
Spartan 730/730IS
Noise Dosimeter
Reference Manual
Spartan 730/730IS Wireless Noise Dosimeter
Copyright
©2022 PCB Piezotronics, Inc. This manual is copyrighted, with all rights reserved. The manual may not be copied in whole or in part for any use without the prior written consent of PCB Piezotronics, Inc.
Trademarks
PCB® is a registered trademark of PCB Group, Inc. Microsoft®, Windows®, and Excel® are either registered trademarks or trademarks of Microsoft Corporation in the United States and/or other countries. Android®, Google®, and Google Play Store® are registered trademarks of Google, Inc. in the United States and in other countries. IOS® is a registered trademark of Cisco in the United States and in other countries. The iTunes Store® is a registered trademark of Apple, Inc. in the United States and in other countries. The Bluetooth® wordmark and logos are registered trademarks of Bluetooth SIG, Inc. in the United States and in other countries.
Disclaimer
The following paragraph does not apply in any state or country where such statements are not agreeable with local law: Even though PCB Piezotronics, Inc. has reviewed its documentation, PCB Piezotronics, Inc. makes no warranty or representation, either expressed or implied, with respect to this instrument and documentation, its quality, performance, merchantability, or fitness for a particular purpose. This documentation, including technical data and specifications, is subject to change without notice, and should not be construed as a commitment or representation by PCB Piezotronics, Inc. This publication may contain inaccuracies or typographical errors. PCB Piezotronics, Inc. periodically updates the material for inclusion in new editions. Changes and improvements to the information described in this manual may be made at any time. Changes, error, or misprints may not be used as a basis for any claim for damages.
Recycling
PCB Piezotronics, Inc. is an environmentally friendly organization and encourages our customers to be environmentally conscious. When this product reaches its end of life, please recycle the product through a local recycling centre. Alternatively, return the product to PCB at the following address, where it will be accepted for disposal:
PCB Piezotronics, Inc.
Attn: Recycling Coordinator
1681 West 820 North
Provo, Utah, USA 84601-1341
Warranty
For warranty information, visit the Larson Davis Product Warranty page.
E-Labelling Notice
Access important safety and conformity information on the e-label, which is displayed on the dosimeter, on the About page.
To view the About page, power on your Spartan dosimeter:
a. Press and hold SELECT
,
b. Press UP
,
c. Press SELECT
.
Module 1 Product Overview
The Larson Davis Spartan Model 730 or 730IS dosimeter is a personal noise measuring and recording device for an individual who may be exposed to noise at work.
1.1 Dosimeter Features and Function
The following easy-to-use capabilities make the Spartan 730 the best choice for your project:
FIGURE 1-1 Dosimeter Buttons
- Monitor noise exposure data in real-time, remotely from the included LD mobile app or the G4 LD Utility.
- Auto-calibrate your dosimeter simply by attaching the included calibrator.
- Measure noise exposure using your chosen configuration and up to 3 additional virtual dosimeter configurations at once. Down Up Select (Menu)
- Customize any standard configuration (Dose, ISO) to meet your specific needs.
- Use the G4 LD Utilityʼs custom reporting features to easily generate and share a single-page report with your logo.
- Auto-download data files wirelessly by bringing the dosimeter within Bluetooth range of your PC, or by connecting to your PC with the included USB cable.
- Set dosimeter timers to automatically begin monitoring noise exposure during specific periods of a work shift.
- Set Action Level and Limit Level alarms to provide real-time exposure feedback.
- Use the Octave Band Analysis (OBA) capability to examine specific noise exposure frequencies in full octaves.
TRY THIS
Press and hold the Select button to explore the menu. The Spartan 730 dosimeter is built to last. Engineered and manufactured using stringent processes and the highest quality materials. We stand behind this product and our commitment to “Total Customer Satisfaction.”

LEARN MORE
Each dosimeter meets or exceeds all applicable international standards. For compliance details, see Appendix A Technical Specifications. To view compliance, specifications, and conditions for safe use for Model 730IS, see the product insert Intrinsic Safety Ratings and Information, and Appendix C Spartan 730IS Safety Information.
1.1.1 Dosimeter Package Configurations and Contents
The Spartan dosimeter is shipped in protective packaging or in the hard shell charging case when purchased. When you receive it, compare the package contents to your ordered configuration as shown in the following tables.
Please report any damage or shortage immediately by contacting Larson Davis directly. See Contact Larson Davis.
We recommend that you retain the packaging to safely ship your dosimeter if the need should arise.
FIGURE 1-3: Spartan 1-Pack With Charging Case


A. Dosimeter (Model 730 or 730IS) with windscreen and clothing clips
B. Wireless charging pad (PSA042)
C. Optional: Calibrator (CAL150) with 1/4-inch adapter
D. Cables & Accessories
E. LD USB drive
Accessories include:
- Spartan 730 Quick Start Guide
- LD Bluetooth dongle (DVX016)
- Electrical outlet adapter
- USB to micro-B cable (CBL218)
- 1 set of 2-inch safety pins
USB drive contains:
- G4 LD Utility Software
- Copy of Calibration Certificate
- Spartan 730 Reference Manual
FIGURE 1-4: Spartan 3-Pack With Charging Case


A. Three (3) Dosimeters (Model 730 or 730IS) with windscreens and clothing clips
B. Three (3) wireless charging pads (PSA042)
C. Optional: Calibrator (CAL150) with 1/4-inch adapter (ADP109)
D. LD USB drive
E. Cables & Accessories
Accessories include:
- Spartan 730 Quick Start Guide
- LD Bluetooth dongle (DVX016)
- Electrical outlet adapter
- USB to micro-B cable (CBL218)
- 5- port USB charger
- Spare 1/4-inch adapter (ADP109)
- 3 sets of 2-inch safety pins
USB drive contains:
- G4 LD Utility Software
- Copy of Calibration Certificate
- Spartan 730 Reference Manual
FIGURE 1-5: Spartan 5-Pack With Charging Case


A. Five (5) Dosimeters (Model 730 or 730IS) with windscreens and clothing clips
B. Five (5) wireless charging pads (PSA042)
C. Optional: Calibrator (CAL150) with 1/4-inch adapter (ADP109)
D. Cables & Accessories
E. LD USB drive
Accessories include:
- Spartan 730 Quick Start Guide
- LD Bluetooth dongle (DVX016)
- Electrical outlet adapter
- USB to micro-B cables (CBL218)
- 5-port USB charger
- Spare 1/4-inch adapter (ADP109)
- 5 sets of 2-inch safety pins
USB drive contains:
- G4 LD Utility Software
- Copy of Calibration Certificate
- Spartan 730 Reference Manual
FIGURE 1-6: Spartan 10-Pack With Charging Case


A. Ten (10) Dosimeters (Model 730 or 730IS) with windscreens and clothing clips
B. Ten (10) wireless charging pads (PSA042)
C. Optional: Calibrator (CAL150) with 1/4-inch adapter (ADP109)
D. Cables & Accessories
E. LD USB drive
Accessories include:
- Spartan 730 Quick Start Guide
- LD Bluetooth dongle (DVX016)
- Electrical outlet adapter
- 2 USB to micro-B cables (CBL218)
- 10-port USB charger
- Spare 1/4-inch adapter(ADP109)
- 10 sets of 2-inch safety pins
USB drive contains:
- G4 LD Utility Software
- Copy of Calibration Certificate
- Spartan 730 Reference Manual
FIGURE 1-7: Spartan 730 Dosimeter

A. Dosimeter (Model 730 or 730IS) with windscreen and clothing clips
D. Cables & Accessories
E. LD USB drive
Accessories include:
- Spartan 730 Quick Start Guide
- USB to micro-B cable (CBL218)
- 2-inch safety pins (for heavy clothing)
USB drive contains:
- Microphone Certification
- G4 LD Utility Software for PC
- Spartan 730 Reference Manual
1.1.2 Serial Numbers
The Spartan 730 dosimeterʼs model and serial number is printed on the label on the back of the meter. The microphone serial number is engraved on the outside of the microphone.
For Model 730: each serial number, XXXXX is the device sequence number.
For Model 730IS: each serial number YYXXXX, YY is the 2 digit year of manufacture, and the XXXX is the device sequence number.
We recommend that you record the purchase date, model, and serial numbers for your instrument.
1.1.3 Basic Operations
The Spartan 730 performs the following operations:
- Measures sound exposure using: stop, pause, and resume measurement.
- Displays sound measurement data on a full-color LCD screen.
You can also view the same data in the G4 LD Utility for PC, and in the LD Atlas app for mobile devices. - Allows you to view live data while a measurement is in process.
- Logs simultaneously to time, statistical measurement, and event sound recordings.
- Allows you to enter speech-to-text, or text note markers to mark portions of the measured sound history.
- Automatically backs up data to prevent data loss on power failure.
- Auto-calibrates when a precision acoustic calibrator is attached, and stores calibration history.
- Includes time stamps for Lmax, Lmin, Lpeak-(max) single event metrics.
- Syncs the device clock with your PC or mobile device.
- Capable of measuring sound exposure according to 4 different dosimeter configurations at one time, when you enable additional virtual dosimeters.
- Records sound events in 16-bit WAV format by using event detectors.
1.1.4 Applications
The Spartan 730 or 730IS personal noise dosimeter is ideal for the following applications:
- Measuring factory, airport, and mine noise
- Measuring construction noise
- Developing engineering noise controls
- Determining occupational safety compliance
- Collecting data for legal proceedings
1.1.5 Hardware Features
The Spartan 730, or 730IS, includes the following hardware features:
- 8 GB internal, non-volatile flash memory
- 176 x 176 color LCD very high contrast display with front light
- Durable, sealed plastic case
- Rechargeable lithium-Ion battery with more than 40 hours run time (Model 730); rechargeable NiMH battery with more than 30 hours run time (Model 730IS).
- Bluetooth® LE (low energy) wireless personal area network connection to your PC or mobile device
- USB 2.0 high-speed micro-B peripheral connector for remote control and data download to a PC.
For detail on these features, refer to A.1.1 “Physical Specifications” on page A-1.
1.1.6 Performance Features
- Multi-color LEDs on front indicate exceeded Action and Limit Levels
- Daily Timer (up to 3 periods/day) and Timed Stop Timer
- Lockable user interface to protect measurement data
- Noise detection/microphone accuracy. For details, see A.1.1 “Physical Specifications” on page A-1.
- RMS Detector: Slow
- RMS Frequency Weighting: A, C, and Z
- Peak Frequency Weighting: A, C, and Z
- Multiple language support: English, Spanish, French, Italian, German, and Portuguese
1.1.7 Available Firmware Options
The following optional firmware is available for the Spartan 730 or 730IS dosimeter:
- Event Sound Recording (730-ESR)
This option records occupational noise events in 16-bit .WAV format. Select a Trigger Level prior to the work shift (40–140 db). When an “event” is triggered by a sudden increase in amplitude above the trigger level, the dosimeter saves 2 seconds of pre-trigger data and 10 seconds of post-trigger data. For more information, see 6.1 “Setting Event Sound Recording Options” on page 58. - Octave Band Analysis Option (730-OB1)
This option for Model 730 or 730IS allows you to collect octave band data for the measured noise exposure. For more information, on using this option, see 5.3 “Viewing Measurement Results in G4” on page 56. - Option to Disable Bluetooth Capability (730-NBT)
This option allows you to disable the dosimeterʼs built-in Bluetooth capability, so that this dosimeter model can be used where radios are not allowed. For more information, see 3.1.1 “Activating Options for a Measurement” on page 33.
1.1.8 Available Accessories
The following items are available separately from Larson Davis:
- Additional 1/4” calibrator adapters (ADP109)
- Additional USB to micro-B cable (CBL218)
- Additional power supply cable with accessory plug ends (PSA029)
- Additional 1” Windscreens (WS012)
1.2 Getting to Know Your Spartan 730 Noise Dosimeter
This section describes the hardware and device components of the Spartan 730 Noise dosimeter.

