VONROC EH519AC Electric Bladeless PtC Heater Instructions

Original Instructions
This product is only suitable for well insulated spaces or occasional use.


SAFETY INSTRUCTIONS
Read the enclosed safety warnings, the additional safety warnings and the instructions. Failure to follow the safety warnings and the instructions may result in electric shock, fire and/or serious injury. Save the safety warnings and the instructions for future reference.
The following symbols are used in the user manual or on the product:
GENERAL SAFETY WARNINGS
This appliance can be used by children aged from 8 years and above and persons with reduced physical, sensory or mental capabilities or lack of experience and knowledge if they have been given supervision or instruction concerning use of the appliance in a safe way and understand the hazards involved. Children shall not play with the appliance. Cleaning and user maintenance shall not be made by children without supervision.
Children of less than 3 years should be kept away unless continuously supervised. Children aged from 3 years and less than 8 years shall only switch on/off the appliance provided that it has been placed or installed in its intended normal operating position and they have been given supervision or instruction concerning use of the appliance in a safe way and understand the hazards involved. Children aged from 3 years and less than 8 years shall not plug in, regulate and clean the appliance or perform user maintenance.
CAUTION — Some parts of this product can become very hot and cause burns. Particular attention has to be given where children and vulnerable people are present.
ADDITIONAL SAFETY WARNINGS FOR ELECTRIC HEATER
- Children should be kept away unless continuously supervised to ensure that they do not play with the heater.
- Children shall not plug in, position, operate, regulate and clean the appliance or perform user maintenance.
CAUTION-some parts of this product can become very hot and cause burns. Particular attention has to be given where children and vulnerable people are present- The heater is not suitable for use outdoors in damp weather, in bathrooms or in other wet or damp environments.
- Please note that the heater can become very hot and should, therefore, be placed at a safe distance from flammable object such as furniture, curtains and similar.
- Use handle when moving this heater.
- Do not move the heater when it is heated. Allow the product to thoroughly cool before handling it.
- Do not cover the heater. · The heater must not be located immediately below a socket outlet.
- Do not connect the heater using an on/off timer or other equipment which can automatically switch the device on.
- The heater must not be placed/used in rooms where flammable liquids or gases are used or stored.
- If an extension cord is used, it must be as short as possible and always be fully extended.
- You must not connect other appliances to the same mains socket as the heater.
- Do not use the heater in immediate surroundings of a bath, a shower or a swimming pool.
- If the supply cord is damaged, it must be replaced by the manufacturer, its service agent or similarly qualified persons in order to avoid a hazard.
- Make sure the heater is always under surveillance and keep children and animals away from it.
- Do not place/use the heater on moving vehicles or some where easy to be tripped over.
- When the heater is not used for a long time, unplug the heater form its means. Pull the plug straight out, never remove the plug by pulling the cord. • Keep the heater far from curtain or places where the air inlet van easily be blocked.
- The power coupler is waterproof when not in use. In order to prevent possible electric shock or leakage current, never use the heater with wet hand or operate the heater when there is water on the power cord.
- Do not dispose of electrical appliances as unsorted municipal waste, use separate collection facilities. Contact your local government for information regarding the collection systems available. If electrical appliance are disposed of in landfills or dumps, hazardous substances can leak into the groundwater and get into the food chain, damaging your health and well-being.
- This appliance is not intended for use by persons (including children) with reduced physical, sensory or mental capabilities, or lack of experience and knowledge, unless they have been given supervision or instruction concerning use of the appliance by a person responsible for their safety.
Warning! Do not use this heater in small rooms when they are occupied by persons not capable of leaving the room on their own, unless constant supervision is provided.
Warning! To reduce the risk of fire, keep textiles, curtains, or any other flammable material a minimum distance of 1 m from the air outlet.
Electrical safety
When using electric machines always observe the safety regulations applicable in your country to reduce the risk of fire, electric shock and personal injury. Read the following safety instructions and also the enclosed safety instructions.
Always check that the voltage of the power supply corresponds to the voltage on the rating plate label.
If operating a power tool in a damp location is unavoidable, use a residual current device (RCD) protected supply. Use of an RCD reduces the risk of electric shock.
MACHINE INFORMATION
Intended use
The electrical heater is intended for indoor, non-commercial, household use for temporarily heating residential rooms. Do not use the product for any other purpose. The heater can be used in enclosed rooms in a free standing position for room heating. The heater may only be used completely mounted and standing vertically on a stable surface. It incorporates a thermostat and a self-resetting thermal cut-out to control the heating element and therefore the temperature.
