BD SENSORS LMK Series Probe for Marine and Offshore

READ THOROUGHLY BEFORE USING THE DEVICE KEEP FOR FUTURE REFERENCE ID: BA_FS Schiff_E | Version: 07.2022.0
This operating manual enables safe and proper handling of the product, and forms part of the device. It should be kept in close proximity to the place of use, accessible for staff members at any time.
All persons entrusted with the mounting, installation, putting into service, operation, maintenance, removal from service, and disposal of the device must have read and understood the operating manual and in particular the safety-related information.
Complementary to this operating manual the current data sheet has to be adhered to.
Download this by accessing www.bdsensors.com or request it: [email protected] | phone: +49 (0) 92 35 / 98 11 0 In addition, the applicable accident prevention regulations, safety requirements, and country-specific installation standards as well as the accepted engineering standards must be observed.
Symbols used
|
NOTE – draws attention to a possibly hazardous situation that may result in property damage in case of non-compliance.
Precondition of an action
Staff qualification
Qualified persons are persons that are familiar with the mounting, installation, putting into service, operation, maintenance, removal from service, and disposal of the product and have the appropriate qualification for their activity.
This includes persons that meet at least one of the following three requirements:
- They know the safety concepts of metrology and automation technology and are familiar therewith as project staff.
- They are operating staff of the measuring and automation systems and have been instructed in the handling of the systems. They are familiar with the operation of the devices and technologies described in this documentation.
- They are commissioning specialists or are employed in the service department and have completed training that qualifies them for the repair of the system. In addition, they are authorized to put into operation, to ground, and to mark circuits and devices according to the safety engineering standards.
All work with this product must be carried out by qualified persons!
Intended use
The device is intended for converting the physical parameter of pressure into an electric signal. It has to be used only for this purpose, considering the following information.
The hydrostatic probes have been designed especially for shipbuilding and offshore applications with rough environmental and operation conditions. The probes are suitable for level measurement of fluids or pasty media (no solids and frozen media) in open tanks, containers, or reservoirs. Based on a rugged and reliable capacitive ceramic sensor the probe is qualified for measuring small filling heights with high accuracy. Typical areas of use are ballast tanks, fuel, and oil tanks as well as service and waste water tanks. The probes as standard complies with the requirements of DNV (Det Norske Veritas). The certificates are available for download on our homepage: http://www.bdsensors.de
Permissible measuring and cleaning media are gases or liquids, which are compatible with the media wetted parts of the device (according to data sheet) and your system. This must be ensured for the application.
The user must check whether the device is suited for the selected use. In case of doubt, please contact our sales department: [email protected] | phone: +49 (0) 92 35 98 11 0 BD|SENSORS assumes no liability for any wrong selection and the consequences thereof!
The technical data listed in the current data sheet are engaging and must absolutely be complied with. If the data sheet is not available, please order or download it from our homepage: http://www.bdsensors.de
Incorrect use
|
Limitation of liability and warranty
Failure to observe the instructions or technical regulations, improper use and use not as intended, and alteration of or damage to the device will result in the forfeiture of warranty and liability claims.
Safe handling
NOTE – Do not use any force when installing the device to prevent damage of the device and the plant!
NOTE – Treat the device with care both in the packed and unpacked condition!
NOTE – Do not throw or drop the device!
NOTE – Excessive dust accumulation and complete coverage with dust must be prevented!
NOTE – The device is state-of-the-art and is operationally reliable. Residual hazards may originate from the device if it is used or operated improperly.
Scope of delivery
Check that all parts listed in the scope of delivery are included free of damage, and have been delivered according to your purchase order:
- hydrostatic probe
- mounting instruction
UL approval (for devices with UL marking)
The UL approval was effected by applying the US standards, which also conform to the applicable Canadian standards on safety. Observe the following points so that the device meets the requirements of the UL approval:
- only indoor usage – maximum operating voltage: according to data sheet
- The device must be operated via a supply with energy limitation (acc. to UL 61010) or an NEC Class 2 energy supply.
Product identification
The device can be identified by means of the manufacturing label with order code. The most important data can be gathered therefrom.

Fig. 1 Example of manufacturing label
NOTE – The manufacturing label must not be removed!