For additional details and specifications for each component, see Appendix A Technical Specifications.
1.2.1 Microphone and Windscreen
The Spartan 730 comes with a high-quality, 1/4”, free-field, prepolarized condenser microphone (Model 375A03).
The windscreen (WS012) is a 1” diameter cone made of open cell foam, which contributes to the most accurate measurement.
Wind blowing across the microphone generates pressure fluctuations on the microphone diaphragm. This can contribute to an inaccurate measurement. We recommended using the windscreen provided with this model for every measurement.
1.2.2 Buttons
The Spartan Model 730 dosimeter has 3 buttons to power, navigate displays, access or exit menus, and to start or stop a measurement. They include power, select, up, and down, as shown in Figure 1-9. Also see Figure 1-10 for navigating the meter interface using the buttons.
FIGURE 1-9 Using the Spartan Buttons
- Up, Down arrow buttons
- Power button: Press quickly to exit menus, or Press & hold for power on or off
- Select button: Press quickly to navigate horizontally to the right, or Press & hold to open the menu
1.2.3 Clothing Clips
Durable clips secure the dosimeter to clothing, and keep the meter in place to monitor noise exposure near the ear. The clip assembly is removable, and replacements are available from Larson Davis if needed.
1.2.4 Front LED Indicators
When enabled, the multi-color LED display on front, below the Larson Davis label provides the following feedback:

Charging
When connected to an external power source, the green LED is active.
Exposure Alert for Action Level and Limit Level
When enabled in the measurement configuration, the LED alarm lights on the Spartan 730 provide exposure feedback to the wearer based on the Source metric, and the Action and Limit levels you set. The lights display a range of yellow (action) to red (limit).
1.2.5 Battery
When fully charged and under normal use with basic features enabled, the included battery powers the dosimeter for typically 40 hours of run time. (for 730IS see “Model 730IS NiMH Battery Pack” on page A-4.)
When fully discharged, the included battery can recharge in typically 3 hours by using the included USB cable (CBL218) or by using a Qi Wireless charger.
The Spartan dosimeter has the following power indicators (see Figure 1- 11 “Status Bar Detail” on page 17):
- (Visual indicator) Battery indicator on the LCD Display
- (Visual indicator) Battery indicator in G4
- (Visual indicator) Battery Indicator in LD Atlas app
- (Percent charge) “Meter Screen Detail” on page 13
- (Hours) Estimated Run Time on the Meter Screen
1.2.6 LCD Color Display
The Spartan 730 has a full color, front-lighted LCD screen, which is suited for indoor or outdoor visibility. When you power the dosimeter on, youʼre prompted to press select to open the Menu, or press the up or down button to dismiss the tip. The screen light remains on for up to 30 seconds following any button press.
Following 60 seconds with no key press, a summary screen displays


Within the main display, there are 8 screens. The first 4 screens (Dosimeter 1, 2, 3, and 4) show Dosimeter 1 and 3 virtual dosimeters with your chosen configurations for measuring sound exposure or the defaults.
The next 4 screens display a variety of metrics for the measurement in progress.
The dosimeter buttons provide 2 ways to navigate: by screen (scrolling horizontally) or by page (scrolling vertically) as shown in Figure 1-10.
The labels for sound metrics on the meter interface are designated by international standards. For many displayed values, the frequency and time weighting are indicated in the
name of the metric.
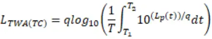
For example: LAS is the A-weighted sound pressure level measured using the Slow detector; sound pressure level is often referred to as SPL.
For definitions and details on the sound metrics available on this dosimeter, see Appendix B Glossary.
1.2.7 Screen Details On the Spartan 730 Dosimeter
Table 1.1 Screens On the Spartan 730 Dosimeter

The first 4 screens show Dosimeter 1 and virtual dosimeters (2, 3, 4), as shown in Table 1.1. Selecting a configuration for Dosimeters 2, 3, and 4 allows you to view the current measurement data in those metrics in addition to the Dosimeter 1 metrics. For more information about measurement configurations, see 3.1 “Defining a Measurement Configuration” on page 30.
Dosimeter 1–4 Screen Detail
The Spartan 730 dosimeter configuration settings are displayed on the first 4 screens of the LCD. The LCD displays the current measurement data in terms of your chosen configuration for Dosimeter 1.

Additionally, when you select a configuration for the virtual dosimeters (Dosimeter 2, 3, and 4), you can view the current data in terms of other configurations or standards.Dosimeter screens 1-4, when enabled, show your chosen noise exposure metrics for the following standards:
- OSHA-PEL
- OSHA-HC
- ACGIH
- NIOSH
- ISO
- Custom
Click here to return to Table 1.1 Screens On the Spartan 730 Dosimeter.
OBA Screen Detail
The OBA screen shows a bar chart of live data, which contains the most commonly used octave frequencies.
For detailed information about OBA, see A.1.5 “ OBA Specifications” on page A-11.

Press down to view additional pages.
Subsequent pages show OBA data in table format.
The OBA Screen and associated features display when you purchase and install option 730-OB1.
Click here to return to Table 1.1 Screens On the Spartan 730 Dosimeter.

Meter Screen Detail
The Meter screen displays the following information on 3 pages:
Meter–Time Page 1
- Time, which displays the current date and time of day
- Measurement Timer, which displays the time remaining before a scheduled stop when using a Timed Stop or Daily Timer.
- Next Timer, which displays the date and time the next timer run or stop will occur when using the Daily Timer.

Press down to view additional pages on the Meter Screen.
Meter–Power Page
- Power, which displays the battery voltage
- Battery life remaining, expressed as a percentage
- Estimated Run Time, which displays the amount of time the dosimeter can measure noise on the current battery power.
Press down to view additional pages on the Meter Screen.
Meter–Other Page
Free Memory, which displays the memory currently available for data storage
- Total Memory, available for storage
- the current internal device Temperature
Click here to return to Table 1.1 Screens On the Spartan 730 Dosimeter.

SLM Screen Detail
he SLM screen displays the following sound level meter metrics on 10 pages.
SLM–Live, Page 1

- Displays the following metrics with frequency A, C, or Z and time weighting S, F, I, or Peak subscripts.
- Live Sound Pressure level (LAS)
- 1 second equivalent Level (LAeq)
- 1 second peak level (LCpeak)
Press down to view additional pages on the SLM Screen.
SLM–Overall, Page 2

- Displays the following metrics with frequency A, C, or Z and time weighting S, F, I, or Peak subscripts. Overall Equivalent Level (LAeq)
- Overall Motion percentage
- Overall Maximum Level (LASMax)
Press down to view additional pages on the SLM Screen.
SLM–Maximums, Page 3

- Displays the single event maximum levels with the time of occurrence
- Overall Maximum Level and Time
- Overall C peak Level and Time
- Overall Z peak Level and Time
Press down to view additional pages on the SLM Screen.
SLM–SPL Exceedances, Page 4

- Displays the SPL Exceedance trigger-level settings
- The number of trigger occurrences
- The duration over the trigger level for 2 SPL trigger levels
Press down to view additional pages on the SLM Screen.
SLM–Peak Exceedances, Page 5

- Displays three Peak Exceedance trigger-level settings
- The number of Peak occurrences
- The duration over the trigger level for each trigger level
Press down to view additional pages on the SLM Screen.
SLM–C Minus A Overall, Page 6

- Use this data to determine the low frequency content of the sound measured.
- (Shown here: LCeq – LAeq)
Press down to view additional pages on the SLM Screen.
SLM–Sound Exposure, Page 7

- Displays the Sound Exposure metric in dB and in Pascal-squared hours
- SEL
- E
- E,8h
- E,40h
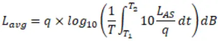
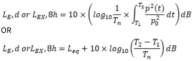
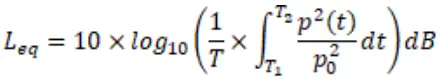
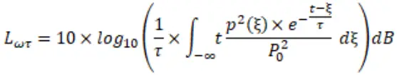
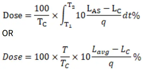
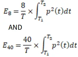
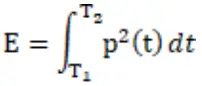
LEARN MORE For more information about the Sound Exposure metric, see “Sound Exposure (E)” on page 8.
Press down to view additional pages on the SLM Screen.
SLM–Sound Exposure, Page 8

- Displays the Sound Exposure metric in dB and in Pascal-squared seconds
- SEL
- E
- E,8h
- E,40h
LEARN MORE For more information about the Sound Exposure metric, view the Glossary definition in “Sound Exposure (E)” on page 8.
Press down to view additional pages on the SLM Screen.
SLM–Any-Level 1-second, Page 9

- Displays sound exposure levels for A, C, and Z frequency weightings
- Slow (S), Fast (F), Impulse (I), linear time (Leq), and peak time weightings (LPk) for the previous 1 second.
Press down to view additional pages on the SLM Screen.
SLM–Any-Level Overall, Page 10

- Displays sound exposure levels for A, C, and Z frequency weightings
- Slow (Smx), Fast (Fmx), Impulse (Imx), linear time (Leq), and peak time weightings (LPk) for the overall measurement.
Click here to return to Table 1.1 Screens On the Spartan 730 Dosimeter.
Summary Screen Timeout
After 60 seconds with no key press, the screen shows is a series of current activity screensavers, including measurement time, current LAeq, and Dose. Any key press returns the dosimeter display.

1.2.8 Status Bar Details
The status bar displays the following information, if and when each indication applies.
Battery Indicator
The green fill of the battery icon indicates the state of the battery charge by volume. The blue bolt symbol appears over the battery icon if the battery is currently charging, as shown in Figure 1-11.
When the battery is fully charged, the green level on the indicator completely fills the battery shape, and the blue charge bolt no longer appears.
Additionally, when your Spartan 730 is connected to a power source, the green LED front light indicates the meter is charging.

- Run Status
- Run time of current measurement
- Bluetooth™ connected
- Overload indicator
- Battery and Charge indicator
For more information about connecting to an external power source, see the section 2.3 “Charging the Spartan 730” on page 20.
Overload Indicator
The Spartan 730 overload indicator only appears when the dosimeterʼs calibrated input range has been exceeded. For more information, see section 3.2.1 Larson Davis Calibrator & Accessories
Run Status
The status of the meter is indicated by the Run Status icon, as shown in Figure 1-11 Status Bar Detail. The Run Status includes the following states: run, stop, and pause.
1.2.9 Measurement Configurations
The Spartan 730 dosimeter can calculate noise exposure using to up to 4 configurations at a time. This is accomplished using the Dosimeter 1, 2, 3, and 4 settings menu from the meter. For more information, see section 3.1 “Defining a Measurement Configuration” on page 30.
LEARN MORE Virtual dosimeter configurations can also be set from the LD Atlas app and the G4 LD Utility. For more information, see the G4 LD Utility Reference Manual.
1.2.10 Care and Cleaning
The Spartan 730 can be cleaned using a damp cloth. Do not use bleach or alcohol. For soft surfaces—such as the windscreen and foam in the carry case—spray with a non-bleach disinfectant spray and allow it to dry.
If needed, Larson Davis offers replacements for the microphone windscreen, clothing clips, cables, and power supplies on the Spartan 730 Dosimeter Support page at www.LarsonDavis.com.
Recommended Next Step:
- Module 2Getting Started
Module 2 Getting Started
If using the Spartan Model 730IS, read and become familiar with the safe use as outlined in Appendix D before using the dosimeter in a hazardous environment.
2.1 Installing G4
G4 LD Utility (G4) software enhances the features, flexibility, and ease-of-use of Larson Davis instruments. Use it to set up, calibrate, and remotely operate the Spartan dosimeter. Additionally, you can use G4 to download, chart, and analyze measurement data files, print and share a custom report, and export data to third-party software for post-processing and analysis.
2.1.1 Installing G4 from the Web
This process also works well if you want to update a currently installed version of G4.
Step 1. In your browser, navigate to the Larson Davis.com Spartan Dosimeter Product page.
Step 2. On the Dosimeters Support page, select the Spartan 730.
Step 3. On the Spartan Model 730 Support page, click on the G4 LD Utility link.
Step 4. On the G4 LD Utility Software Support page, click the link for the full installer. The file downloads to your PC in ZIP format.
Step 5. When the download is complete, extract and install the upgrade. G4 creates a shortcut icon
on th Desktop and a PCB Piezotronics folder in your Start Menu.
2.1.2 Installing G4 from the LD USB Drive
Step 1. Insert the included Larson Davis USB drive into a USB port in your PC.
Step 2. Launch the Windows Explorer, and open the USB Drive (Removable Disk).
Step 3. Open the G4 LD Utility Software folder, and double-click LDSetup.exe.
This installs the G4 software, creates a PCB Piezotronics folder in your Start Menu, and creates a shortcut to G4 on your Desktop.
Step 4. Double-click the G4 shortcut icon
on your Desktop.
2.2 Installing LD Atlas App for Mobile Devices
The LD Atlas app is available for Android® from the Google Play Store®, or for iOS® from the Apple App Store®.
With an established Bluetooth connection, you can use the app to set up, calibrate, and remotely operate your instrument; remotely monitor a measurement in progress, download and chart the resulting data, and print and share a custom report.
To install the app: open the app store on your mobile device, search for “LD Atlas,” and follow the prompts.
2.3 Charging the Spartan 730
TAKE NOTE Model 730 battery charge time is 3 hours; the 730IS battery charge time is 12 hours.
You can charge the Spartan 730 by using a wireless charging pad, or the included USB to Micro-B cable (CBL218).
In this section:
- 2.3.1 Wireless Charging
- 2.3.2 Charging by Using a USB Cable
2.3.1 Wireless Charging
The Spartan 730 is built with a convenient wireless charging capability. Charge the meter using any of the following wireless methods. If youʼre using the Model 730IS (Intrinsic Safe model), you must read Appendix C ” Spartan 730IS Safety Information” on page C-1 before continuing.
Using the Charging Case for Wireless Charging

