ROCKVILLE ROCKFORCE W4 384 Channel wireless DMX Lighting Controller
ROCKVILLE ROCKFORCE W4 384 Channel wireless DMX Lighting Controller
Thank you for purchasing this Rockville ROCKFORCE W4 384 Channel Wireless DMX Lighting Controller + MIDI Control.
Please read this guide carefully for proper use of your Rockville ROCKFORCE W4. Should you need technical assistance, please call our technical help line at 1-646-758-0144, Monday through Friday, 9am to 5pm EST.
IMPORTANT SAFETY INSTRUCTIONS
- To reduce risk of electric shock, never open the unit. There are no user serviceable parts, refer service to an authorized Rockville service center.
- Do not expose this unit to any kind of moisture.
- Please ensure that the unit is situated in a properly ventilated area.
- Make sure the unit is placed on a level and stable surface.
Functions
Front Panel

- Channel Faders: For adjusting DMX values. Channels 1 – 6 can be adjusted immediately after pressing the respective scanner select button.
- Scan Select Button: In manual mode, press to toggle between scan levels: 1 – 12/12 – 24.
- Mode LED Indicators: Provide operating mode status ( Blackout, Step, Program, Music trigger, and Auto trigger).
- LED Display: Shows the active scene and bank number, current chase and step number, fader level settings, and shows the status for various other func-tions. When adjusting faders the display shows the current level setting. You can select how the level settings are shown (0 – 255 or 0% – 100%) by pushing TAPSYNC/DISPLAY.
- Speed Fader: Will adjust the speed of scenes or a step within a chase. The display will show the setting in seconds.
- Fade Time Fader: Adjusts the fade time for scenes and chases. The display will show the setting in seconds.
- BLACKOUT: Disables all DMX channel output and turns blackout mode on/off.
- TAPSYNC/DISPLAY: TAPSYNC: Controls the speed of scenes or chases. Press the button at the rate you want the chase or scenes to run at. This is as an alternative to using the SPEED fader. The display will show the result in seconds. DISPLAY: Switches the display between STEP and BANK. In other modes it switches the output level display to show 0 – 225 or 0% – 100%.
- Chase Selectors: Selects a chase for programming or playback.
- MUSIC/BANK Copy: MUSIC: Turns on Music Auto-Run. An internal micro-phone is used to synchronize chases or scenes to music. There is an indicator on the display showing when music trigger mode is active.
BANK: In program mode pushing this button will copy the contents of one scene bank to another bank. - AUTO/DEL: AUTO: Activates Auto-Run triggering for chases or scenes. The display has an LED indicator that shows when Auto-Mode is active.
DEL: In program mode this button will delete scenes, complete banks of scenes, chase steps, or complete chases. 3 - MIDI/ADD: MIDI: Turns MIDI mode on/off and selects the MIDI address. ADD: In program mode pushing the MIDI/ADD button will record a chase step or scene setting on the display showing when music trigger mode is active.
- Program: Used to place the unit in programming mode to create /record scenes and chases. Press and hold for 3 seconds to turn programming mode on /off. An indicator on the display shows when program mode is active. The unit will go into blackout mode when exiting program mode. Push the blackout button (item 14) to turn it off.
- Bank Up/Bank Down Buttons: Selects a scene bank. The third and fourth digits on the display show the currently active bank number (01 – 30). Also used for some chase programming operations.
- Scene Selectors: These buttons allow you to select a scene in the scene bank for programming or playback. The current scene is shown on the display.
- Fixture (Scanner) Selectors: Used to select one or more of the 24 fixtures. Each one is a block of 16 DMX channels. These selectors are used in program-ming mode and manual mode.
Rear Panel

- MIDI IN: For external triggering of banks and chases using a MIDI device .
- DMX OUT: Outputs main control signal to fixtures and other DMX devices.
- DC Input Connector: plug in the external power supply here. DC 9V – 12V, 300mA minimum.
- USB Lamp Socket
- Power Switch: Turns the unit on/off and can be used with other buttons to erase scenes and chases.
- Wireless Mode Power: turns wireless mode on/off.
