
DEVA
Owner’s Manual
www.hifiman.com

Customer Service Tel: 1- 201-443-4626
E-mail: [email protected]
Website: www.HIFIMAN.com

https://www.facebook.com/HiFiMANElectronics
Message from the Founder
Thank you for your purchase of a HIFIMAN product. We take great pride in offering audio products that provide best-in-class performance and value.
Though it seems like only yesterday when I started HIFIMAN as a passionate audiophile, we just finished our first decade in business and eagerly look forward to an exciting future. The company continues to grow at a rapid pace, and I’m proud to say that the HIFIMAN brand is one of the most respected in the industry.
Even with our success, the one thing that has not changed is my passion for music and creating products that help recreate the experience of a live performance. My team shares this passion, and we, in turn, humbly share that with you. Thank you again for your purchase. I hope you will find this guide useful in learning about your new HIFIMAN product. I’m confident that it will bring you countless hours of listening pleasure.
Happy listening,
Fang
Dr. Fang Bian,
Founder and CEO

Outstanding Sound Quality
Compared to traditional dynamic headphones, planar magnetic technology offers a superior sounding experience in terms of the soundstage and overall sonic output. Dynamic headphones utilize conductors that vibrate in select areas of the diaphragm, resulting in a large percentage of the diaphragm not directly driven by the conductors. Planar magnetic headphones are fundamentally different and operate on a different technical principle. Firstly, the weight of the planar headphones (conductors + diaphragm) is much lower than dynamic designs. This results in a significantly improved treble.
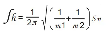
fh: upper frequency bound
m1: mass of the diaphragm
m2: mass of conductor traces
A smaller mass from either the diaphragm or conductor traces results in a higher upper frequency bound.
Planar headphones have conductive layers distributed throughout the surface of the diaphragm. The diaphragm is evenly driven by the magnetic force so that planar headphones have significantly lower distortion when compared with conventional dynamic headphones.
This lower distortion results in better overall reproduction of minute details. Instrumental positioning and imaging are improved, with a truly natural soundstage.

HIFIMAN NEO “Super Nano Diaphragm”
HIIMAN devoted extensive time and resources to create a nano-scale thickness diaphragm that allows for a lightning-fast response that not only produces stunning levels of detail but ultra-low distortion too. Making use of technologies originally developed for such revered models as the HIFIMAN Susvara, and borrowing the same driver shape, the DEVA offers performance levels and musical purity that exceed expectations, especially for such an affordable headphone.


Universal Acceptance
The DEVA includes a user-replaceable 3.5mm balanced cable connection that allows for the precise separation and power levels associated with balanced sources. Balanced connections guarantee the maximum extraction of audio quality when using the DEVA, however, its high sensitivity means it will bring out the best from almost any source, including laptops, digital audio players, and mobile phones. It even ships with a USB cable for use with more sources.
HIFIMAN DEVA
Advance Active Headphone

Packing List
(1) Bluemini
(1) 3.5mm Balanced – 3.5mm Cable
(1) USB Charging Cable
(1) Warranty Card
Headphone Specifications
Frequency Response: 20Hz-20kHz
Impedance: 18 Ω
Sensitivity: 93.5dB
Weight: 360g
Headband Adjustment
For the best possible fit, use the two adjustment blocks to change the position of the headband strap.

Replacing Ear Pads
To remove the ear pads, locate the clips on the inside of the pad, and use two fingers to gently bend them in and slip them out. To install new pads, simply align the ear pad with the mounting ring, and gently bend the clips so they slot in their appropriate locations.