Step 1. Set the dosimeter in the Charging Case assembly with Qi® wireless charging pad in the protective foam liner.
Step 2. Plug the case power cord into a wall socket. When connected to an external power source, the green LED on the front of the dosimeter is active.
CAUTION Keep case open while charging.
2.3.2 Charging by Using a USB Cable

Dosimeter to PC via USB
Step 1. Using the included USB to micro- B cable (CBL218), plug the micro- B end of the cable into the dosimeterʼs USB port.
Step 2. Plug the USB end into an open USB port on your PC. The meter begins charging. When connected to an external power source, the green LED on the front of the dosimeter is active.
Dosimeter to Electrical Outlet via USB and Power Adapter
Step 1. Using the included USB to micro-B cable (CBL218), plug the micro-B end of the cable into the dosimeterʼs USB port.
Step 2. Plug the USB end into the included power adapter (PSA029).
Step 3. Attach the included electrical outlet plug that matches your electrical outlet, then plug the power adapter into an electrical outlet. The meter begins charging. When connected to an external power source, the green LED on the front of the dosimeter is active.
2.4 Connecting to Your Dosimeter in G4
In this section:
- 2.4.1 Connecting Dosimeter to PC via Bluetooth
- 2.4.2 Connecting Dosimeter to PC via USB
- 2.4.3 Connecting Dosimeter to Mobile Device
If youʼre using the Model 730IS (Intrinsic Safe model), you must read Appendix C “ Spartan 730IS Safety Information” on page C-1 before continuing.
2.4.1 Connecting Dosimeter to PC via Bluetooth
Before you begin:
- Install the G4 LD Utility. For help doing this, see 2.1 Installing G4.
- Charge your dosimeter and power it on. For more information, see 2.3 Charging the Spartan 730.
TAKE NOTE Because the Spartan 730 uses a Bluetooth Low Energy (BLE) connection, there is no need to pair.
A Bluetooth® connection is established when this feature is enabled on the dosimeter, and the dosimeter is close enough to your PC to communicate. When the dosimeter is connected, the dosimeter icon in the Meters Panel (or Projects Panel) changes from gray (inactive) to blue (active).
Step 1. Verify that Bluetooth is enabled on your PC.
Win 7 Users: You must insert the included LD Bluetooth Dongle (DVX016) into an available USB slot to communicate with the Spartan 730.
Win 10 users: For more information about enabling Windows BT, click the Start Menu and search for Bluetooth.
Step 2. To launch G4, click the shortcut icon
on your Desktop.
Step 3. In G4, click on the name of your dosimeter in the Meters panel. This opens a new Meter tab on the right.
Your Spartan dosimeterʼs name is “730” followed by the serial number. Ex: 730 0000100
LEARN MORE For information about changing the name of your dosimeter, see section “Customizing the Dosimeter Name” on page 6-60.
Step 4. To view the dosimeterʼs display in G4, click Live View.

Recommended Next Step:
- 2.6 Calibration
2.4.2 Connecting Dosimeter to PC via USB
Connect the dosimeter to your PC using the included USB to micro-B cable (CBL218) as described in this section. For more information on working with G4 LD Utility, refer to the G4 LD Utility Software Manual.
Step 1. Connect the 730 Dosimeter to PC with the provided USB to micro-B cable. (CBL218).
Step 2. To launch G4, click the shortcut icon
on your Desktop.
Step 3. Locate and click on your connected Spartan dosimeter in the Meters panel. This opens a new Meter tab on the right.
Your Spartan dosimeterʼs name is “730” plus the serial number.
Ex: 730 0000100

LEARN MORE For information about changing the name of your dosimeter, see section “Customizing the Dosimeter Name” on page 6-60.
Step 4. To view the dosimeterʼs display in G4, click Live View.

Recommended Next Step:
- 2.6 Calibration
2.4.3 Connecting Dosimeter to Mobile Device
Before you begin:
- Download the LD Atlas app. For help with this, see 2.2 Installing LD Atlas App for Mobile Devices.
- Charge your dosimeter and power it on. For more information, see 2.3 Charging the Spartan 730.
Connect to the 730 Dosimeter using your mobile deviceʼs Bluetooth radio.
Because the Spartan 730 uses a Bluetooth Low Energy (BLE) connection, there is no need to pair.
Step 1. On your mobile device, enable the
Bluetooth feature.
Step 2. Tap to open the
LD Atlas app.
Step 3. Tap on the name of your connected dosimeter. A connected meter displays a blue dosimeter icon in-line with the serial number.
Your Spartan dosimeterʼs name is “730” plus the serial number.
Ex: 730 0000100

LEARN MORE For information about changing the name of your dosimeter, see section “Customizing the Dosimeter Name” on page 6-60.
Step 4. To view the dosimeterʼs screen in the app, tap the
Live View icon.
From this view, you can operate the meter.
Recommended Next Steps:
- 2.6 Calibration
2.5 Upgrading Dosimeter Firmware or Options
You can upgrade dosimeter firmware and options by connecting your dosimeter to your PC via the included USB cable and using G4 LD Utility software. For more information, in G4 go to Help→ Manuals →G4 LD Utility Manual → Module 4 Upgrading Software, Firmware, and Options.
2.6 Calibration
In this section:
- 2.6.1 Calibrating Your Spartan Dosimeter
- 2.6.2 About Calibration Histories, Instrument Overload, and Calibration Stability
- 2.6.3 Factory Calibration Service
- 2.6.4 Larson Davis Calibrator and Accessories
2.6.1 Calibrating Your Spartan Dosimeter
Your Spartan 730 dosimeter begins auto-calibrating when attached to a CAL150 or CAL200 calibrator.
Before you begin:
- Power on the dosimeter.
- Stop any measurement in progress.
Step 1. Remove the windscreen by pressing down and turning counter- clockwise.

Step 2. Insert the microphone into the slot on the bottom of the calibrator. The adapter (ADP109) is required for a proper fit.

Step 3. Press the button on the side of the calibrator to power it on. The dosimeter detects the calibratorʼs tone and begins calibrating. For best results, donʼt move the dosimeter during calibration. The calibrator automatically powers off after 1 minute.
FIGURE 2-2 Dosimeter display during calibration

Step 4. When Accept Cal? appears on the dosimeter display, press select
to accept.
To reject the calibration, press down
, remove the calibrator, and repeat from step 2.
Step 5. Replace the windscreen on the microphone.
Recommended Next Step:
- Module 4 Making a Measurement
2.6.2 About Calibration Histories, Instrument Overload, and Calibration Stability
Calibration Histories
Calibrating your Spartan 730 helps you determine the true sensitivity of your dosimeter—including all effects from the microphone, preamplifier, and dosimeter. It also establishes a numeric relationship between the sound pressure level at the diaphragm of the microphone and the voltage of the meter. Once this relationship is established, the meter accurately displays the sound pressure level.
The sensitivity value resulting from each calibration is recorded as a new entry in the Calibration History table. You can monitor the calibration history of your meter by connecting your dosimeter to a PC and using G4 LD Utility to view Calibration Histories. Large changes in sensitivity, or a pattern of small but regular sensitivity changes, indicate that your dosimeter should be serviced.
Overload Condition
During calibration, your meter determines the overload level (dB Peak) for A, C and Z frequency weightings.
Simply stated, the overload level is the maximum level the noise dosimeter can measure accurately. If the meter detects a sounds louder than the overload level, the Spartan 730 displays an overload indicator on the LCD display, in the LD Atlas app, in the G4 LD Utility, and in the resulting measurement data.

Calibration Stability
The Spartan 730 maintains a stable value of sensitivity over long periods of time. As part of the meterʼs auto-calibration, the result is documented as the Calibration History.
After the auto-calibration, the dosimeter compares the meterʼs current sensitivity value to the nominal sensitivity for the family of microphones. If the difference is greater than 5dB, the meter displays a Large Change Notification as shown in Figure 2-4.

This screen notifies you that the dosimeterʼs current sensitivity is very different from the previously measured sensitivity. Changes like this indicate that itʼs time for your dosimeter to be serviced.
2.6.3 Factory Calibration Service
TAKE NOTE Your copy of the calibration certificate is on the included Larson Davis USB drive.
Your dosimeter has been calibrated and certified to exact specifications. We recommend that you recertify the calibration periodically. Users typically recertify once per year or once every 2 years. We can also schedule the recertification service based on other requirements. To schedule service, see the back cover of this manual.
2.6.4 Larson Davis Calibrator and Accessories
The Spartan 730 dosimeter accommodates the following calibrators with a 1/4- inch adapter (ADP109).
TRY THIS Press the button on the side of the calibrator to power it on. It automatically powers off after 1 minute.

- 1/4-inch adapter (ADP109)
About the Adapter (ADP109)
The CAL150 and CAL200 calibrators require a 1/4-inch adapter (ADP109). If your dosimeter package included a calibrator, the 1/4-inch adapter was attached. If needed, additional adapters are available for purchase.
To install the adapter, firmly insert the narrow edge into the slot on the bottom of the calibrator. The adapterʼs part number should be visible around its circumference.

About Post-Calibration Data
We recommend that you calibrate prior to the measurement and again directly after the measurement, and before to downloading the data files. This creates a post-measurement entry in the Calibration History.
If you calibrate after downloading data files, connect your dosimeter to G4 or the LD Atlas app once again to automatically add the previous calibration results to the measurement file. In this case, the calibration result just prior to the measurement start is saved as the pre-calibration level and the calibration result that occurred directly after the measurement stop is saved as the post-calibration level.
If calibrations are infrequent, it is possible that long periods of time lapse between the pre-and post-calibration levels. If this occurs, the calibration levels added to a data file may not be as accurate as they would be if you calibrate just before and just after a measurement.
The Spartan 730 dosimeter automatically keeps an internal history of all calibrations. This calibration history is permanently retained unless a format and restore to factory defaults is needed.
Recommended Next Step:
- Module 3 Setting a Measurement Configuration
Module 3 Setting a Measurement Configuration
The Spartan 730 dosimeter measures sound and then calculates the current noise exposure according to your chosen configurations for Dosimeters 1, 2, 3, and 4.
These 4 virtual dosimeters calculate noise exposure based on a variety of international noise exposure standards. You may use the preset configurations as listed, customize one or more options of a preset, or create a completely custom configuration. The following preset configurations are available:
- OSHA-HC
- OSHA-PEL
- NIOSH
- ACGIH
- ISO 9612
- Custom
3.1 Defining a Measurement Configuration
In this section, navigate the measurement configuration screens on the dosimeter to prepare the dosimeter for a measurement. You can also use the G4 LD Utility or LD Atlas app to create a configuration when you connect your dosimeter to your PC or to a mobile device. For more information on this, see 3.5 “Setting the Measurement Configuration in G4” on page 44.
The Spartan 730 enables you to select a standardized measurement configuration or one based on your own custom requirements. The settings you choose in this section determine the information available to you in the resulting data. To better understand which configurations will produce the measurement data you need, you may want to review Module 5 Working With Dosimeter Data Files.
Before you begin:
- Power on your dosimeter.
- If applicable, stop any measurement in progress.
In this section, use up
or down
to highlight an option. Use Select to set the option. Press power
to step up one level in a menu.
Step 1. Press and hold select to open the dosimeter Menu.
Step 2. Highlight, then select Settings to enter the Settings menu.
Step 3. Highlight, then select Dosimeter 1. This opens the Dosimeter 1 menu.
Step 4. Highlight, then select Configure. This opens the Select Config screen.

