HIFIMAN Deva Pro Magnetic Headphone with Bluetooth Dongle

Message from the Founder

Thank you for your purchase of a HIFIMAN product. We take great pride in offering audio products that provide best-in-class performance and value.
Though it seems like only yesterday when, as a passionate audiophile, I started HIFIMAN, we just finished our first decade in business and eagerly look forward to an exciting future. The company continues to grow at a rapid pace, and the HIFlMAN brand is one of the most respected in the industry.
Even with our success, two things that never change are my love of music and my commitment to creating products that recreate the experience of hearing a live performance. I am joined by many others in the company who share my passion and in turn, we humbly share our passion with you.
Thank you again for your purchase. I hope you will find this guide a useful tool for learning about your product, ultimately helping you enjoy countless hours of pleasure.
Happy listening,
Fang
Dr. Fang Bian,
Founder and CEO
Outstanding Sound Quality
Compared to traditional dynamic headphones, planar magnetic technology offers a superior sounding experience in terms of overall quality, especially when it comes to the aural soundstage Dynamic headphones utilize conductors that vibrate in select areas of the diaphragm This results in a large percentage of the diaphragm not being directly driven by those conductors, resulting in somewhat diminished performance Planar magnetic headphones are fundamentally different in that their weight (conductors + diaphragm) is much lower than dynamic headphones The result is superior performance, especially in the upper frequencies, or treble.
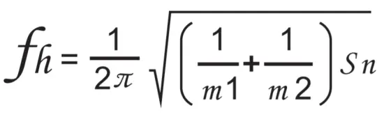
fh: upper frequency bound ml: mass of diaphragm m2: mass of conductor traces
A smaller mass from either the diaphragm or conductor results in improved upper frequency response.
Planar headphones feature conductive layers distributed throughout the surface of diaphragm. The diaphragm is evenly driven by the magnetic force so that planar headphones produce significantly lower distortion when compared with conventional dynamic headphones
This lower distortion results in better overall reproduction of minute details. Positioning of instruments and other elements of imaging are demonstrably better, with a soundstage that is consistently wide and natural sounding
The Stealth Magnets
The advanced magnet design featured in the DEVA Pro is acoustically transparent, dramatically reducing wave diffraction turbulence that typically degrades the integrity of the sound waves. The result is reduced distortion, yielding a purer, more harmonious sound that is demonstrably better than previous designs.
HIFIMAN NEO “Super Nano Diaphragm”
HIIMAN devoted extensive time and resources to create a nano scale thickness diaphragm that allows for lightning fast response that not only produces stunning levels of detail but ultra-low distortion too. Making use of technologies originally developed for such revered models as the HIFIMAN Susvara, and borrowing the same driver shape, the DEVA Pro offers performance levels and musical purity that exceed expectations, especially for such an affordable headphone.