Mounting
Mounting and safety instructions
Danger of death from airborne parts, leaking fluid, electric shock
| |
Danger of death from improper installation
|
DANGER
Danger of death from airborne parts, leaking fluid, electric shock
- Always mount the device in a depressurized and de-energized condition!
DANGER
Danger of death from improper installation
- Installation must be performed only by appropriately qualified persons who have read and understood the operating manual.
NOTE – Do not remove the packaging or protective caps of the device until shortly before the mounting procedure, in order to exclude any damage to the diaphragm and the threads! Protective caps must be kept! Dispose of the packaging properly!
NOTE – If there is increased risk of damage to the device by lightning strike or overvoltage, increased lightning protection must additionally be provided!
NOTE – Treat any unprotected diaphragm with utmost care; this can be damaged very easily.
NOTE for screw-in and flange version:
- When installing the device, avoid high mechanical stresses on the pressure port! This will result in a shift of the characteristic curve or to damage.
- In hydraulic systems, position the device in such a way that the pressure port points upward (ventilation).
- Do not mount the device in a pneumatic flow rate!
- Provide a cooling line when using the device in steam piping and clarify the material compatibility.
- The measuring point must be designed in such a way that cavitation and pressure surges are avoided.
- If a gauge pressure measuring device is installed with the pressure port pointing upwards, ensure that no liquid drains off on the device. This could result in humidity and dirt blocking the gauge reference in the housing and could lead to malfunctions.
- The permissible tightening torque depends on the conditions on site (material and geometry of the mounting point). The specified tightening torques for the probe must not be exceeded!
NOTES - for mounting outdoors or in a moist environment (for screw-in and flange version)
- Please note that your application does not show a dew point, which causes condensation and can damage the probe. There are specially protected pressure measuring devices for these operating conditions. Please contact us in such case.
- Connect the device electrically straightaway after mounting or prevent moisture penetration, e.g. by a suitable protective cap. (The ingress protection specified in the data sheet applies to the connected device.)
- Select the mounting position such that splashed and condensed water can drain off. Stationary liquid on sealing surfaces must be excluded
- The outgoing cable must be routed downwards. If the cable needs to be routed upwards, this must be done in an initially downward curve
- Mount the device such that it is protected from direct solar radiation. In the most unfavourable case, direct solar radiation leads to the exceeding of the permissible operating temperature
- For devices with gauge reference in the housing (small hole next to the electrical connection), install the device in such a way, that the gauge reference is protected from dirt and moisture. Should the device be exposed to fluid admission, the functionality will be blocked by the gauge reference. An exact measurement in this condition is not possible. Furthermore, this can lead to damages on the device.
Mounting steps for probes
mounting accessory is available (as standard, the probe is supplied without fastening material; mounting clamps, terminal clamps and mounting flanges are available as accessories from BD|SENSORS) Fasten the probe properly according to your requirements.
NOTE – Always immerse the device slowly into the fluid to be measured! If the probe strikes the liquid surface, the diaphragm could be damaged or destroyed.
Removal of protective cap (if necessary)
For the protection of the diaphragm, some of the probes have a plugged-on protection cap. If the device shall be used in high viscosity media such as sludge, a removal of the cap before start-up is necessary. Thus, the sensor becomes flush, and the medium will attain quickly to the diaphragm.
Removal by hand
- Hold the probe in a way that the protection cap points upwards.
- Hold the probe with one hand on the sensor section (1).
- Remove the protection cap (2) with the other hand. Removal with a tool (recommended)

Fig.2 Removal of protection cap - Hold the probe in a way that the protection cap points upwards.
- Slide a small tool such as a screwdriver (8) straight through two opposite drill holes in the protective cap (2).
- Lever it off by moving up the handle of the screwdriver.
NOTE – Make sure that the sensor (7) under the protection cap will not be damaged!
Cable protection (optional)
According to order, the probe was supplied with cable protection; if the probe was prepared for mounting with stainless steel pipe (optional), the customer must affix a cable protection themselves.
Mounting steps for flange version
The mounting thread is clean and undamaged.
The O-ring is undamaged and seated in the designated groove at the probe end.
- Screw the mounting thread of the probe into the probe flange by hand.
- Tighten the device using a suitable open-end wrench. (approx. 25 Nm)
- Mount the flange according to your requirements.
If you need a new probe flange, this can be ordered from BD|SENSORS as an accessory.
Mounting steps for screw-in version
The mounting thread is clean and undamaged.