Step 5. Highlight, then select a configuration from the available options also shown in Table 3.1.
TAKE NOTE The following table shows the properties of the international standard configurations for virtual dosimeters 1, 2, 3, and 4. The Custom configuration is also an option for each dosimeter.
Table 3.1 Properties of International Standard and Custom Configurations
| OSHA-PEL | OSHA-HC | ACGIH | NIOSH | Custom | |
| Mode | Dose | Dose | Dose | Dose | Dose or ISO |
| Exchange Rate | 5 | 5 | 3 | 3 | 3, 4, 5, or 6 |
| Criterion Level | 90 | 85 | 85 | 85 | User selected |
| Threshold Enable | Enabled | Enabled | Enabled | Enabled | User selected |
| Threshold | 90 | 80 | 80 | 80 | User selected |
| Shift Time | 8 | 8 | 8 | 8 | User selected |
| Frequency Weight | A-Weight | A-Weight | A-Weight | A-Weight | User selected |
| Detector | Slow | Slow | Slow | Slow | Slow |
| Peak Frequency Weight | C-Weight | C-Weight | C-Weight | C-Weight | User selected |
Properties of a Custom Configuration
Use the dosimeter buttons to choose values for each of the following settings. Additional information for each term is in Appendix B “ Glossary” on page B-1.
- Title: Enter a unique title for the measurement configuration.
- Mode: Select Dose or ISO
- Exch Rate: Select a value for Exchange Rate from this drop-down menu. This value is only available when you choose Dose from the Mode drop-down menu. The exchange rate defines the ratio of exposure time to level. For example, if I choose 5 for this setting, and the sound field is constant, this means that an increase of 5 dB in the Time-Weighted Average (TWA) would result in the dose being doubled. A decrease of 5 dB in the TWA would result in the dose being 50% less.
- Criterion Lvl: The abbreviation for Criterion Level. This value is only available when you choose Dose as the Mode. Use the default or enter a custom value.
- Thresh En: The abbreviation for Threshold Enable. Choose Enable or Disable.
- Threshold: This value is only available when you choose Dose as the Mode. Use the default or enter a custom value (55-100 dB).
- Shift Time: This is the length of time in hours that a dosimeter subject could be exposed to noise at work
- Freq Weight: The abbreviation for Frequency Weighting. This is the frequency weighting used for all noise level calculations for this virtual dosimeter except for the peak frequency weighting, which has a separate weighting selection. Choose A, C, or Z. The detector for each frequency weighting is Slow. However, with current firmware (version 1.108+), the LAIeq metric can be displayed on Live and Overall pages.
- Pk Freq Wt: The abbreviation for Peak Frequency Weighting. Select from A, C, or Z.
Step 6. If you want to enable additional virtual dosimeters, do the following:
Enabling or Disabling Dosimeter 2, 3, or 4
a. From the Settings menu, highlight, then select Dosimeter 2. This opens the Dosimeter 2 menu.
b. Highlight, then select Enable. This opens the Enable screen.

c. Press down to toggle between Enabled and Disabled.
d. Highlight Enabled, then press Select to set this option and return to the Dosimeter menu.
e. Repeat step 4 above to set a configuration for the newly enabled virtual dosimeter.
Step 7. When your desired configuration is set, quickly press power repeatedly to exit all menus.
Recommended Next Steps:
- Select from the remaining items in section 3.1 to complete a measurement configuration.
- To begin a measurement, see 4.1 “Making a Measurement” on page 45.
3.1.1 Activating Options for a Measurement
This section describes how to utilize 730 firmware options, which can be enabled in the measurement setup file.
In this section:
- About the Time History Option
- About the Octave Band Analysis Option (730-OB1)
- About the Remove Bluetooth Capability Option (730-NBT)
- Enabling the Option On the Meter
About the Time History Option
Time History records taken in regular intervals allow G4 to graph the subject exposure level for the duration of the measurement. In the measurement configuration, Time History is defined with a 1-second or 1-minute period. With this setting, exposure levels are recorded in terms of a table of metrics tracked every second (or minute, respectively).
About the Octave Band Analysis Option (730-OB1)
The Octave Band Analysis (OBA) feature on your Spartan 730 allows you to analyze the measured noise exposure in full octaves.
Industrial Hygiene professionals sometimes use octave band analysis when measuring personal noise exposure. Octave bands allow you to see the frequency composition of a sound. Among other uses, studying the frequency composition of measured noise can help you determine the most appropriate type of hearing protection for the specific noise frequencies shown.
About the Remove Bluetooth Capability Option (730-NBT)
This firmware option allows you to disable the dosimeterʼs built-in Bluetooth capability so that this dosimeter model can be used where radios are not allowed. When enabled, the meter can be set up, and controlled, and data downloaded by using the included USB cable.
Enabling the Option On the Meter
Before you begin:
- Power on the dosimeter.
- Stop any measurement in progress
In this section, use UP
or DOWN
on the dosimeter to highlight an option. Use SELECT
to set the option.
Step 1. Press and hold select to open the dosimeter Menu.
Step 2. Highlight, then select Settings to enter the Settings menu.
Step 3. Highlight, then select Meter. This opens the Meter menu.
Step 4. Highlight, then select the firmware option you want to enable from the list. This opens the Enable screen.

Step 5. Press up or down to toggle the option to Enabled.
Step 6. Press select to set the option and return to the Meter menu.
Recommended Next Step:
- Select from the remaining items in section 3.1 to complete the measurement configuration.
3.2 Defining Exceedance Triggers
Exceedance triggers provide a way to monitor compliance with additional exposure requirements. For example, if:
- workers should not be exposed to C-weighted peak levels above 140 dB
- workersʼ exposure to LAS levels greater than 115 dB should be limited to a certain duration or to a specific number of occurrences
An exceedance occurs when the measured sound level rises above one or more of the user-defined trigger levels. For the Spartan 730, there are two threshold levels (SPL 1 and SPL 2), and three peak trigger levels (Peak1, Peak2, and Peak3). The process of setting these exceedance levels is explained in section 3.2.1.
The Spartan 730 also allows you to customize the Frequency Weighting, Detector, and Peak Frequency Weighting for these Exceedance Triggers if you choose to do so. For the example exposure requirements listed above, you would choose C- weighting for the peak frequency weighting, and choose S (slow) for the Detector setting. The process for customizing these settings on the meter is shown in section 3.2.2.
3.2.1 Setting Exceedance Trigger Levels On the Dosimeter
In this section, use UP
or DOWN
on the dosimeter to highlight an option. Use SELECT
to set the option. Quick press power
to step up one level in a menu.
Step 1. Press and hold select to open the dosimeter Menu.
Step 2. Highlight, then select Settings to enter the Settings menu.
Step 3. Press down until Trigger Levels is highlighted, then press Select. This opens the Trigger Levels menu.
Step 4. Press down to highlight the Trigger Level you want to set (SPL1, SPL2, Peak1, Peak2, Peak3), then press select.
Adjusting a Trigger Level On the Dosimeter
- Use up or down to change the digit.
- Press select to set the digit and progress to the right.
- Set all 4 digits to return to the menu.
- Quick press POWER
to step back to the left at any time.
Step 5. Repeat step 4 to set additional Trigger Levels, then press and hold power to exit all menus.
3.2.2 Customizing Exceedance Trigger Settings
Use the processes in this section to edit how exceedance triggers are calculated.
In this section:
- Setting the Frequency Weighting
- Setting the Peak Frequency Weighting
Setting the Frequency Weighting
In this section, use UP
or DOWN
on the dosimeter to highlight an option. Use SELECT
to set the option. Quick press power
to step up one level in a menu.
Step 1. Press and hold select to open the dosimeter Menu.
Step 2. Highlight, then select Settings to enter the Settings menu.
Step 3. Highlight, then select Det & Weight. This opens the Detectors and Weight menu.
Step 4. Highlight, then select Freq Weight. This opens the SPL Freq Wt screen.
Step 5. Press down to highlight an available option, then press Select to set your selection and return to the Detectors and Weight menu.
Available options include A-Weight, C-Weight, and Z-Weight.
Step 6. Quick press power
to exit all menus.
Setting the Peak Frequency Weighting
In this section, use UP
or DOWN
on the dosimeter to highlight an option. Use SELECT
to set the option. Quick press power
to step up one level in a menu.
Step 1. Press and hold select to open the dosimeter Menu.
Step 2. Highlight, then select Settings to enter the Settings menu.
Step 3. Highlight, then select Det & Weight. This opens the Detectors and Weighting menu.
Step 4. Highlight, then select Pk Freq Wt. This opens the SPL Pk Freq Wt screen.
Step 5. Press down to highlight an available option, then press Select to set your selection and return to the Detectors and Weighting menu.
Available options include C-Weight, Z-Weight, and A-Weight.
Step 6. Press and hold power
to exit all menus.
3.3 Setting a Visual Alarm on the Spartan 730
The Spartan 730ʼs visual alarm settings enable you and the worker to be aware of milestones within the current noise exposure period. The Dosimeter 1 set comes with 2 customizable visual alarm settings: Alarm 1, and Alarm 2, which can be enabled separately, as shown in section 3.3.1 Enabling Dosimeter 1 Alarm 1.
First, enable the alarm, then choose the alarm Source and Levels (noise exposure metric and levels) on to base the alarm. Each alarm has an action level and a limit level alarm. These levels are selectable from 70 to 100 dB. The alarm state is active while the measured sound pressure level is above the set alarm level. The alarm deactivates when the measured sound pressure level or Dose level drops below the alarm level. This process is described here in section 3.3.2 Selecting Alarm Options.
In this section:
- 3.3.1 Enabling Dosimeter 1 Alarm 1
- 3.3.2 Selecting Alarm Options
Suggested Application:
- Set a Limit Level alarm that indicates when the subject experiences an LCpeak noise exposure.
- Set an Action Level alarm that indicates when the subject noise exposure reaches 100% Dose.
3.3.1 Enabling Dosimeter 1 Alarm 1
Before you begin:
- Power on the dosimeter.
- Stop any measurement in progress.
In this section, use UP
or DOWN
on the dosimeter to highlight an option. Use SELECT
to set the option. Quick press power
to step up one level in a menu.
Step 1. Press and hold select to open the dosimeter Menu.
Step 2. Highlight, then select Settings to enter the Settings menu.
Step 3. Highlight, then select Dosimeter 1. This opens the Dosimeter 1 menu.
Step 4. Highlight, then select Alarm 1. This opens the Alarm 1 menu.
Step 5. Highlight Enable, then press select to open the Enable screen. This opens the Enable/Disable option for Alarm 1.

Step 6. Press up or down to toggle the option to Enabled.
Step 7. Press select to set the option and return to the Alarm 1 menu.
Recommended Next Step:
- 3.3.2 Selecting Alarm Options
3.3.2 Selecting Alarm Options
In this section:
- Part 1: Setting the Alarm Source
- Part 2: Setting the Alarm Action Level and Limit Level
Part 1: Setting the Alarm Source
In this section, use UP
or DOWN
on the dosimeter to highlight an option. Use SELECT
to set the option. Quick press power
to step up one level in a menu.
Step 1. Highlight, then select Source from the Alarm 1 menu. This opens the Alarm 1 Source menu.
Step 2. Highlight, then select the Source you want to base the alarm on. This returns you to the Alarm 1 menu.
The Alarm 1 Source setting includes the following options:
| Proj Dose | Dose | Proj TWA | TWA | Proj LEPD |
| LEPD | LAeq | LAvg | LCpeak | LZpeak |
Part 2: Setting the Alarm Action Level and Limit Level
In this section, use UP
or DOWN
on the dosimeter to highlight an option. Use SELECT
to set the option. Quick press power
to step up one level in a menu.
Step 1. From the Alarm 1 menu, highlight, then select Action Level. This opens the Action Level screen.
Step 2. To set the Alarm Action Level and return to the Alarm 1 menu, do the following:
Adjusting the Alarm Action Level On the Dosimeter
- Use up or down to change the digit.
- Press select to set the digit and progress to the right.
- Set all 3 digits to return to the menu.
- Quick press POWER
to step back to the left at any time. Your Action Level may also be expressed in dB, depending on the Source value you chose in Part 1: Setting the Alarm Source.