Safety Instructions
Body Safety Instructions
- Please listen to the DEVA at moderate listening levels so that you can continue to enjoy their audio quality for years to come. You only have one pair of eardrums, so please look after them.
- Do not use any headphones while driving or operating machinery. For a long product life, the DEVA should be kept away from pets and small children.
- Wipe the surfaces (ear pads, cups, etc.) with a microfiber cloth and store the headphone in a dry, cool, and safe place that is away from dust, heat, humidity, sunlight, young children, and pets. Periodically wipe the headband to remove any dust.
- Planar headphones benefit from break-ins to achieve optimum performance.
- This can take up to 150 hours. However, the sound is great out of the box, so continue to enjoy your headphones throughout the break-in period.
- Modification without authorization, such as changing the transmission frequency, increasing the transmission power, or other alterations will invalidate the warranty.
- Use only accessories that are officially provided recommended by HIFIMAN.
Product Safety Instructions
- If the headset emits abnormal noise, abnormal heat or abnormal sound, please remove the headset immediately and contact HIFIMAN Customer Services.
- The DEVA is not waterproof. Do not expose it to moisture or water, e.g. do not wear it in the rain.
- Do not use the product near a heat source or expose it to heat for a long time. The headset contains a battery, so avoid extreme temperatures.
- Do not use volatile substances including alcohol, acetone, gasoline or dish detergent to clean the headphone.
Maintenance Precautions
- If the headset will remain idol for an extended period, HIFIMAN strongly recommends that you place a moisture-proof agent in the box (purchase separately) to avoid mold.
- In order to prevent dust from entering the headphone, do not disassemble the ear pads more than necessary. To clean the headphones, wipe them with a slightly damp soft cloth. Do not use any cleaner and ensure that no liquid will flow into the headphones.
- The leather should be maintained with leather-specific products.
- The internal headphone unit does not require maintenance.
- If the unit is disassembled without authorization, it may void the warranty.
Bluemini II
Owner’s Guide
www.hifiman.com

Bluetooth/USB Dongle
Small, powerful and versatile with maximum functionality. Bluemini turns the DEVA into a wireless Bluetooth headphone offering superb dynamics and crystal-clear audio. You can also use the Blue mini as an integrated amp and DAC by connecting to a phone or computer via a USB-C cable. Blue mini will act as the perfect companion integrated amplifier and DAC for true audiophile-grade sonics. Superb dynamics, clarity and an analog tube-like smoothness to satisfy the most demanding music fans.

Multiple HD Audio Protocols
The Bluemini supports the current mainstream HD music transmission protocols, including LDAC™, aptX™,aptX-HD™ and more, ensuring it is fully compatible with the majority of HD playback devices on the market.
* LDAC ™and the LDAC™ logo are registered trademarks of Sony Corporation.
* aptX™and aptX-HD™ and their logo are registered trademarks of Qualcomm Incorporated.
* Bluetooth and its logo are registered trademarks of Bluetooth SIG.
Specifications
Bluetooth Version: Bluetooth 5.0
Frequency Response: 20Hz-20kHz
Battery Life: 7-10 Hours
Weight: 25g
With Built-in Microphone
Precautions for Use
- Due to the limitation of Bluetooth wireless technology, the audio of the media playback device may have a certain delay. Sound and images may not be synchronized when watching a video or playing a game.
- Use the Bluemini only in locations that allow Bluetooth wireless transmission.
- Bluetooth wireless technology typically works within 10 meters. The longest communication distance is affected by factors such as obstacles, electromagnetic environment, indoor and outdoor.
- The Bluemini is Bluetooth-compliant and the device connected to the Bluemini must also comply with the Bluetooth standard. HIFIMAN does not guarantee that all Bluetooth devices will be connected to the Bluemini.
- The time for connecting the Bluemini to a different Bluetooth device may vary.
- The Bluemini can only be charged using the supplied USB cable.
- The battery may be exhausted if the Bluemini is not used for a long time. If the battery is running out too fast, replace the battery. If you need to replace the battery, please contact your nearest HIFIMAN dealer.
- The battery should also be charged periodically (about every 3 months).
*Includes electronic components and batteries. When recycling, please contact your local management for disposal and recycling requirements.