- Wireless ID Button: Press this button to activate wireless connectivity and to set the wireless group.
- Antenna Port: plug in antenna for wireless functionality.
Wireless Transmitter Function
The ROCKFORCE W4 features seven individual wireless groups so you can organize your fixtures. Each group is represented by a color. Use the Wireless ID button to select any one of the seven available group colors. Make sure all the other fixtures within that group are set to the same group color.
Connecting to Wireless Transmitter
- Power on the ROCKFORCE W4 and then power up your wireless reciever(s).
- Now turn on the Wireless ID feature on the ROCKFORCE W4 (item 7 on the previous page). The LED will begin to flash red indicating that the unit is in par-ing mode.
- Use the black button located under the Wireless ID LED indicator to set the wireless ID key. Match the color on your receiver(s) wireless DMX indicator to the transmitter. For example, if your wireless DMX fixture’s LED is green, then you have to set your ROCKFORCE W4 to the same wireless ID color.
Please note: If you are using multiple groups, each group must be set to a dif-ferent wireless ID. - Once a connection is established, the red LED on the transmitter will flash red and the LED on the receivers will flash green indicating that the units are proper-ly communicating.
Fixture Channel Assignments
The controller is programmed to control 32 channels of DMX per fixture, there-fore the fixtures you wish to control with the corresponding SCANNER buttons on the unit, must be spaced 16 channels apart.
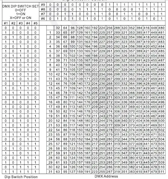
Each fixture must be set to accommodate the DMX assignment. This is usually done using DIP switches on the fixture. Refer to the individual owner’s manual of the fixture for exact instructions. This information may also appear on a chart on the fixture. If you set multiple fixtures to the same addresses then they will respond to the controller as one fixture.
Fixture Functions
You will need to know which channel within a fixture is assigned to each fixture function (pan, tilt, color, dimming, etc.). This information is normally given in the fixture’s owner’s manual.
Operating Fixtures Manually
To manually control a fixture push the corresponding fixture button in the Scan-ners section. This will activate the LED indicator and enable the channel faders. If you are using a fixture with more than 8 channels, press the PAGE A/B button to access the other channels. Multiple fixtures can be selected and controlled together. To de-select a fixture, press the corresponding button.
DMX Connections
There are 512 channels in a DMX-512 connection. Channels may be assigned in any manner. A fixture capable of receiving DMX-512 will require one or a number of sequential channels. The user must assign a starting address on the fixture that indicates the first channel reserved in the controller. There are many differ-ent types of DMX controllable fixtures and they will all vary in the total number of channels required. Choosing a start address should be planned in advance.
Channels should never overlap. If they do, this will result in erratic operation of the fixtures whose starting address is set incorrectly. You can however, control-multiple fixtures of the same type using the same starting address as long as the intended result is that of uniform movement or operation. In other words, the fixtures will be slaved together and all respond exactly the same.
When using multiple DMX devices, they should be connected together as a chain of devices. The devices should be wired in a daisy chain fashion, meaning the control cable will go from the controller to the first fixture and then to other fixtures. Most fixtures have a DMX IN and a DMX OUT port for this purpose. Do not split the control cable into a multiple run star arrangement with a cable running from the controller directly to each fixture.
DMX Connector Pin Assignments
There are two types of DMX cables, 3-pin or 5-pin, and they feature XLR type connectors. This unit transmits from a 3-pin female connector on the back edge of the unit. If your fixtures use 5 pin connectors, we recommend you acquire
a 3-pin male XLR to 5-pin female XLR adapter. Some fixtures use a reversed signal scheme. This means the DATA – and DATA + pins are reversed. This unit features a reversing switch on the back so as to accommodate those types
of fixtures. The table below shows the pin assignments for both normal and reversed operation.