Step 3. Repeat the process shown in step 2 to set the Limit Level and return to the Alarm 1 menu.
Step 4. If you want to provide real-time exposure feedback to the wearer, enable the LED alarm lights.
Enabling or Disabling LED Alarm Lights
When enabled, the LED alarm lights on the Spartan 730 provide exposure feedback to the wearer based on the Source metric, and the Action and Limit levels you set. The LED is yellow when the exposure level is between the action and limit levels, and red when the exposure is equal to or above the limit level.
- From the Alarm 1 menu, highlight LED Off/On by pressing up or down.
- Press select to toggle the highlighted option.
Step 5. When your alarm is configured, quickly press power
to exit one menu at any time.
Recommended Next Step:
- 3.4 Setting a Measurement Timer
3.4 Setting a Measurement Timer
In this section:
- 3.4.1 Setting a Timed Stop Measurement Timer
- 3.4.2 Setting a Daily Measurement Timer
- 3.4.3 Disabling a Measurement Timer
Measurement timers enable you to gather noise exposure data at specific times without interfering with the wearerʼs daily routine. Simply set the timer, install the dosimeter on the wearer, and collect it at the end of the shift.
3.4.1 Setting a Timed Stop Measurement Timer
When enabled, the Timed Stop measurement timer begins when you select Run, and automatically stops after running (gathering data) for the amount of time you set, as described in this section.
In this section, use UP
or DOWN
on the dosimeter to highlight an option. Use SELECT
to set the option. Quick press power
to step up one level in a menu.
Step 1. Press and hold select to open the menu.
Step 2. Highlight, then select Settings from the list. This opens the Settings menu.
Step 3. Highlight, then select Timers from the Settings menu.
Step 4. Highlight, then select Mode from the list. This opens the Timer Mode screen.
Step 5. From the Timer Mode screen, highlight, then select Timed Stop. This returns you to the Timers menu.
Step 6. From the Timers menu, highlight, then select Duration.
Step 7. On the Duration screen, set the duration of the timed measurement in hh:mm:ss format.
Using the Dosimeter Buttons to Set Timer Duration
- Press the up or down button to change the digit.
- Press select to set the digit and progress to the right.
TAKE NOTE Quick press POWER
to step back to the left at any time. When your measurement timer is set, quickly press power
to exit one menu at a time.
3.4.2 Setting a Daily Measurement Timer
TRY THIS You can merge 2 or more files in the LD Atlas app or G4. For more information, see 5.2 Merging Data Files in G4.
The Spartan 730 enables you to set one or more time periods per day (daily timers) during which the dosimeter will automatically power on, take a scheduled measurement, and power off. You can schedule up to 3 daily noise measurements using the Daily Timer.
If desired, when you download the files in G4 LD Utility, select the resulting data files, and use the G4 Merge feature. This combines the resulting files into one file, from which you can examine the subject noise exposure.
You can also set the Daily Measurement timer from the LD Atlas app or G4 LD Utility. This section shows you how to set a Daily Measurement Timer on the dosimeter.
In this section, use UP
or DOWN
on the dosimeter to highlight an option. Use SELECT
to set the option. Quick press power
to step up one level in a menu.
Step 1. Press and hold select to open the dosimeter Menu.
Step 2. Highlight, then select Settings to enter the Settings menu.
Step 3. From the Settings menu, highlight, then select Timers. This opens the Timers menu.
Step 4. Highlight, then select Mode from the list. This opens the Timer Mode screen.
Step 5. On the Timer Mode screen, choose Daily Timer to return to the Timers menu.
Step 6. Highlight, then select Start Date from the Timers menu. This opens the Start Date screen.
Step 7. Set a value for the timer Start Date in yyyy-mm-dd format, to return to the Timers menu.

Using the Dosimeter Buttons to Set the Start Date
- Press the up or down button to change the digit.
- Press select to set the digit and progress to the right.
- Set all digits to exit the Start Date screen.
- Quick press power to step back to the left at any time, highlight, and then select Stop Date from the list. This opens the Stop Date screen.
Step 8. Set a value for the timer Stop Date in yyyy-mm-dd format. This return you to the Timers menu.
Repeat the process shown in step 7.
Step 9. From the Timers menu, highlight, then select Timer 1 Start. This opens the Start Time screen.
Step 10. Set the time the measurement should start in hh:mm: ss format. This returns you to the Timers menu.
Using the Dosimeter Buttons to Set the Start Time
- Press the up or down button to change the digit.
- Press select to set the digit and progress to the right.
- Set all digits to exit the Start Time screen.
- Quick press POWER
to step back to the left at any time.
Step 11. From the Timers menu, highlight, then select Timer 1 Stop. This opens the Timer 1 Stop screen.
Step 12. Set the time the measurement should stop in hh:mm:ss format. This returns you to the Timers menu.
Repeat the process shown in step 10.
Step 13. If you want to set up additional timers, do the following:
Setting Timer 2
a. From the Timers menu, highlight, then select Timer 2 Enable, or Timer 3 Enable.
b. Use up or down, and select to choose Enabled and return to the Timers menu.
c. Repeat steps 9–12 to set the Start Time and Stop Time for this timer.
d. To enable Timer 3, repeat this Setting Timer 2 section.
3.4.3 Disabling a Measurement Timer
Before you begin:
- Power on the dosimeter.
- Stop any measurement in progress.
In this section, use UP
or DOWN
on the dosimeter to highlight an option. Use SELECT
to set the option. Quick press power
to step up one level in a menu.
Step 1. Press and hold select to open the dosimeter Menu.
Step 2. Highlight, then select Settings to enter the Settings menu.
Step 3. Highlight, then select Timers. This opens the Timers menu.
Step 4. Highlight, then select Mode from the list. This opens the Timer Mode screen.
Step 5. Highlight, then select Manual to set the mode and return to the Timers menu.
Step 6. Quick press power
to exit all menus.
3.5 Setting the Measurement Configuration in G4
G4 LD Utility provides a simple, easy way to work with your dosimeter. When the meter is connected to your PC and G4 LD Utility, you can set the measurement configuration to a connected dosimeter and much more.
For more information, open G4 and go to Help→ Manuals →G4 LD Utility Manual →10.1 Creating a Measurement Configuration File in G4.
Recommended Next Step:
- Module 4 Making a Measurement
Module 4 Making a Measurement
4.1 Making a Measurement
Before you begin:
- Calibrate your dosimeter. For help with this, see 2.6.1 “Calibrating Your Spartan Dosimeter” on page 26.
TAKE NOTE You can also begin a measurement from the LD Atlas app or G4. - Select a measurement configuration. For more information, see 3.1 “Defining a Measurement Configuration” on page 30.
In this section, use UP
or DOWN
on the dosimeter to highlight an option. Use SELECT
to set the option.
Step 1. Press and hold the select button to enter the Menu.
Step 2. Highlight, then select Run. The measurement begins.
Recommended Next Step:
- 4.3 Deploying the Dosimeter
4.1.1 Pausing a Measurement in Progress
Pausing a measurement in progress temporarily stops the meter from measuring noise levels and halts the run time clock. Resuming the measurement also resumes the run time clock.
Before you begin:
- Begin a measurement as shown in 4.1 Making a Measurement, or begin the measurement from the LD Atlas app or G4.
In this section, use UP
or DOWN
on the dosimeter to highlight an option. Use SELECT
to set the option.
Step 1. With a measurement in progress, press and hold select to enter the Menu.
Step 2. Highlight, then select Pause. The measurement is paused.