TECHNICAL SPECIFICATIONS
| Model No. | EH516AC |
| Power supply | 220-240 V ~/ 50Hz |
| Power rating | 2000 W |
| Settings | Fan / 1300 W / 2000 W |
| Temperature range | 15 – 40°c |
| Timer | 1 – 12 hour |
| Heating capacity | 20 m² |
| Protection class | Class II |
| Length of cord | 1.6 m |
| Weight | 1.7 kg |
DESCRIPTION
The numbers in the text refer to the diagrams on page 2-4.
- Heater
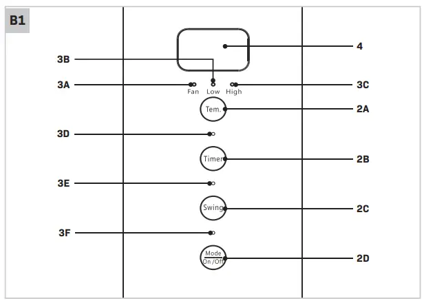
- LED control panel and display
A. Ambient light on/off
B. Temperature button
C. Temperature indicator
D. WIFI status indicator
E. Mode button
F. On/off button
G. High heating indicator
H. Low heating indicator
I. Fan indicator
J. Oscillation button
K. Oscillate indicator
L. Timer indicator
M.Timer button
N. Temperature - Air outlet grille
- Base
- Ambient light
- Handle
- Air inlet
- Main switch
- Remote control
A. On/off button
B. Mode button
C. Timer button
D. Oscillation button
E. Ambient light on/off
F. Temperature increase button
G. Temperature decrease button - Temperature increase button
- Temperature decrease button
OPERATING
Check the device for damage before use and only use in good working condition. When using the heater for the first time, you may notice a slight emission of smoke. This is quite normal and it stops after a short time. The heating element is made of stainless steel and was coated with protection oil by production. The smoke is caused by the left oil when heated.
Placing the electric heater (Fig. B, C, D)
- Dismount the screw (Fig. B).
- Put the base together (Fig. C). Attach the base to the heater (Fig. D). Make sure that the holes in the base correspond to the protruding parts of the heater. To avoid damage, put the heater on a soft and clean blanket.
- Mount the screw (Fig. D).
- Place the heater upright on a firm and a level surface.
- Keep a minimum distance of 1 m between the front of the housing and walls, and 30 cm from all other housing surface areas. Keep away from wet environments.
Warning! Make sure to place the heater in a safe spot, so you cannot easily trip over the machine and cable. Make sure to place the heater where it cannot fall down / of.
Starting the electric heater (Fig. A, E, F)
- Plug in the cable to the mains power outlet.
- Turn the main switch (8) on.
- Press the on/off button (2F, 9A) to start the heater. The default heating mode is fan, the fan indicator (2I) will light up. Press de mode button (2E, 9B) to change the heating mode.
- Fan: The fan indicator (2I) will light up.
- Low heating mode – 1300W: the low heating indicator (2H) will light up.
- High heating mode – 2000W: the high heating indicator (2G) will light up.
Adjusting the temperature (Fig. A, E, F)
- By default, the ambient temperature is shown on the display.
- By default, the temperature is 23 ⁰C. The temperature can be set between 15 ⁰C and 40 ⁰C.
- Set the temperature as desired by press the temperature button (2B).
- The target temperature will keep flashing for 3 seconds after the last button press, then the display will show the ambient temperature.
Constant room temperature
The heater starts and stops automatically to keep the room temperature constant. Once the ambient temperature in the room reaches the desired target temperature, the heating element will be in standby mode. Once the ambient temperature starts to decrease, the heating element will be switched on again.
Functions of the control panel (Fig. E)
The heater can be operate by the control panel (2).
The available functions are:
- Temperature button (2B): Press to increase the desired ambient temperature. When the maximum of 40 ⁰C is reached, it will start again at 15 ⁰C.
- On/off button (2F): Turns the heater on and off.
- Mode button (2E): Cycles between fan, low and high heating.
- Fan: The fan indicator (2I) will light up.
- Low heating mode – 1300W: the low heating indicator (2H) will light up.
- High heating mode – 2000W: the high heating indicator (2G) will light up.
- Oscillation button (2J): Press the oscillation button to activate the heater to swing. The oscillate indicator (2K) will light up.Press it again to
deactivate. - Timer button (2M): The timer can be set between 1 hour and 9 hours. The display will show the duration currently set. Press the timer button (2M) to set the timer with 1 hour intervals. The timer indicator (2L) will light up. Without a timer there is no limit.
- Light button (2A): Press the light button to change the colour of the ambient light. Cycles between blue, red, purple and off.
Functions of the remote control (Fig. F)
In addition to the before mentioned control panel operation, the heater can also be operated by the remote control (9). The available functions are:
- Temperature increase button (9F): Press to increase the desired ambient temperature.