XLR Connection
DMX OUTPUT
XLR MOUNTING SOCKET

- Ground
- Signal (–)
- Signal (+)
DMX OUTPUT
XLR MOUNTING PLUG

- Ground
- Signal (–)
- Signal (+)
DMX Termination
In controller mode, the last fixture of a DMX chain has to be “terminated”. This prevents electrical noise from disturbing and corrupting the DMX control sig-nals. To terminate the last fixture solder a 1/4 Watt, 120 Ohm resistor across the DATA – and DATA + wires. The connections are illustrated below. If you are only connecting a few fixtures which are close together and use a short run to the controller, you maybe able to operate without a terminator.
DMX Termination Diagram
If you wish to connect DMX controllers with other XLR outputs, you need to use and adapter cable.
Pan and Tilt Channels
Because not all intelligent lighting fixtures are alike or share the same control attributes, the controller allows the user to assign the wheel the correct pan and tilt channel for every individual fixture. All pan/tilt settings can be reassigned to output on a different DMX channel. Press AUTO/DEL buttons to delete the chan-nel assignments.
- Press the desired chase button then press PROGRAM and TAPSYNC/DISPLAY buttons to choose a DMX channel.
- Press a SCANNER button or PAGE SELECT button that represents the fixture whose faders you would like to reassign.
- Move one of the faders to select the pan channel.
- Press the TAPSYNC/DISPLAY button to select pan/tilt.
- Move one of the faders to select the tilt channel.
- Press and hold PROGRAM and TAPSYNC/DISPLAY buttons to exit and save settings. All LEDs will blink indicating completion of the operation.
Resetting the System
To reset the controller to its factory defaults follow the steps below.
- Turn off the unit.
- Press and hold the BANK UP and AUTO/DEL buttons while simultaneously turning on the unit.
Assigning Fade Time
You can choose the board’s fade time during scene execution is implemented broadly to all output channels or only to the pan/tilt movement channels. This is relevant because often you will want gobos and colors to change quickly while not affecting the movement of the light.
- Turn off the unit.
- Hold the BLACKOUT and TAPSYNC/DISPLAY buttons simultaneously.
- Turn on the controller.
- Press the TAPSYNC/DISPLAY button to toggle between the two modes (all channels or pan/tilt only).
- Press BLACKOUT and TAPSYNC/DISPLAY buttons to save settings. All LEDs will blink indicating completion of the operation.
Programming Scenes
There are a total of 30 scene banks, each containing 8 scenes which are pro-grammable. Only one bank may be selected at any time. Press and hold PRO-GRAM button for 3 second to activate program mode. The display PROGRAM indicator will continuously flash while in program mode. Please note that all scene record, edit, delete, and copy functions are done in the program mode.
Recording a Scene
- Position the SPEED and FADE TIME sliders all the way down.
- Select the SCANNERS you wish to include in your scene.
- Adjust the appropriate faders to set the desired output level for each channel.
- Press MIDI/ADD button.
- Choose a BANK, 01 – 30, to change (if necessary).
- Select a SCENES button to store.
- Repeat steps 3 to 7 to record other scenes. You can record up to 8 scenes in a program.
- Exit program mode by pressing and holding down PROGRAM for 3 seconds.
Running a Scene
- Use the BANK UP/BANK DOWN buttons to change program banks if necessary.
- Press the AUTO/DEL button until the AUTO LED is on.
- Adjust the PROGRAM speed via the SPEED Fader and the loop rate via the FADE TIME fader.
- Adjust the chase speed by tapping the TAPSYNC/DISPLAY button twice at a specific rate. The time between the two tops will determine the chase speed. The maximum time is 10 minutes.
Edit a Scene
- Use BANK UP/BANK DOWN buttons to change program banks if necessary.
- Select desired scene within the bank by pushing the corresponding SCENES button (1 – 8).
- Select the fixture(s) to be affected by pushing the associated SCANNERS buttons.
- Adjust the appropriate faders to set the desired output level for each channel.
- Push MIDI/ADD button to prepare to save.
- Push the SCENES button used in step 2 to store the edited scene. When storing is complete, the display will flash briefly.
- De-select any fixtures you have used during editing and exit PROGRAM mode.
Check a Scene
- Select desired scene within the bank by pushing the corresponding SCENES button (1 – 8).
- Press the SCENE button to review each scene individually.