To Resume the Measurement:
Repeat the steps in section 4.1 Making a Measurement.
4.1.2 Stopping a Measurement in Progress
TRY THIS You can merge 2 or more files in the LD Atlas app or G4. For more information, see the 5.2 Merging Data Files in G4.
When you stop a measurement, all data from that run time segment is saved in a single data file. When you start the next measurement, the dosimeter saves the subsequent data in a new file.
Before you begin:
- Begin a measurement as shown in section 4.1 Making a Measurement, or from the LD Atlas app or G4.
In this section, use UP
or DOWN
on the dosimeter to highlight an option. Use SELECT
to set the option.
Step 1. With a measurement in progress, press and hold select to enter the Menu.
Step 2. Highlight, then select
Stop. The measurement ends.
4.1.3 Making a Measurement in Locked Run Mode
The Spartan 730 dosimeter enables you to lock the dosimeter display. This prevents the wearer from accidentally or incidentally tampering with measurement data. When the dosimeter is locked, use the LD Atlas app or G4 to unlock it.
LEARN MORE For more information about operating the Spartan dosimeter using G4, see 2.4 Connecting to Your Dosimeter in G4.
In this section, use UP
or DOWN
on the dosimeter to highlight an option. Use SELECT
to set the option.
Step 1. Press and hold select to enter the Menu.
Step 2. Highlight, then select
Run. The measurement begins, and the meter displays a lock.
Step 3. Use the LD Atlas app or G4 to operate or unlock a locked dosimeter.
For more information, in G4 go to Help → Manuals → G4 LD Utility → 6.1.3 Using the Meter Lock for Spartan 730 Dosimeter in G4.
4.2 Best Practices for Measuring Noise Exposure
Because you are taking time to obtain noise exposure readings, you want the measurement data to be an accurate representation of a subjectʼs noise exposure. The following considerations may help you gather the most useful results. First, examine the work environment to determine the noise you want to measure. Second, consider the timing and location of your measurement to obtain a representative sample. Next, examine the area for mechanical vibrations or other interference that may impact the dosimeterʼs ability to function. Finally, use the Spartan dosimeterʼs features to prevent unnecessary tampering with the measurement.
While each of these individual practices is a good idea, applying them together will contribute to the most accurate representation of a workerʼs noise exposure.
The following sections provide details on how to accomplish this.
4.2.1 Survey the Noise You Want to Measure
Examine the work environment to understand what kind of noise is typical in the area being surveyed, and when particular types of noise might elevate a personʼs exposure. For example, if you discover that a site has a very noisy fan that runs routinely during the summer, this information helps you understand when and where a noise exposure survey will provide the most accurate assessment of a personʼs noise exposure.
4.2.2 Schedule the Measurement
Track the day, time, and specific location of any suspected peak exposure, and schedule your measurement accordingly. It may be helpful to schedule measurements using multiple Spartan dosimeters in the same area.
If the noise exposure youʼre measuring occurs at a specific time, you can use the Spartan 730ʼs timers—a timed stop or a daily timer—to obtain the best noise exposure sample.
Using a Timed Stop
A timed stop takes a measurement for the duration you set. You can set a timed stop on the Spartan 730, in the LD Atlas app, or in the G4 LD Utility.
To set a timed stop on the dosimeter, see section 3.4.1 “Setting a Timed Stop Measurement Timer” on page 41.
Using a Daily Timer
A daily timer enables you to set one or more time periods per day during which the dosimeter will automatically power on, take a scheduled measurement, and power off.
The Spartan 730 enables you to schedule up to 3 daily noise measurements. You can set a daily timer on the Spartan dosimeter, in the LD Atlas app, or in the G4 LD Utility.
To set a daily timer on the dosimeter, see section 3.4 “Setting a Measurement Timer” on page 41.
4.2.3 Preventing and Detecting Meter Tampering
The Spartan Noise Dosimeter provides these simple ways to prevent the wearer from accidentally or incidentally influencing measurement data.
- Using Locked Run mode on the dosimeter.
- Examining the motion and bump records in the resulting data file.
- Using event sound recordings to identify the source of loud noises to distinguish work-related noises from others.
Using Locked Run Mode
When you start a measurement in Locked Run mode, the meter can only be operated remotely from the LD Atlas app or G4 LD Utility. The meter displays a lock as shown in
For more information on using Locked Run Mode, see section 4.1.3 “Making a Measurement in Locked Run Mode” on page 47.
Examining Motion in the Data File
Motion and “bump” events also appear as part of the measurement report in the following locations:
- Time History Table
- Time History Chart
Viewing Motion Events in the Time History Table
Motion and “bump” events display in columns K–L in the Time History table. In the LD Atlas app or G4, you can view the Time History after downloading and opening a measurementʼs data file.
Viewing Motion Events in the Time History Chart
In G4 LD Utilityʼs
Graph view, you can view the Time History chart after downloading and opening a measurement data file. Motion, or lack of motion, during the measurement, is displayed at the bottom of the chart.
4.3 Deploying the Dosimeter
Attach the dosimeter—using the durable, attached clothing clips—on the top middle of the subjectʼs shoulder near the ear. It may be effective to consider the subjectʼs position in relation to the loudest sounds in the environment and to secure the dosimeter on the shoulder most closest to the noise source.
If the worker moves to one or more areas during the noise exposure, it may be helpful to suggest that they stand with the dosimeter closest to the noise source.
Make any necessary adjustments so that hair, clothing, coats, or equipment donʼt brush or interfere with the microphone.
If the worker wears heavy clothing, use the included large safety pins to secure the meter to their outermost layer.
When your measurement is complete, youʼre ready to download and interact with the data files using the LD Atlas app or G4.
Recommended Next Step:
• Module 5 Working With Dosimeter Data Files.
Module 6 Working With Dosimeter Data Files
Now that your measurement is complete, youʼre ready to download and interact with the data files using G4 LD Utility or the LD Atlas app.
5.1 Downloading Data Files in G4
In this section:
- 5.1.1 Enabling or Disabling Auto-Download in G4
- 5.1.2 Setting a Dosimeter Exception For Auto-Download
- 5.1.3 Downloading Files from a Dosimeter Exception
- 5.1.4 Downloading Data Files Manually
The Spartan 730 dosimeterʼs helpful auto-download feature is enabled by default when you use G4. After the measurement, bring the dosimeter within Bluetooth range (or connect using the included USB cable) and your files automatically begin downloading.
Note that auto-download will stop if you open the meter tab by clicking on your dosimeter in the Meters Panel.
After files are downloaded, when you click on your connected meter in the Meters Panel (or Project Panel), the meter tab opens on the right displaying the Spartan Files view. In this view, the toolbar displays all active commands for a selected file or files, as shown in Figure 5-1.
- If this icon appears, click it to view additional toolbar commands or enlarge your G4 window to display all commands.
- In the search bar, enter a keyword, project, file name, or date to display only files with matching terms in the file list. Clear the search bar to display all files.
- The Open on Download and Export to .xlsx commands are not available when using the Auto-Download feature.
LEARN MORE For more information about using the Files view, in G4 go to
Help → Manuals → G4 LD Utility Manual → 4.3 Using the G4 Files View.
5.1.1 Enabling or Disabling Auto-Download in G4
Step 1. In G4, click Tools → Options. This opens the G4 Options window.
Step 2. Select the Auto-Download tab, then click the checkbox in line with Automatically download from all Spartan dosimeters.
TAKE NOTE If you want to disable auto-download, deselect the checkbox.
Step 3. Click Save, then click OK in the pop-up window that appears.
Step 4. Close and restart G4.
5.1.2 Setting a Dosimeter Exception For Auto-Download
This section shows how to add a dosimeter download exception to the Individual Cases list. Meters on the list are excluded from the auto-download feature.
Step 1. In G4, go to Tools → Options. This opens the G4 Options window.
Step 2. Select the Auto-Download tab, then click the checkbox in line with Automatically download from all Spartan dosimeters not listed below.
Step 3. Click the blue plus sign
to add a dosimeter download exception. A blue drop-down menu appears in the Individual Cases list.
Step 4. Select the name of the dosimeter you do not want to auto-download from the blue drop-down menu.
Step 5. Click Save, then click OK in the pop-up window that appears.
Step 6. Close and restart G4. Files auto-download from all dosimeters except the dosimeter(s) in the Individual Cases list. Note that auto-download will stop if you open the meter tab by clicking on your dosimeter in the Meters Panel.
5.1.3 Downloading Files from a Dosimeter Exception
This section shows how to download files from a dosimeter listed as a download exception.
Step 1. In G4, click Tools → Options. This opens the G4 Options window.
Step 2. Select the Auto-Download tab, then select the Download checkbox in line with the dosimeter, and click Save.
Step 3. Click OK in the pop-up window that appears, then close and restart G4. When the dosimeter again connects to G4, the files begin auto-downloading. Note that auto-download will stop if you open the meter tab by clicking on your dosimeter in the Meters Panel.
If you want the dosimeter to again be excluded from the auto download, repeat this process from step 1. (Step 3 deselects the Download checkbox.)
5.1.4 Downloading Data Files Manually
The Spartan 730 comes with a helpful auto-download feature enabled. When enabled, measurement data files begin downloading when the meter comes within Bluetooth range of your PC.
LEARN MORE To enable or disable auto-download, see 5.1.1 Enabling or Disabling Auto-Download in G4.
If auto-download is not enabled, complete the following steps to manually download your data files.
Before you begin:
- Install and launch the G4 LD Utility (or LD Atlas app). For more information, see section 2.1 “Installing G4” on page 19.
- Establish a Bluetooth or USB connection from your dosimeter to your PC. For details, see section 2.4 “Connecting to Your Dosimeter in G4” on page 22.
Step 1. If needed, bring your Spartan dosimeter within Bluetooth range of your PC.
Step 2. Click the name of your connected dosimeter in the Meters panel. This opens the dosimeter as a new tab.
1. Connected dosimeters display a blue icon in the Meters panel.
Step 3. Double-click the name of the file you want to download.
Downloading Multiple Files
a. Select multiple files in the list: Use SHIFT+ click to select multiple consecutive files or CTRL+ click to select non-consecutive files in the list.
b. Click the
download icon to begin downloading.
To select all files in the list, click the checkbox above the file list. To cancel the download in progress, click the cancel download icon
.
Step 4. When the file is downloaded, double-click again to open it. The file opens in a new tab on the
Data view.
5.2 Merging Data Files in G4
You can choose to automatically merge the data files resulting from a daily or repeating timer directly on the dosimeter, or you can merge them in G4 after they download. Complete the steps in this section to merge two files in G4 after downloading.
Step 1. In G4, in the Meters panel (or Projects Panel), click on the name of your connected dosimeter. This opens the Files view in a new tab.
Step 2. Select the checkbox in line with the two files you want to merge, then click the merge icon
. This opens the Merge Files window.
Step 3. Click inside the Output Filename field, and enter a name for the merged file.
Step 4. Select OK in the Merge Files result window. The merged file displays in the file list.
5.3 Viewing Measurement Results in G4
For complete information on viewing measurement results, open G4 and go to Help → Manuals → G4 LD Utility → 10.6 Viewing Measurement Results in G4.
5.3.1 Using the Graph View
In G4, download and open the data file, then choose the
Graph view.
FIGURE 5-3 Time History Graph Features
To continue using the Graph view, in G4 go to Help → Manuals → G4 LD Utility → 10.6 Viewing Measurement Results in G4.
5.3.2 Accessing Your Event Sound Recordings
If you purchased and installed firmware option 730-SR, G4 provides a simple means for accessing measurement sound recordings. For complete details, in G4 go to Help → Manuals → G4 LD Utility → 4.8 Accessing Audio Files in G4.
5.4 Creating a Report
For more information about this feature, in G4 go to Help → Manuals → G4 LD Utility Manual → 10.6.4 Creating a Report.
Module 6 Additional Dosimeter Settings
This section provides a reference for additional settings and features, including firmware options available for purchase. Depending on the firmware installed on your meter, some settings listed here may not be available to you.