- Temperature decrease button (9G): Press todecrease the desires ambient temperature.
- On/off button (9A): Turns the heater on and off.
- Mode button (9B): Cycles between fan, low and high heating.
- Fan: The fan indicator (2I) will light up.
- Low heating mode – 1300W: the low heating indicator (2H) will light up.
- High heating mode – 2000W: the high heating indicator (2G) will light up.
- Oscillation button (9D): Press the oscillation button to activate the heater to swing. The oscillate indicator (2K) will light up. Press it again to deactivate.
- Timer button (9C): The timer can be set between 1 hour and 12 hours. The display shows flashing the duration currently set for 5 seconds. Press the timer button to set the timer with 1 hour intervals. The timer indicator (2L) will light up. Without a timer there is no limit.
- Ambient light on/off (9E): Press the light button to change the colour of the ambient light. Cycles between blue, red, purple and off.
WIFI-operation
In addition to the before mentioned manual and remote operation, the heater can also be operated remotely over a WiFi network using your smart phone or tablet. The required app can be downloaded and used free of charge.
Downloading the app to your phone or tablet (Fig. G)
- Scan the QR-code (Fig. G) on your phone or tablet to download and install the “Smart Life” app
- If you can’t or don’t want to use the QR-code you may also install the app manually. To do this, visit the Google Play Store or Apple App Store on your phone or tablet. Search for the “Smart Life” app (Fig. G).
- After the app has been installed you will need a “Smart Life” account to login. If you do not yet have an account, you may create one (free of charge) by tapping the ‘Register’ button in the app.
Pairing your heater with the “Smart Life” app (Fig. H, I)
- Put the heater into stand-by mode and hold on the On/Off button (2F) for 5 seconds. The WIFI status indicator (2D) will start flashing.
- While the WiFi status indicator is flashing, open the app on your phone or tablet and press Add a Device.
- The app will search for nearby devices. If the heater does not appear you can add it manually. Select the device type, in this case Small appliances -> Heater. Confirm in the app that the WiFi status indicator on the heater is flashing.
- You will be prompted by the app to select a WiFi network and enter the WiFi password. The app will send these details to the heater, allowing the heater to establish a connection to your WiFi network.
Using the “Smart Life” app (Fig. J)
The “Smart Life” app can be used to control many different devices. The status of each device is displayed on the device list.
The following states are possible for the heater:
- Offline (The device is not powered, or not connected to the WiFi network).
- Turned Off (Power and network connection are available, heating is currently disabled).
- Turned On (Power and network connection are available, heating is enabled).
When the heater is online (either Turned Off or Turned On) tap the device name in the app to open the control interface.
Note: when the heater is offline you will not be able to open the control interface.
- Use the Mode button to change the operating mode of the heater. The available modes are:
- Cool: The fan indicator (2I) will light up.
- Low: The low heating indicator (2H) will light up.
- High: The high heating indicator (2G) will light up.
- Auto: The heater will select one of three modus based on set temperature and ambient temperature.
- Use the ‘+’ and ‘–’ buttons to adjust the target temperature
Tip-over switch (11)
This heater has an digital tip-over protection. This protection ensures when the heater is not placed upright on a firm and level surface or when the heater tip over, the system will automatically shut the heater off. If this occurs, put the heater on a firm and level surface and start the heater again.
Automatic Overheat Safety Control
This heater is equipped with safety internal heat limiting thermostat and overheat protection circuit. When a potential overheat temperature is reached, the system will automatically shut the heater off. If this occurs, the heater can only resume after resetting it. To reset the heater: Unplug the heater and wait at least 30 minutes to cool down before restarting the heater.
Stopping the electric heater
Let the machine cool down before turning off by using the ventilation function.
- Press the on/off button (2F).
- The fan mode will start and will cool down the heater for 30 seconds. The display will show the duration.
- Pull the plug out of the mains power outlet.
Storing the electric heater
- Always let the heater cool down completely before storing the machine.
- Never wrap the cable around the heater.
Warning! Never store the machine in a wet or dusty environment
MAINTENANCE
Before cleaning and maintenance, always switch off the machine and remove the mains plug from the mains.
Cleaning
Let the machine cool down completely before cleaning.
- Clean the heater with a (lightly damp) cloth, brush or vacuum cleaner.
- In order to protect the enclosure, don’t splash water onto the heater, and never use a solvent like gasoline, isoamyl acetate, toluene, etc. to clean the heater.
- Clean the air inlet and outlet (4, 7) regularly with a vacuum cleaner.
- When you store the heater, let it cool down first and, keep it dry.