Insert a Scene
- Select desired chase button, 1 – 6.
- Press the TAPSYNC/DISPLAY button switch the LED display to steps view.
- Use BANK UP/BANK DOWN buttons to navigate steps and locate the insert point of the new scene. The display will read the step number.
- Press MIDI/ADD button to prepare the insert.
- Use the BANK UP/BANK DOWN button to locate the scene.
- Press the SCENE button that corresponds to the scene to be inserted.
- Press MIDI/ADD button to insert the scene. All LEDs on the controller will blink.
Copy a Scene
You can copy the contents of a scene to another scene in the same or different bank.
- Use BANK UP or BANK DOWN to select the bank from which you wish to copy a scene.
- Select desired scene within the bank by pushing it’s SCENES button, 1 – 8.
- Push MIDI/ADD to copy the scene.
- Select the bank which you want to copy to using BANK UP or BANK DOWN.
- Push the SCENES button to complete the operation. All LEDs on the controller will flash briefly indication the operation has been completed.
Copy a Bank of Scenes
Copy the entire contents of a scene bank to another bank.
- Select the bank from which you wish to copy by using BANK UP or BANK DOWN.
- Push MIDI/ADD.
- Select the bank to which you wish to copy by using BANK UP or BANK DOWN.
- Push MUSIC/BANK COPY to complete the operation. All LEDs on the control-ler will flash briefly indication the operation has been completed.
Copy Fixture Settings
You can copy the settings of a fixture to another while programming a scene.
- Hold down the SCANNERS button of the selected fixture.
- Now push the SCANNERS button of the fixture to which the settings will be copied.
- Release the first SCANNER button and then release the second button.
- All SCANNER LED indicators will flash to indicate completion of the copying process.
Delete a Scene
This will set all channels of all fixtures associated with the scene to zero output level.
- Select the bank which contains the scene you want to delete using BANK UP or BANK DOWN.
- Hold down AUTO/DEL and push the SCENES button, 1 – 8, to delete the desired scene. All LEDs will flash briefly indicating that the operation has been completed.
Delete all Scenes in a Bank
- Press and hold the PROGRAM and the BANK DOWN buttons while turning the power off.
- Turn the controller on. This process is irreversible and all scenes will be set to 0.
Clear all Scenes
This will delete all the scenes in all of the banks.
- Turn the unit off. Now turn the power on while simultaneously holding down the PROGRAM and BANK DOWN buttons.
- Keep holding down the buttons until the display flashes briefly indicating that the scenes have been cleared.
Programming Chases
There are 6 user programmable chases and each one includes up to 240 steps.
Each chase step consists of a scene which has already been recorded. A chase step can utilize any scene in any bank. Any scene can be used in multiple chase steps and multiple chases.
Record a Chase
- Select a chase, 1 – 6, by pressing the corresponding CHASE button.
- Select the scene bank which contains the scene to be used for the chase step using BANK UP or BANK DOWN.
- Select the scene to insert by pushing its SCENES button (1 – 8).
- Press the MIDI/ADD button to store the chase.
- Repeat steps 2 – 4 as many times as needed to record additional steps in the selected chase. You can record up to 240 steps.
- Press and hold PROGRAM for 3 seconds to exit program mode.
Running a Chase
- Press the CHASE button then press the AUTO/DEL button.
- Adjust the chase speed by tapping the TAPSYNC/DISPLAY button twice at a specific rate. The time between the two tops will determine the chase speed. The maximum time is 10 minutes.
Checking a Chase
- Press the desired CHASE button.
- Press the TAPSYNC/DISPLAY button to switch the LED display to steps.
- Review each scene/step individually by using the BANK UP/BANK DOWN buttons.
Copy a Bank to a Chase
Copy the contents of a bank into a chase.
- Select the chase you wish to copy to by pressing the corresponding CHASE button.
- Use BANK UP or BANK DOWN to select the bank from which you wish to copy.
- Press the MUSIC/BANK COPY button to prepare to copy.
- Push MIDI/ADD and the LEDs will blink indicating that the scene has been copied.
Copy a Scene to a Chase
Copy a scene into a chase.
