditation Cooperation). A multilateral agreement assures obligatory recognition of the DAkkS calibration certificate in a variety of countries.
DAkkS-Calibration Laboratory at BRAND
In 1998 a calibration laboratory for volumetric instruments at BRAND has been accredited by the German Calibration Service according to DIN EN ISO/ IEC 17 025. Our calibration laboratory is therefore authorized to issue DAkkS-Calibration Certificates (in several languages) for the volumetric instruments listed below. Furthermore we offer adjustment and – for BRAND Liquid Handling instruments – repair and maintenance.
For ordering information on DAkkS-Calibration Certificates for volumetric instruments please consult our General Catalog.
Volumetric instruments for which BRAND issues DAkkS Calibration Certificates
BRAND calibrates the following volumetric instruments (new or already in use and regardless of their make):
- Piston-operated pipettes, from 0.1 μl to 10 ml
- Multichannel piston-operated pipettes, from 0.1 μl to 300 μl
- Piston-operated burettes, from 5 μl to 200 ml
- Dispensers, Dilutors, from 5 μl to 200 ml
- Volumetric instruments of glass, calibrated to contain (TC, In) from 1 μl to 10000 ml
- Volumetric instruments of glass, calibrated to deliver (TD, Ex) from 100 μl to 100 ml
- Volumetric instruments of plastic, calibrated to contain (TC, In) from 1 ml to 2000 ml
- Volumetric instruments of plastic, calibrated to deliver (TD, Ex) from 1 ml to 100 ml
- Density bottles of glass, from 1 cm3 to 100 cm3





