6.1 Setting Event Sound Recording Options
When you purchase and install the 730-ESR firmware option, event sound recording enables the dosimeter to produce audio recordings of measured sound when the sound level exceeds a preset threshold.
Sound recordings are saved as 16-bit WAV files sampled at 8 kHz. The 12-second recording includes 2 seconds of pre-trigger recording and 10 seconds of post-trigger recording. You can use G4 or LD Atlas to listen to sound recordings.
In this section:
- Part 1: Setting Options for Event Recording
- Part 2: Disabling Event Sound Recording
Part 1: Setting Options for Event Recording
This section reviews how to set the event sound recording options, which include the following values: Trigger Source, Trigger Level, and Minimum Interval.
In this section, use UP
or DOWN
on the dosimeter to highlight an option. Use SELECT
to set the option. Quick press power
to step up one level in a menu.
Step 1. From the Evt Sound Rec menu, highlight, then select Trigger Src. This opens the Trigger Src screen.
Step 2. Press down to highlight an available option, then press select to set the option and return to the Event Sound Rec menu.
Available options include LCS, LAF, LAeq1s, LCeq1s, and LAS.
Step 3. From the Evt Sound Rec menu, highlight, then select Trigger Levels.
This opens the Trigger Levels screen.
Step 4. Enter the Trigger Level in dB.
Setting the Trigger Level by Using the Dosimeter Buttons
- Press up or down to change the digits.
- Press select to set the digit and progress to the right.
- Set all digits to exit the Trigger Level screen.
- Quick press power
to step back to the left at any time.
Step 5. From the Evt Sound Rec menu, highlight, then select Min Interval. This opens the Min Interval screen.
Step 6. Set the Min Interval in seconds using the dosimeter buttons as shown in step 4.
The minimum Interval is the number of seconds between event recordings. The default setting is 30 seconds. Set a longer Min Interval to minimize the number of recorded events and conserve dosimeter memory.
Part 2: Disabling Event Sound Recording
If you donʼt want events recorded, complete this section to disable the feature.
In this section, use UP
or DOWN
on the dosimeter to highlight an option. Use SELECT
to set the option. You can also edit these settings from the G4 LD Utility. For more information, see the G4 LD Utility Reference Manual.
Step 1. Press and hold select to open the dosimeter Menu.
Step 2. Highlight, then select Settings to view the Settings menu.
Step 3. In the Settings menu, press up to highlight Sound Rec, then press Select. This opens the Event Sound Rec menu.
Step 4. Highlight, then select Enable in the Sound Rec menu.
Step 5. On the Enable screen, press down to toggle between Enabled and Disabled.
Step 6. Highlight Enabled, then press Select to set this option and return to the Event Sound Rec menu.
6.2 About the Dosimeter Noise Level
The dosimeter noise level setting is a factory configuration that rarely requires adjustment. Among other things, it is used to compute the meterʼs under-range level.
6.3 Customizing the Dosimeter Name
The default name of each dosimeter is “Spartan 730” + the meterʼs serial number.
This section reviews how to change this to a custom name.
Please note that the name you set on the dosimeter will only display in the LCD and in the resulting data file. To display a custom meter name in the LD Atlas App or in the G4 LD Utility interface, edit the meter name in each utility.
In this section, use UP
or DOWN
on the dosimeter to highlight an option. Use SELECT
to set the option.
Step 1. Press and hold select to open the dosimeter Menu.
Step 2. Highlight, then select Settings to enter the Settings menu.
Step 3. Highlight, then select Meter. This opens the Meter menu.
Step 4. Highlight, then select Device Name. This opens the Device Name screen.
Step 5. Use the dosimeter buttons to enter a custom name. Dosimeter names can be 0–12 characters, including alphanumeric characters, symbols, and spaces.
Using the Dosimeter Buttons to Enter a Custom Name
- Press up or down to edit the highlighted character.
- Press select to set the character and progress to the right.
- Use quick press power
to step back to the left at any time.
Step 6. Quick press power
to exit all menus.
6.4 Setting Date and Time Manually On the Meter
The Sync Clock feature in the LD Atlas app or in the G4 LD Utility is a quick and easy alternative to the process described here.
LEARN MORE For more information about using Sync Clock, see the G4 LD Utility Reference Manual.
In this section, use UP
or DOWN
on the dosimeter to highlight an option. Use SELECT
to set the option.
Step 1. Press and hold select to open the dosimeter Menu.
Step 2. Highlight, then select Settings to enter the Settings menu.
Step 3. Highlight, then select Meter. This opens the Meter menu.
Step 4. Highlight, then select Date. This opens the Date screen.
Step 5. Enter the current Date in yyyy-mm-dd format.
Using the Dosimeter Buttons to Set the Date Manually
a. Press up or down to edit the year in yyyy format.
b. Press select to set the year and highlight the month (mm).
c. Repeat steps a–b to set the month and advance to the day (dd).
TAKE NOTE Quick press POWER
to step back to the left at any time.
d. Repeat steps a–b to set the day (dd) and return to the Meter menu.
Step 6. From the Meter menu, highlight, then select Time. This opens the Time screen.
Step 7. Set the time on the dosimeter in hh:mm: ss format.
Using the Dosimeter Buttons to Set the Time Manually
a. Press up or down to edit the hour in 24-hour (hh) format.
b. Press select to set the hour and highlight the minute (mm).
c. Repeat steps a–b to set the minute and advance to the second (ss).
TAKE NOTE Quick press POWER
to step back to the left at any time.
d. Repeat steps a–b to set the seconds (ss) and return to the Meter menu.
Step 8. When your custom Time is set, quickly press power
to exit all menus.
6.5 Setting Localization Preferences
In this section:
- 6.5.1 Setting Your Decimal Preference
- 6.5.2 Setting the Language On the Dosimeter
- 6.6 Disabling or Enabling Auto Shut-Off
6.5.1 Setting Your Decimal Preference
In this section, use UP
or DOWN
on the dosimeter to highlight an option. Use SELECT
to set the option.
Step 1. Press and hold select to open the dosimeter Menu.
Step 2. Highlight, then select Settings to enter the Settings menu.
Step 3. From the Settings menu, highlight, then select Preferences. This opens the Preferences menu.
Step 4. Press up or down to highlight an available option, then press Select to set your selection and return to the Preferences menu.
Available options include Periods and Commas.
Step 5. Quick press power
to exit all menus.
6.5.2 Setting the Language On the Dosimeter
Step 1. Press and hold select to open the dosimeter Menu.
Step 2. Highlight, then select Settings to enter the Settings menu.
Step 3. From the Settings menu, highlight, then select Preferences. This opens the Preferences menu.
Step 4. Highlight, then select Language. This opens the Language Preferences screen.
Step 5. Press up or down to highlight your chosen option, then press select to set the language and return to the Preferences menu.
Step 6. Quick press power
to exit all menus.
6.6 Disabling or Enabling Auto Shut-Off
With the Auto Shut-off setting enabled, when the Spartan 730 is not taking a measurement and is inactive for 30 minutes, it powers off. The meter remains active with a Bluetooth connection to the LD Atlas app or G4, or any button press. Auto Shut-off is also disabled when the meter is being powered by a USB cable.
In this section, use UP
or DOWN
on the dosimeter to highlight an option. Use SELECT
to set the option.
Step 1. Press and hold select to open the dosimeter Menu.
Step 2. Highlight, then select Settings to enter the Settings menu.
Step 3. From the Settings menu, highlight, then select Preferences. This opens the Preferences menu.
Step 4. Highlight, then select Auto Off. This opens the Auto Off screen.
Step 5. On the Enable screen, press down to toggle between Enabled and Disabled.
Step 6. Highlight Enabled, then press select to set this option and return to the Preferences menu.
Step 7. Quick press power
to exit all menus.
6.7 Troubleshooting Dosimeter Power
When the Spartan dosimeter does not power on, especially after being stored for prolonged periods, do the following:
Step 1. Connect the meter to a USB power source, and do not press any buttons while connecting power.
Step 2. Wait at least one minute, then press the power button for 1 second to attempt to power the meter. If the meter turns on, skip to step 6.
Step 3. Repeat step 2 up to three times until the meter powers on. If it still does not power on, move to step 4.
Step 4. Press and hold the power button for 15 seconds to force the meter to power off.
Step 5. Then, press the power button for 1 second to attempt to power the meter. If the meter powers on, move to step 6. If the meter does not power on, contact Larson Davis to begin the RMA/repair process. Contact Larson Davis.
Step 6. Charge the meter.
• When preparing to deploy, charge the battery to 100% (or as full as possible in the given time).
• When preparing to store, charge to 50%, then disconnect and power down the meter.
Appendix A Technical Specifications
The specifications contained in this appendix are subject to change without notice. Please refer to calibration and measurement results for data on a specific unit.
A.1 Instrument Specifications
In this section:
- A.1.1 Physical Specifications
- A.1.3 SLM Specifications
- A.1.4 Industrial Hygiene Specifications
- A.1.5 OBA Specifications
- A.1.6 Time History Specifications
- A.1.7 Event Sound Recording Specifications
A.1.1 Physical Specifications
Microphone & Input
| Supplied Microphone | Model 375A03: 1/4-inch, free-field, pre-polarized condenser microphone |
| Typical Sensitivity | -40.0 dB ±3.0dB relative to 1V/Pa (nominal 10 mV/Pa) 20 Hz to 5 kHz (±2 dB) >5 kHz to 8 kHz (±3 dB) >8 kHz to 12.5 kHz (+3 / – ∞ dB) |
| Microphone Connection | Thread for 1/4-inch microphone, M5.7-60UNS |
| Maximum Input Voltage | Absolute maximum of ±10 Vpeak |
| Gain Control | None, single-range |
| Full Scale Input | ±2.35 Vpeak |
Microphone Frequency Response Graphs
USB Client Interface
| Type | USB 2.0 Full-speed, Micro-B connector |
| Power Draw | ≤500mA, charges battery |
| Supported Hosts | Computer with SLM Utility-G4 |
Bluetooth Low Energy Interface
| Type | BLE 4.1 |
| Power Use | 30 mW viewing/downloading data |
| Throughput | 22k B/s (typical) |
| Supported Hosts | Android and iOS devices using LD Atlas app PC with Microsoft Windows 7 or newer using G4 LD Utility software |
Battery
Model 730 Lithium Battery Pack
| Type | Rechargeable Lithium Pack (BAT022) |
| Typical Operating Time | 40 hours, up to 50 hours (depending on features enabled) |
| Charge Time | Up to 3 hours |
| Voltage | 3.7 Volt nominal, 4.2 Volt maximum |
| Features | USB to micro-B charge cable (CBL218) included Compatible with Qi® Wireless Charger |
Model 730IS NiMH Battery Pack
| Type | NiMH AAA Battery Pack (BAT021-IS), an intrinsic-safe device |
| Typical Operating Time (with a continuous measurement, front light enabled, OBA, and sound recording options off) | 30 hours We recommend charging in a temperature-controlled environment between 10° and 30° C (68° – 86° F). |
| Charge Time | 12 hours |
| Voltage | 3.6 V Nominal, 4.65 V maximum |
| Features | Not user-replaceable USB to micro-B charge cable (CBL218) included Compatible with Qi® Wireless Charger |
External Power
Model 730 External Power
| Power Requirement | < 0.2 W with display & front light on, not charging) < 2 W (charging) |
| Using USB Client Connector | Powered by computer or PSA029 power adapter 5.0 ± 0.5 V, 5.5 V absolute maximum |
| Using Wireless Charger | Qi® WPC-compatible charge pad (PSA042) 5.0 ± 0.5 V, 5.5 V absolute maximum input voltage |
| Power-On Time | < 5 seconds |
Model 730IS External Power
| Power Requirements | < 0.2 W with display and front light enabled, not charging < 1 W while charging |
| Using USB Client Connector | Powered by computer or (PSA029) power adapter 5.0 ± 0.5 V, 5.5 V absolute maximum (Um = 5.5V) |
| Using Wireless Charger | Qi® WPC-compatible charge pad (PSA042) 5.0 ± 0.5 V, 5.5 V absolute maximum input voltage (Um = 5.5 VDC) |
Real-Time Clock
| Drift | < 1 s drift per 24-hour period over full operating temperature range |
| Format | ISO 8601 (hh:mm: ss yyyy-mm-dd) |
Data Storage
Internal Data Storage:
8 GB non-volatile flash memory
| Category | Capacity |
| Summary Data | 2568 bytes/measurement |
| Time History (1 s) | 1084 bytes/minute |
| Time History (1m) | 22 bytes/minute |
| Sound Recording | 192052 bytes/recording |
| Measurement Annotation | Characters, plus 30 bytes |
| Calibration Record | 36 bytes/record |
Environmental Conditions
Variations with atmospheric pressure are within the allowed tolerance for a ±10% change in pressure.
| Operating Temperature | –10 to + 50° C (14 to 122° F) |
| Storage Environment | –20 to + 60° C (–4 to + 158°F), RH ≤ 90% RH |
| Temperature Sensitivity | < ± 0.5 dB error, –10 to + 50°C (14 to 122°F) at 1 kHz |
| Humidity Sensitivity | < ± 0.5 dB error, 25% to 90% relative humidity non-condensing at 1 kHz |
Physical Characteristics
Physical Characteristics-Model 730
| Note: All specs include clips and windscreen | metric | US |
| Dimensions | 206 x 54 x 44 mm | 8.11 x 2.13 x 1.73 in |
| Weight | 112 g | 4.2 oz |
| Ingress Protection Rating | IP65 |