- Select the chase you wish to copy to by pressing the corresponding CHASE button.
- Use BANK UP or BANK DOWN to select the bank that contains the scene to be copied.
- Press the SCENE button that corresponds to the scene to be copied.
- Push MIDI/ADD and the LEDs will blink indicating that the scene has been copied.
Insert Step into a Chase
- Select a chase, 1 – 6, by pressing the corresponding CHASE button.
- Press TAPSYNC/DISPLAY and the display will show the step.
- Use BANK UP or BANK DOWN buttons to navigate steps and locate the insert point of the new scene.
- Press MIDI/ADD button to prepare the insert.
- Press the SCENES button, 1 – 8, to select the scene you wish to insert. If the scene you wish to insert is in a different bank, use BANK UP or BANK DOWN to select the desired bank.
- Push MIDI/ADD to insert the scene. All the LEDs will blink indicating that the scene has been copied.
Delete a Scene/Step in a Chase
- Select a chase, 1 – 6, that contains the scene to be deleted.
- Press TAPSYNC/DISPLAY button to switch the LED display to steps.
- Use BANK UP or BANK DOWN to advance to the scene/step you wish to delete.
- Push AUTO/DEL button to delete the step/scene. All LEDs will blink.
Delete a Complete Chase
- Press and hold the CHASE button corresponding to the chase you wish to delete.
- Now also press AUTO/DELETE. All LEDs will blink.
- Release both buttons.
Clear all Chases
This sequence will delete all the steps of all the chases. It does not clear scenes.
- Turn the unit off.
- Turn the power on while simultaneously pressing and holding the BANK DOWN and AUTO/DEL buttons.
- Keep holding down the buttons until all LEDs flash indicating that the chases have been cleared.
Operating Scenes
When the ROCKFORCE W4 is turned on, it defaults to manual scene mode with bank 1, scene 1 active.
Manual Mode
The manual mode allows direct control of all scanners. You are able to move them and change attributes by using the channel fader. All changes made while in Manual mode are temporary and will not be recorded.
- Press the AUTO/DEL button repeatedly until the MANUAL LED is lit.
- Select a SCANNER button.
- Move the faders to change fixture attributes. Press the TAPSYNC/DISPLAY button to toggle the output indicator in the LED display between DMX values (0 – 255) and percentage (0 – 100%).
Review Scene or Chase
This instruction assumes that you have already recorded scenes and chases on the controller. Otherwise skip section and go to programming.
Scene Review:
- Select any one of the 30 banks by pressing the BANK UP/BANK DOWN buttons.
- Select a SCENE button, 1 – 8, to review.
- Move wheel and faders to change fixture attributes.
Chase Review:
- Select any one of the 6 CHASE buttons.
- Press the TAPSYNC/DISPLAY button to view the step number on the display.
- Press the BANK UP/BANK DOWN buttons to review all the scenes in a chase.
Run a Bank of Scenes Automatically
The scene Auto-Run function will continuously cycle through a bank of scenes. The operator can control the speed and scene fade time. To adjust the speed use the TAPSYNC button or the SPEED fader. To control the fade time use the FADE TIME fader. Scenes can also be synchronized to music or MIDI note triggering.
- Select the appropriate scene bank using BANK UP or BANK DOWN.
- Push AUTO/DEL. This will cause the scene Auto-Run to begin cycling and the AUTO TRIGGER indicator on the display will light.
- Adjust the speed and fade time as needed. If you set your speed faster than the fade time then the scenes will advance before the fade is complete.
- You can switch to another bank at any time using BANK UP and BANK DOWN.
- To stop Auto-Run press the AUTO/DEL button. The AUTO TRIGGER indicator on the display will go OFF.
Run Scenes Automatically with Music Sync
This unit has an internal microphone which can be used to Auto-Run scenes with music synchronization.
Scene Music Auto-Run
- Press MUSIC/BANK COPY. The MUSIC TRIGGER indicator on the display will light.
- To switch to a different scene bank use BANK UP or BANK DOWN.
- You can adjust the duration time using the FADE TIME fader.