The O-ring is undamaged and seated in the designated groove at the probe end.
The sealing surface of the taking part e.g. welding socket is perfectly smooth and clean.
- Screw the device into the corresponding thread by hand.
- Tighten it using a suitable open-end wrench.
G3/4″: approx. 15 Nm
G1″: approx. 20 Nm
G1 1/2″: approx. 25 Nm
Electrical connection
Connection and safety instructions
Danger of death from electric shock
|
The supply corresponds to protection class III (protective insulation).
NOTE – Use a shielded and twisted multicore cable for the electrical connection.
NOTE – When routing the cable, following bending radiuses have to be complied with: static installation: 10-fold cable diameter dynamic application: 20-fold cable diameter
NOTE – The PTFE filter, located at the cable end on the air tube, must neither be damaged nor removed.
Electrical installation
Connect the device electrically according to the information specified on the manufacturing label, the following table, and the connection circuit diagram.
Pin configuration:
| Electrical connections | cable colors (IEC 60757) |
| Supply + Supply- | WH (white) BN (brown) |
| Supply T+ (with Pt 100) Supply T- (with Pt 100) Supply T- (with Pt 100) | YE (yellow)GY (grey) PK (pink) |
| Shield | GNYE (green-yellow) |
Wiring diagrams:
2-wire-system current (pressure) / 3-wire-system (temperature)
2-wire system (current) HART R
NOTE – With shielded cables, the cable shield must be connected to earth potential. Use the appropriate grounding clamps for this. Pay attention to a low-impedance connection. Avoid potential differences (earth potential) between measuring and connection points, because this can lead to a defect in the probe. To avoid this, use a suitable connection technology or suitable equipotential bonding.
NOTE – The cable contains a ventilation tube for pressure equalization. Route the end of the cable into an area or suitable connection box which is as dry as possible and free from aggressive gases, in order to prevent any damage.
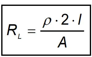
NOTE – Usually, the required cable is included in the scope of delivery. If it is although necessary to connect an existing or special cable, the total resistance will increase. For applications, where this additional resistance of the connecting cable could cause problems, this cable has to be checked with the following calculation.
with
RL: resistance of connecting cable in Ω
ρ: specific resistance in Ω mm²/m
l: cable length in m
A: cross section of conductor in mm²
with Vtot: total voltage drop
Road: load resistance (to be taken out of the current data sheet)
following condition has to be fulfilled:
with VS: planned supply voltage
VS min: minimal supply voltage (to be taken out of the current data sheet)
HART communication (for H-Devices)
The analogue output signal is overridden by an additional signal according to the HART-specification. The device can be configured via a HART-communication device. Therefore, we suggest our programming kit CIS-G (available as accessory). It consists of HART-modem, connecting cables as well as configuration software and allows a simple and time-saving configuration of all parameters. (The software is compatible with all Windows-systems from Windows 98 and higher.)
Fig. 3 configuration software
for trouble-free operation, the following requirements are fulfilled: maximal cable length between device and power supply:
with Lmax: maximum length of cable in [m]
RV: resistance of the cable together with the load resistance in [Ω]
CV: capacity of the cable in [pF/m]
resistance R:
with
U: power supply in [VDC] The resistance must be at least 240 .
Danger of death from airborne parts, leaking fluid, electric shock
|
✓ The device has been installed properly.
✓ The device does not have any visible defect.
In case of highly precise devices with an accuracy of 0.1 % FSO, a microcontroller-controlled electronic system is used for signal processing. This electronic system is used for signal improvement. Due to the principle, the processing of measured values requires a longer time than with purely analogue sensors, which only comprise amplification circuitry. Due to the longer processing time, the output signal follows the measured value not continuously but in jumps. In case of relatively stable and slowly changing measured values, this property plays a minor role. Compare this with the information on the adjusting time in the data sheet.
Maintenance
Danger of death from airborne parts, leaking fluids, electric shock
| |
Danger of injury from aggressive fluids or pollutants
|
If necessary, clean the housing of the device using a moist cloth and a non-aggressive cleaning solution.
During the cleaning processes, note the compatibility of the cleaning media used in combination with the media-wetted materials of the pressure measuring devices. Permissible concentrations and temperatures must be observed. Verification/validation by the user is essential.