In playback mode, tap the power button once to start/pause playback. To answer/finish a call, press the power button once. To reject, please press and hold the power button 2 seconds.
- When using a computer as the audio input device, there is no need to install drivers when the OS is WIN10 or MacOS. For WIN 8 and older OS, not all devices can be connected by USB mode.
- To connect with Android phones, you will need a compatible cable. If connected to a portable device including mobile phones, the lack of a power supply may result in faster than usual battery drainage. Not all Android phones can support OTG audio. Iphones are currently not compatible due to power limitations from Apple.
Operation Guide
- When first connecting to a source via Bluetooth, press the power button for 1 to 2 seconds to turn it on. Once the blue light flashes twice to indicate that the power is turned on successfully, press the power button twice to enter the pairing mode. The light will alternately flash blue and green. At this point, check for it in the device’s Bluetooth connection list. Click Connect to complete the pairing.
- To connect a paired Bluetooth audio output device, simply press the power button for 1 to 2 seconds to turn it on. The blue light will continue to flash at intervals. If the previously paired Bluetooth device is turned on, it will try to connect automatically.
- Press the power button for 5 seconds to turn it off.
- To charge, connect the USB charging cable to the power supply and Blue mini then it will charge automatically. It can be charged when switched off. The light will remain red. When turned on the light will flash red and white while charging and once fully charged the light will flash green and white.
- To enable the USB playback mode, connect the audio device with a USB cable to enter the USB play mode. The light will flash red and blue in this mode.
N.B.: USB playback mode can be used only if the audio playback device and USB cable support audio playback. The choice of USB cable may affect playback quality.
FCC STATEMENT
- This device complies with Part 15 of the FCC Rules.
Operation is subject to the following two conditions:
(1) This device may not cause harmful interference, and
(2) This device must accept any interference received, including interference ence that may cause undesired operation. - Changes or modifications not expressly approved by the party response sible for compliance could void the user’s authority to operate the equipment.
FCC Radiation Exposure Statement:
The device has been evaluated to meet general RF exposure requirements.
The device can be used in portable exposure conditions without RF striction.
NOTE: This equipment has been tested and found to comply with the limits for a Class B digital, pursuant to Part 15 of the FCC Rules. These limits are designed to provide reasonable protection against harmful interference in a residential installation. This equipment generates, uses, and can radiate radio frequency energy and, if not installed and used in accordance with the instructions, may cause harmful interference to radio communications, However, there is no guarantee that interference will not occur in a particular installation. If the equipment does cause harmful interference to radio or television reception, which can be determined by turning the equipment off and on, the user is encouraged to try to correct the interference by one or more of the following measures:
- Reorient or relocate the receiving antenna.
- Increase the separation between the equipment and receiver.
- Connect the equipment into an outlet on a circuit different from that to which the receiver is connected.
- Consult the dealer or an experienced radio/ TV technician for help.
HIFIMAN Limited Warranty
Your DEVA is warranted for a period of one year beginning with the original date of purchase. The dated sales or delivery receipt is your proof of purchase. You may be required to provide proof of purchase as a condition of receiving warranty service so please keep it handy.
If your product is under warranty and some malfunctions appear, please contact HIFIMAN customer service or your authorized dealer. If necessary, and at the discretion of HIFIMAN, the company will provide a warranty repair or replacement of your product.
Caution: do not disassemble or modify the product in any way.
Tampering with or modifying your HIFIMAN product will void its warranty.
The Limited Warranty does not apply to :
- Defective or discolored parts if the damages are caused by fluids, dirt, missing keys, broken plastic parts or improper use.
- Damage caused by misuse of another product.
- Use of the product for other than its normal intended use, including, without limitation, failure to use the product in accordance with the supplied “Owner’s Guide”
- Damage caused by accident, abuse, neglect or misuse.
- If you do not have a valid dated receipt showing proof of purchase.
- Damage caused by services/repairs or other modifications to the system carried out by anyone other than HIFIMAN or an authorized HIFIMAN distributor or dealer.
- Damage caused by self-repair or if the unit has been disassembled or modified in any way.
HIFIMAN greatly desires your satisfaction and will do everything reasonable to achieve that. If you have any questions or concerns with your product, simply contact your authorized dealer or HIFIMAN directly (if purchased from us) and explain the issue in detail. Should a return be required, a return authorization (RMA) number will be issued. Return shipping to HIFIMAN or authorized service facility will be at the owner’s expense.
The warranty applies to the first purchaser and is not transferable. Should you need warranty service please contact your authorized HIFIMAN dealer. Or email us directly at [email protected]
For any further information or questions, please contact your authorized HIFIMAN dealer. Or email us directly at [email protected].
![]() | facebook.com/hifimanelectronics |
![]() | twitter.com/hifimanofficial |
![]() | www.hifiman.com |





