- To stop Music Auto-Run press the MUSIC/BANK COPY button.
Operating Chases
Chases can be run in Manual, Auto-Run, and Music Auto-Run modes.
Manual Chase Operation
This is used to manually step through a chase. It is done in program mode and is useful when creating or editing chases.
- Press and hold the PROGRAM button to enter program mode. The display PRO-GRAM indicator will continuously flash while in program mode.
- Select a chase, 1 – 6, by pushing the appropriate CHASE button.
- Press TAP/SYNC and the display will show the chase and step numbers. The display STEP indicator will light.
- Use the BANK UP and BANK DOWN buttons to cycle through the chase steps.
- When finished, press and hold PROGRAM for 3 seconds to exit the program mode.
Run a Chase Automatically
The chase Auto-Run function will continuously cycle through a chase. Multiple chases can be run together and in the order selected.
- Select a chase, 1 – 6, by pressing the appropriate CHASE button. You can select more than one.
- Push AUTO/DEL. The AUTO TRIGGER indicator in the display will light and the chase(s) will run.
- Adjust the chase speed by tapping the TAPSYNC/DISPLAY button twice at a specific rate. The time between the two tops will determine the chase speed. The maximum time is 10 minutes.
- To stop chase Auto-Run press the AUTO/DEL button. The AUTO TRIGGER indi-cator on the display will go OFF. If all the chases are turned off before you turn off Auto-Run, the unit will default to the scene Auto-Run in the last accessed scene bank.
Chase Music Auto-Run
- Press MUSIC/BANK COPY. The MUSIC TRIGGER LED on the display will light.
- Select a chase, 1 – 6, by pressing the appropriate CHASE button. Or you can select several CHASE buttons in sequence and all selected chases will loop in the order in which they were selected.
- You can adjust the duration time using the FADE TIME fader.
- To stop Music Auto-Run press the AUTO/DEL button. The MUSIC TRIGGER indicator on the display will go OFF.
MIDI Control Activation
The controller will only respond to MIDI commands on the MIDI channel which is set to full stop. The ROCKFORCE W4 uses MIDI “Note on” commands to execute scene and chase function. All other MIDI instructions are ignored. You may have to use a MIDI keyboard to send the correct notes. To stop a chase, send the blackout on note.
- Press and hold the MIDI/ADD button for about to 3 seconds.
- Select MIDI control channel, 1 – 16, via the BANK UP/BANK DOWN buttons to set.
- Press and hold the MIDI/ADD button to save settings.
- To release MIDI control, press any other button except the BANK buttons during step 2.
The table below shows the functions which can be controlled by MIDI.


DMX Dip Switch Quick Reference Chart
Dip Switch position
Features and Specifications
- ROCKFORCE W4 384 Channel Wireless DMX Lighting Controller + MIDI Controls
- Built in wireless DMX transmitter and antenna
- Model DMX-WRE receiver is compatible with this unit (available at RockvilleAudio.com)
- This is also compatible with all of our wireless DMX lights
- Also compatible with wireless DMX lights made by Chauvet, American DJ, and more
- Controls 24 intelligent lights of 16 channels each
- 30 Banks of 8 programmable scenes
- 384 DMX channels of control
- Record Up to 6 Chases With Fade Time and Speeds
- 6 Programmable chases of 240 scenes
- 16 Sliders for manual control of channels
- Run last CHASE or BANK continuous when power on again.
- Midi control over banks, chases and blackout
- LED function and program display
- Built-in microphone for music triggering
- Auto mode program controlled by fade time sliders
- 4-bit LED display
- LED gooseneck Light plugs into USB
- Rubberized end pieces (detachable)
- 4u rack mountable
- Does it have wired dmx in and out
- Manual Override Allows You to Grab Any Fixture on the Fly
- Reversible DMX Channels Allows Fixture to React Opposite to Others in a Chase
- Power Supply: 110 – 240Vac, 50 – 60Hz (DC 9V – 12V)
- Electric current: No less than 300mA
- Power Consumption: 10W
- Control Signal: DMX512
- Control Channels: 384CH
- Product Dimensions (L x W x H): 20.7˝ x 7.4˝ x2.9˝
- Product Weight: 6.2 lbs
Wireless DMX Features
- Daisy-chain multiple lights using master/slave mode and use one receiver to control all of the connected lights. This setup requires one receiver or if your light has the receiver built in it requires nothing else additional.