Universal Acceptance
The DEVA Pro includes a user-replaceable 3.5mm cable designed for DEVA Pro only, guarantee the maximum extraction of audio quality It’s high sensitivity means it will bring out the best from almost any source, including laptops, digital audio player and mobile phones.
With optional part – Bluemini R2R*, it can even paired with Bluetooth and USB devices (left side only).
* Bluemini R2R should be provided with DEVA Pro wireless version or need to purchase separately Bluemini R2R is not the default part of DEVA Pro.
Packing List
- x(1) 3.5mm Balanced – 3.5mm Cable
- x(1) Warranty Card
- x(1) User Guide
Headphone Specifications
| Frequency Response: | 20Hz-20kHz |
| Impedance: | 180 |
| Sensitivity | 93.SdB |
| Weight | 360g |
Headband Adjustment
To help fit the headphone to your head, use the two adJustment blocks to change the position of the headband strap until the perfect fit is achieved
Replacing Ear Pads
To remove the ear pads. locate the clips on the inside of the pad. and use two fingers to bend them in and slip them out gently To install new pads. align the ear pad with the mounting ring and gently bend the clips to slot in their appropriate locations.
Safety Instructions
Body Safety Instructions
- Please listen to the DEVA Pro at moderate listening levels so that you can continue to enjoy their audio quality for years to come. You only have one pair of eardrums, so please look after them.
- Do not use any headphone while driving or operating machinery.
- For a long product life, the DEVA Pro should be kept away from pets and small children.
- Wipe the surfaces (ear pads, cups, etc.) with a microfiber cloth and store the headphone in a dry, cool and safe place that is away from dust, heat, humidity, sunlight, young children and pets Periodically wipe he headband to remove any dust.
- Planar headphones benefit from break-in to achieve optimum performance. This can take up to 150 hours. However, the sound is great outof the box, so continue to enjoy your headphones throughout the break-in period.
- Modification without authorization, such as changing the transmission frequency, increasing the transmission power, or other alterations will invalidate the warranty.
- Use only accessories that are officially provided or recommended by HIFIMAN.
Product Safety Instructions
- If the headset emits abnormal noise, abnormal heat or abnormal sound, please remove the headset immediately and contact HIFIMAN Customer Services.
- The DEVA Pro is not waterproof. Do not expose it to moisture or water, e.g. do not wear it in the rain.
- Do not use the product near a heat source or expose it to heat for a long
time. The headset contains a battery, so avoid extreme temperatures - Do not use volatile substances including alcohol, acetone, gasoline or dish
detergent to clean the headphone.
Maintenance Precautions
- If the headset will remain idol for an extended period, HIFIMAN strongly recommends that you place a moisture-proof agent in the box (purchase separately) to avoid mold.
- In order to prevent dust from entering the headphone, do not disassemble the ear pads more than necessary. To clean the headphones, wipe them with a slightly damp soft cloth. Do not use any cleaner and ensure that no liquid will flow into the headphones
- The leather should be maintained with leather-specific products. The internal headphone unit does not require maintenance.
- If the unit is disassembled without authorization, it may void the warranty.
HIFIMAN Limited Warranty
Your DEVA Pro is warranteed for a period of one year beginning with the original date of purchase. Your dated sales or delivery receipt is your proof of purchase. You may be required to provide proof of purchase as a condition of receiving warranty service, so please keep it in a safe place.
If your product is under warranty and malfunctions occur, please contact HIFIMAN customer service or your authorized dealer. If necessary, and at our discretion, we will repair or provide a replacement, depending upon the company’s decision.
Caution: Do not disassemble or modify the product in any way.
Tampering with or changing your HIFIMAN product will void its warranty.
This Limited Warranty does not apply to:
- Defective or discolored parts if the damages are caused by fluids, dirt, missing keys, broken plastic parts or improper use.
- Damage caused by misuse with another product.
- Use of the product for other than its normal intended use, including, without limitation, failure to use the product in accordance with the supplied “Owner’s Guide”
- Damage caused by accident, abuse, neglect or misuse.
- If you do not have a valid dated receipt showing proof of purchase.
- Damage caused by services/repairs or other modifications to the system carried out by anyone other than HI FIIMAN or an authorized HI FI MAN distributor or dealer.
- Damage caused by self-repair or if the unit has been disassembled or modified in any way.
HIFIMAN guarantees your satisfaction and will do everything reasonable to achieve that. If you have any questions or concerns with your product, simply contact your authorized dealer or HIFIMAN directly (if purchased from us) and explain the issue in detail. Should a return be required, a RA# will be issued. Return shipping to HIFIMAN or authorized service facility will be at the owner’s expense.
The warranty applies to the first purchaser and is not transferable. Should you need warranty service please contact your authorized HIFIMAN dealer. Or email us directly at [email protected]
For any further information or questions, please contact your authorized HIFIMAN dealer. Or email us directly at [email protected].
facebook.com/hifimanelectronics
twitter.com/hifimanofficial
www.hifiman.com
Customer Service Tel: 1- 201-443-4626
www.hifiman.com Website: www.HIFIMAN.com
FACEBOOK
Scan QR Code to join HIFIMAN on facebook



