Deposits or contamination may occur on the diaphragm/ pressure port in case of certain media. Depending on kind and quality of the process, suitable cyclical maintenance intervals must be specified by the operator. As part of this, regular checks must be carried out regarding corrosion, damage of diaphragm/seal(s) and signal shift. A periodical replacement of the seal(s) may be necessary.
If the diaphragm is calcified, it is recommended to send the device to BD|SENSORS for decalcification. Please note the chapter Service / repair below.
NOTE – Wrong cleaning or improper touch may cause an irreparable damage on the diaphragm. Therefore, never use pointed objects or pressured air for cleaning the diaphragm.
Troubleshooting
Danger of death from airborne parts, leaking fluids, electric shock
|
In case of malfunction, it must be checked whether the device has been correctly installed mechanically and electrically. Use the following table to analyze the cause and resolve the malfunction, if possible.
| Fault: no output signal | |
| Possible cause | Fault detection I remedy |
| Connected incorrectly | Checking of connections |
| Conductor/wire breakage | Checking of fill line connections. |
| Defective measuring device (signal input) | Checking of ammeter (miniature fuse) or of analogue input of your signal processing unit |
| Fault: analogue output signal too low | |
| Possible cause | Fault detection I remedy |
| Load resistance too high | Checking of load resistance (value) |
| Supply voltage too low | Checking of power supply output voltage |
| Defective energy supply | Checking of the power supply and the supply voltage being applied to the device |
| Fault: slight shift of the output signal | |
| Possible cause | Fault detection I remedy |
| Diaphragm of senor is severely contaminated, calcified or crusted | Checking of diaphragm; if necessary, send the device to BDISENSORS for cleaning |
| Possible cause | Fault detection I rimed |
| Diaphragm of sensor is damaged (caused by over reassure or mechanical! | Checking of diaphragm; when damaged, send the device to BO SENSORS for re air |
| Fault: wrong or no output signal | |
| Possible cause | Fault detection I remedy |
| Cable damaged mechanically, thermally, or chemically | Checking of cable; pitting corrosion on the stainless-steel housing as a result of damage on cable; when damaged, send the device to BDISENSORS for repair |
Removal from service
DANGER WARNING
| Danger of death from airborne parts, leaking fluids, electric shock – Disassemble the device in a depressurized and de-energized condition! | |
Danger of injury from aggressive media or pollutants
|
NOTE
- -After dismounting, mechanical connections must be fitted with protective caps.
Service / repair
Information on service / repair:
- www.bdsensors.de
- [email protected]
- Service phone: +49 (0) 92 35 98 11 0
Recalibration
During the life-time of a probe, the value of offset and span may shift. As a consequence, a deviating signal value in reference to the nominal pressure range starting point or end point may be transmitted. If one of these two phenomena occurs after prolonged use, a recalibration is recommended to ensure furthermore high accuracy.
Return
Danger of injury from aggressive media or pollutants
|
Before every return of your device, whether for recalibration, decalcification, modifications or repair, it has to be cleaned carefully and packed shatter-proofed. You have to enclose a notice of return with detailed defect description when sending the device. If your device came in contact with harmful substances, a declaration of decontamination is additionally required. Appropriate forms can be downloaded from our homepage. Download these by accessing www.bdsensors.de or request them:
[email protected] | phone: +49 (0) 92 35 / 98 11 0 In case of doubt regarding the fluid used, devices without a declaration of decontamination will only be examined after receipt of an appropriate declaration!
Disposal WARNING
![]() WARNING | Danger of injury from aggressive media or pollutants
|
The device must be disposed of according to the European Directive 2012/19/EU (waste electrical and electronic equipment). Waste equipment must not be disposed of in household waste!
NOTE – Dispose of the device properly!
Warranty terms
The warranty terms are subject to the legal warranty period of 24 months, valid from the date of delivery. If the device is used improperly, modified, or damaged, we will rule out any warranty claim. A damaged diaphragm will not be accepted as a warranty case. Likewise, there shall be no entitlement to services or parts provided under warranty if the defects have arisen due to normal wear and tear.
EU declaration of conformity / CE
The delivered device fulfils all legal requirements. The applied directives, harmonized standards and documents are listed in the EC declaration of conformity, which is available online at: http://www.bdsensors.de. Additionally, the operational safety is confirmed by the CE sign on the manufacturing label.





