- Each light can have a receiver built in (or use our DMX-WRE on each light) and each light will have its own channels on the controller so they can all be controlled independently (this can be done with up to 7 lights/groups).
- Makes it easy to set up all of your lights without a mess of wires!
- Controls work without any delay. These are extremely reliable
- The product uses the 2.4GHz frequency band
- Efficient GFSK modulation with 126 channel high-speed frequency hopping (FHSS). Hops 1100 times per second for interference-free operation
- 3-color LED displays status and parameters
- One-touch operation
- 7 selectable groups of lights can be controlled independently
- Connect up to 25 receivers
- Requires you to hold the button to change linking – this prevents accidental un-linking
- System information – CPU: 32-bitARM Core
- Distance: 1968 feet (600 meters)
- Modulation: GFSK maximum transmit power: 23 dBm
- Receiver sensitivity: -94 dBm
Glossary of Common Terms
- Blackout: a state where all lighting fixture’s light output is set to ) or off, usually on a temporary basis.
- DMX-512: an industry standard digital communication protocol used in entertainment lighting equipment.
- FIXTURES: refers to your lighting instrument or other device such as a fog machine
or dimmer which you can control. - Programs: are numerous scenes stacked one after another. It can be programmed as either a single scene or multiple scenes in sequence.
- Scenes: are static lighting states.
- Sliders: also known as faders.
- Chases: can also be called programs. A chase consists of numerous scenes stacked one after another.
- Scanner: refers to a lighting instrument with a pan and tilt mirror; however, in the ILLS-CON controller it can be used to control any DMX-512 compatible device as a generic fixture.
- MIDI: is a standard for representing musical information in a digital format. An MIDI input would provide external triggering of scenes using an MIDI device such as a MIDI keyboard.
- Stand Alone: refers to a fixture’s ability to function independently of an external controller and usually in sync to music, due to a built-in microphone.
- Fade: a slider used to adjust the time between scenes within a chase.
- Speed: a slider that affects the amount of time a scene will hold its state. It is also known as a “wait time”.
- Shutter: a mechanical device in the lighting fixture that allows you to block the lights path. It is often used to lessen the intensity of the light output and to strobe.
- Patching: refers to the process of assigning fixtures a DMX channel.
- Playbacks: can be either scenes or chases that are directly called to execution by the user. A playback can also be considered program memory that can be recalled during a show.
FEDERAL COMMUNICATIONS COMMISSION COMPLIANCE INFORMATION Responsible party name: Rockville
Address: 600 Bayview Ave,
Entrance A, Inwood, NY 11096
Hereby declares that the product(s) Rockville ROCKFORCE W4 384 Channel Wireless DMX Lighting Controller + MIDI complies with FCC rules as mentioned in the following paragraph:
This device complies with Part 15 of the FCC rules. Operation is subject to the following two conditions: (1) this device may not cause harmful interference, and (2) this device must accept any interference received, including interference that may cause undesired operation.
Note: This equipment has been tested and found to comply with the limits for a Class B digital device, pursuant to Part 15 of the FCC rules. These limits are designed to provide reasonable pro-tection against harmful interference in a residential installation. This equipment generates, uses and can radiate radio frequency energy and, if not installed and used in accordance with the instruc-tions, may cause harmful interference to radio communications. However, there is no guarantee that interference will not occur in a particular installation. If this equipment does cause harmful interference to radio or television reception, which can be determined by turning the equipment off and on, the user is encouraged to try to correct the interference by one or more of the following measures:
- Reorient or relocate the receiving antenna.
- Increase the separation between the equipment and receiver.
- Connect the equipment to an outlet on a circuit different from that to which the receiver is connected.
- Consult the dealer or an experienced radio/TV technician for help.




