Trouble shooting
In case the electric heater does not work well, we give you subjoined some possible causes and their solutions.
| Problem | Possible cause | Treatment |
| The heater does not operate, even when it is plugged in and the switch, thermostat are switched on. | The plug is loose, bad connection | Pull out the plug, check the connection of the plug and socket. Then connect again. |
| No power in socket outlet | Insert the plug in a proper socket | |
| The heating element glowing | The input voltage is too high or too low | Use power supply according to the rating on the label |
| The air inlet grill is blocked | Keep the heater far way from articles like curtain, plastic bag, paper and other things which can cover the inlet or can be easily cover on the air inlet | |
| The appliance didn’t heat up, only ventilator worked | The switch was not put at heating setting | Turn the switch to heat setting |
| The thermostat operated | Turn the thermostat and listen if there is open/close voice. If there is no click and the thermostat is not damaged, the heater will automatic switch on when the appliance cooled down | |
| The self-retting cut-out operated | Turn the heater off and inspect the blockage of inlet or outlet. Disconnect the plug and wait at least 10 minutes for the protection system to reset before attempting to restart the heater. | |
| Abnormal noise | The appliance is not stands upright | Put the heater on a level surface |
ENVIRONMENT
Faulty and/or discarded electrical or electronic apparatus have to be collected at the appropriate recycling locations.
Only for EC countries
Do not dispose of power tools into domestic waste. According to the European Guideline 2012/19/EU for Waste Electrical and Electronic Equipment and its implementation into national right, power tools that are no longer usable must be collected separately and disposed of in an environmentally friendly way.
WARRANTY
VONROC products are developed to the highest quality standards and are guaranteed free of defects in both materials and workmanship for the period lawfully stipulated starting from the date of original purchase. Should the product develop any failure during this period due to defective material and/or workmanship then contact VONROC directly.
The following circumstances are excluded from this guarantee:
- Repairs and or alterations have been made or attempted to the machine by unauthorized service centers;
- Normal wear and tear;
- The tool has been abused, misused or improperly maintained;
- Non-original spare parts have been used.
This constitutes the sole warranty made by company either expressed or implied. There are no other warranties expressed or implied which extend beyond the face hereof, herein, including the implied warranties of merchantability and fitness for a particular purpose. In no event shall VONROC be liable for any incidental or consequential damages. The dealers remedies shall be limited to repair or replacement of nonconforming units or parts.
The product and the user manual are subject to change. Specifications can be changed without further notice.
| Model identifier(s): EH516AC | |||||
| Item | Symbol | Value | Unit | Item | Unit |
| Heat output | Type of heat input, for electric storage local space heaters only (select one) | ||||
| Nominal heat output | Pnom | 1.8 | kW | manual heat charge control, with integrated thermostat | No |
| Minimum heat output (indicative) | Pmin | 1.3 | kW | manual heat charge control with room and/ or outdoor temperature feedback | No |
| Maximum continuous heat output | Pmax,c | 1.8 | kW | electronic heat charge control with room and/or outdoor temperature feedback | No |
| Auxiliary electricity consumption | fan assisted heat output | No | |||
| At nominal heat output | elmax | 0 | kW | Type of heat output/room temperature control (select one) | |
| At minimum heat output | elmin | 0 | kW | single stage heat output and no room tem- perature control | No |
| In standby mode | elSB | 0.000 | kW | Two or more manual stages, no room tem- perature control | No |
| with mechanic thermostat room tempera- ture control | No | ||||
| with electronic room temperature control | Yes | ||||
| electronic room temperature control plus day timer | No | ||||
| electronic room temperature control plus week timer | No | ||||
| Other control options (multiple selections possible) | |||||
| room temperature control, with presence detection | No | ||||
| room temperature control, with open win- dow detection | No | ||||
| with distance control option | No | ||||
| with adaptive start control | No | ||||
| with working time limitation | Yes | ||||
| with black bulb sensor | No | ||||
| Contact details | VONROC • Lingenstraat 6 • 8028 PM • Zwolle • The Netherlands | ||||
DECLARATION OF CONFORMITY
EH516AC – ELECTRIC PTC TOWER FAN HEATER
We declare under our sole responsibility that this product is in conformity with directive 2011/65/EU of the European parliament and of the council of 8 June on the restriction of the use of certain hazardous substances in electrical and electronic equipment is in conformity and accordance with the following standards and regulations:
EN 60335-1, EN 60335-2-30, EN 62233, 2014/35/EU
EN 55014-1, EN 55014-2, EN 61000-3-2
EN 61000-3-3, 2014/30/EU, 2011/65/EU, 2012/19/EU
Zwolle, 01-08-2022
H.G.F Rosberg
CEO
©2022 VONROC
WWW.VONROC.COM
2208-02





