Physical Characteristics-Model 730IS
| Note: All specs include clips and windscreen | metric | US |
| Dimensions | 206 x 54 x 44 mm | 8.11 x 2.13 x 1.73 in |
| Weight | 130 g | 4.6 oz |
| Ingress Protection Rating | IP65 | |
A.1.2 Measurement System Specifications
| Integration Method | Your choice of the following options. Lωeq: Linear or true RMS Dose: computed from Slow time-weighting |
| Integration Time | Min: 1 second Max: 200 days with < 0.5 dB error |
| Time Weightings | Slow, Impulse, Fast, Linear, and Peak, simultaneously for selected frequency weightings indicated by τ. |
| Frequency Weightings | A, C, Z parallel and simultaneous for each time weighting; selected frequency weighting (A, C, or Z) indicated by ω. |
| Z-Weighted Response | 20 Hz to 8 kHz (±2 dB), 10 kHz (±3 dB), >10 kHz to 12.5 kHz (+3/-∞ dB) Note: Electrical Z-LP attenuates at 10 kHz to compensate for the microphone |
| Peak Frequency Weightings | A-, C-, or Z-weighted, parallel; selected peak frequency weighting (A, C, or Z); indicated by ρ |
| Peak Rise Time | ≤55 µs |
| Sample Rate | 32k sps |
A.1.3 SLM Specifications
SLM Live View Metrics
| A | C | Z | Units | |
| Linear | LAeq(1s) LAIeq(1s, Impulse) | LCeq(1s) | LZeq(1s) | dB |
| Slow | LAS | LCS | LZS | dB |
| Fast | LAF | LCF | LZF | dB |
| Impulse | LAI | LCI | LZI | dB |
| Peak | LApeak, 1s | LCpeak, 1s | LZpeak, 1s | dB |
Measurement Metrics (Overall)
These metrics are displayed on the Overall page and may be displayed elsewhere by selecting one from the
“Any Level” menu. Overall metrics are calculated for the entire duration of the measurement.
| A | C | Z | Units | |
| Equivalent Level | LAeq | LCeq | LZeq | dB |
| Impulse Equivalent Level | LAIeq | dB | ||
| Slow Minimum Level | LASmin | LCSmin | LZSmin | dB |
| Slow Maximum Level | LASmax | LCSmax | LZSmax | dB |
| Fast Minimum Level | LAFmin | LCFmin | LZFmin | dB |
| Fast Maximum Level | LAFmax | LCFmax | LZFmax | dB |
| Impulse Minimum Level | LAImin | LCImin | LZImin | dB |
| Impulse Maximum Level | LAImax | LCImax | LZImax | dB |
| Peak Maximum Level | LApeak(max) | LCpeak(max) | LZpeak(max) | dB |
Occurrence Time for Min and Max Levels
| A | C | Z | Units | |
| Equivalent Level | LAeq | LCeq | LZeq | dB |
| Slow Minimum Level | LASmin | LCSmin | LZSmin | dB |
| Slow Maximum Level | LASmax | LCSmax | LZSmax | dB |
| Fast Minimum Level | LAFmin | LCFmin | LZFmin | dB |
| Fast Maximum Level | LAFmax | LCFmax | LZFmax | dB |
| Impulse Minimum Level | LAImin | LCImin | LZImin | dB |
| Impulse Maximum Level | LAImax | LCImax | LZImax | dB |
| Peak Maximum Level | LApeak(max) | LCpeak(max) | LZpeak(max) | dB |
| A | C | Z | Units | |
| Slow Minimum OccurrenceTime | TASmin | TCSmin | TZSmin | yyyy-mm-dd hh:mm:ss |
| Slow Maximum Occurrence Time | TASmax | TCSmax | TZSmax | yyyy-mm-dd hh:mm:ss |
| Fast Minimum Occurrence Time | TAFmin | TCFmin | TZFmin | yyyy-mm-dd hh:mm:ss |
| Fast Maximum Occurrence Time | TAFmax | TCFmax | TZFmax | yyyy-mm-dd hh:mm:ss |
| Impulse Minimum Occurrence Time | TAImin | TC Imin | TZImin | yyyy-mm-dd hh:mm:ss |
| Impulse Maximum Occurrence Time | TAImax | TC Imax | TZImax | yyyy-mm-dd hh:mm:ss |
| Peak Occurrence Time | TApeak(max) | TCpeak(max) | TZpeak(max) | yyyy-mm-dd hh:mm:ss |
C Minus A Levels
| Label | Unit | |
| Mathematical Subtraction of C and A weighted equivalent levels | LCeq – LAeq | dB |
Exceedance Metrics
Exceedance trigger levels (SPL1 and SPL2) are selectable in dB from 40.0 to 140.0, and Peak Exceedance levels (Peak1–3) selectable in dB from 80.0 to 143.0, counts each time the level rises above the trigger level and measure the duration until the current level is below the trigger level for 2 seconds.
| Label | Count | Duration | |
| SPL1 Exceedance Count and Duration | Lωτ > SPL1 | 0-99999 | hh:mm:ss (Up to 99:59:59) |
| SPL2 Exceedance Count and Duration | Lωτ > SPL2 | ||
| Peak1 Exceedance Count and Duration | Lωτ > Peak1 | ||
| Peak2 Exceedance Count and Duration | Lωτ > Peak2 | ||
| Peak3 Exceedance Count and Duration | Lωτ > Peak3 |
Timing Metrics
| Item | Count |
| Time Format | 24 hr clock |
| Time Resolution | 1 second |
| Measurement Start Date and Time | yyyy-mm-dd hh:mm:ss |
| Measurement Stop Date and Time | yyyy-mm-dd hh:mm:ss |
| Elapsed Run Time | hh:mm:ss (Up to 99:59:59) |
SLM Performance
| Range | Units | |
| Measurement Range, A-weighted 1 kHz | 52–140 | dB |
| Dynamic Range, A-weighted 1 kHz | 46–140 | dB |
| Measurement Range, C-weighted 1 kHz | 57–140 | dB |
| Dynamic Range, C-weighted 1 kHz | 50–140 | dB |
| Measurement Range, Z-weighted 1 kHz | 60–140 | dB |
| Dynamic Range, Z-weighted 1 kHz | 52–140 | dB |
| Peak Range, C-weighted | 78–143 | dB |
| Peak Range, Z-weighted | 80–143 | dB |
| Note: Range values guaranteed for typical microphone sensitivity. The range of any individual dosimeter may vary from these specified levels by up to +/- 3.0 dB. Peak upper range and overload is guaranteed to be ≥ 140 dB peak. | ||
| Maximum Exposure (limit 140 dB for 200 hours) | 7.90E+06 | Pa²h |
| Minimum Exposure (limit 50 dB for 1 second) | 7.90E-03 | Pa²s |
Measurement Control
Multiple control and timer modes provide for the following manual and automated measurements:
- Manual: Manually control measurements using Run, Stop, and Pause.
- Timed Stop: Start manually and run for a customizable set duration (1 second – 99:59:59).
- Daily Timer: Set to run for up to 3 separate time periods per day (qualified by start and end dates).
Measurement Metrics (DOSE)
For metric calculation details, see Appendix B Glossary.
| Label | Units | |
| Average Level with Threshold | LAVG | dB |
| Noise Dose Percentage, Criterion Level and Time set 100% exposure limit | DOSE | % |
| Projected Noise Dose Percentage, Criterion Level set 100% exposure limit | ProjDose | % |
| Time Weighted Average for Criterion Time of 8 hours with Threshold | TWA(8) | dB |
| Projected Time Weighted Average with Threshold | P. TWA(8) | dB |
| Daily Personal Noise Exposure | Lep, d | dB |
| Projected Daily Personal Noise Exposure | P. Lep, d | dB |
| Equivalent Sound Level | Lωeq | dB |
| Daily Personal Noise Exposure | Lex, 8h | dB |
| Projected Daily Personal Noise Exposure | P. Lex, 8h | dB |
| Weighted Maximum Peak | Lωpeak | dB |
| Weighted Exponential Maximum | Lωτmax | dB |
| Motion Percentage | Motion | % |
Sound Exposure Metrics
The following metrics are based on the Integration Method. For metric calculation details, see Appendix B Glossary.
| Label | Units | |
| Sound Exposure Level | SEL | dB |
| Sound Exposure (in Pa²s) | E | Pa²s |
| Sound Exposure, 8 hour (in Pa²s) | E, 8h | Pa²s |
| Sound Exposure, 40 hour (in Pa²s) | E, 40h | Pa²s |
Visual Alarm
| Values | Default Value | |
| Source | Selectable: LAeq (dB), Lavg (dB), LCpeak (dB), LZpeak (dB), Proj. Dose (%), Dose (%), Proj. TWA (dB), TWA (dB), Proj. LEPD (dB), or LEPD | Proj. Dose |
| Action Level | Selectable level from 0.1 to 999.9 with 0.1 step resolution (% or dB) | 75 (% or dB) |
| Limit Level | Selectable level from 0.1 to 999.9 with 0.1 step resolution (% or dB) | 100 (% or dB) |
A.1.5 OBA Specifications
The following specifications apply to the Spartan 730/730IS dosimeter option 730-OB1, which is available for purchase from Larson Davis.
| Compliant with these Octave Filter Standards | IEC 61260-1:2014/Part 1, 1/1 Octave Bands, Class 1, Group X, all filters |
| ANSI/ASA S1.11-2014/Part 1, 1/1 Octave Bands, Class 1, Group X, all filters | |
| Bandwidth | 1/1 Octave |
| Filter Type and Sample Rate | Digital filters on this model sample at a rate of 32,000 samples per second (sps) with Base 2 center frequencies and real-time performance for all filters. Single-range, the reference input signal is 0.1 Volt rms at 1 kHz. |
| Exact Center Frequencies | 31.25, 62.5, 125, 250, 500, 1000, 2000, 4000, and 8000 Hz |
| Nominal Frequencies | 32, 63, 125, 250, 500, 1000, 2000, 4000, and 8000 Hz |
| Maximum Input | 1.58-Vrms (Single range (for ANSI S1.11 and IEC 61260-1,2014, section 5.19) |
Option 730-OB1 OBA Measurement System
| Integration Method | Linear for Leq |
| Exponential for OBA Min and OBA Max | |
| Frequency Weighting | Z |
| Time Weighting/ Detectors | Time Weighting is Slow, except when “LAIeq” is selected. (Shown as τ, follows SLM Detector) To calculate OBA Min and Max values, time weighting follows the Exceedance Detector setting. |
| Resolution | 0.1 dB |
| Reference Attenuation | 0.0 dB (for all bands) |
Option 730-OB1 Octave Band Analysis Measurements
Instantaneous “Live” Metrics
| Linear | Units | |
| OBA Live Equivalent Level Spectrum, 1 second | LZeq, 1s * | dB |
*For display only. Not stored with measurement data.
Overall Metrics
| Linear | Units | |
| Overall Equivalent Level Spectrum | Leq(f) | dB |
| Overall Maximum Level Spectrum | LƬmax(f)* | dB |
| Overall Minimum Level Spectrum | LƬmin(f)* | dB |
*To calculate OBA Min and Max value: time weighting (noted by Ƭ) follows the Exceedance Detector setting (Slow, Fast, Impulse).
A.1.6 Time History Specifications
| Period | 1 sec, 1 min | |||||||||||||||||||||||||||
| Occurrence Date & Time Stamp | yyyy-mm-dd hh:mm:ss | |||||||||||||||||||||||||||
| Time History Metrics |
| |||||||||||||||||||||||||||
| Other Indicators | Overload, Motion, Bump, Run, Stop, Pause |
A.1.7 Event Sound Recording Specifications
The following specifications apply to the Spartan 730 dosimeter option 730-ESR.
| File Format | 16-bit WAV |
| Sample Rate | 8000 steps |
| Recording Time | 2-second pre-trigger +10 second record time 12 seconds per sound recording total |
| Minimum Time Between Recordings | Selectable (15—3600 sec) default is 30 sec. |
| Trigger Source | Selectable (40–140 dB) default is 85 dB |
A.2 Noise Dosimeter Standards Compliance Testing
In this section:
- A.2.1 Standards and Compliance
- A.2.2 Compliance Testing Notes
- A.2.3 ANSI S1.25 Compliance
- A.2.5 FCC/IC Compliance
- A.2.6 IEC 61252 Compliance
A.2.1 Standards and Compliance
Model 730
Spartan Model 730/730IS personal noise dosimeter complies with the following international standards:
| Personal Dosimeter Standards | IEC 61252 Ed. 1.2 b:2017, ANSI S1.25-1991 (R2017) |
| EU WEEE | ![]() |
| Safety Requirements for Electrical Equipment for Measurement, Control and Laboratory Use | IEC 61010-1:2010 |
| EMC Standards | EMC Low Voltage Directives EMC Immunity: EN 31000-6-2:2016 EMC Emission: CISPR 11:2015 with Amendment 1 (EN55011) |
| RoHS/IC/FCC | |
| Other Standards | Test Results and Certificates comply with ISO 17025 |
| BLE Module Compliance Contains a transmitter module with a certificate number shown | Contains ANATEL-approved module #03154-18-11156 Este equipo contiene el módulo con IFT #: NYCE/CT/0146/17/TS |
Model 730IS Only
In addition to the standards for Model 730 (pages A-14), the Spartan Model 730IS also complies with the following hazardous environment standards. For additional information, see Intrinsic Safety Ratings and Information on pages C-4, and page C-5.
| I.S. (ATEX, IECEx, UKEX) | EN IEC 60079-0:2018, EN IEC 60079-11:2012 |
| MSHA (Approval #18-A210001-0) | (Title 30 Code of Federal Regulations, Part 18) Permission for use in gassy, underground mines |
A.2.2 Compliance Testing Notes
For compliance testing, an electrical signal is applied to the dosimeter using the ADP106 “ADAPTER INPUT BNC TO 1/4” MIC 12 pF”. Electrical tests are performed in a stable temperature environment that does not vary more than ±2° C during the test.
The dosimeter is allowed to stabilize to the ambient temperature prior to testing.
| Reference Orientation | The unit is angled at about 45 degrees so that the microphone is pointing up. The unit is facing toward the radio-frequency electromagnetic field emitter or receiver. |
| Normal Mode of Operation during Tests | The Spartan 730 is running a measurement while set up in the reference orientation with time history enabled. |
| Magnetic Field | The sound exposure level of the Spartan 730 was always within ± 0.1 dB of the original level while exposed to a uniform magnetic field strength for 1 hour. The unit was set up in the reference orientation. |
| Radio-Frequency Electromagnetic Fields | Operating the Spartan 730 in proximity to a source of electromagnetic radiation equal to 10 V/m may cause up to ± 1.5 dB variation in the sound exposure level reading. The Spartan 730 meets all of the standards of section 15 in IEC 61252 (2017) at a sound level of 85 dB. The mode of operation of the Spartan 730 that produces the least immunity to the effects of power and radio frequency fields is with the Spartan 730 running set up in the reference orientation with the exception that the unit is facing perpendicular from the electromagnetic field emitter (90 degrees or 270 degrees). |
| Electrostatic Discharge | Operating the Spartan 730 in proximity to a source of electrostatic discharge causes no discernible variation or difference in the functionality of the dosimeter. |
| Mechanical Vibration | No limitations occur on the Spartan 730 operation resulting from mechanical vibrations. |
| Radio Frequency Emission | The mode of operation of the Spartan 730 that produces the greatest radio frequency emission levels is with the Spartan 730 set to run with the LCD light on being charged by an external wireless charger. The orientation of the unit does not make a difference. |
A.2.3 ANSI S1.25 Compliance
The Spartan 730 dosimeter complies with ANSI S1.25-2007 as specified in this section.
| Class Designation | Class 2 with variable A or C frequency weighting, variable for F or S time constant, variable Criterion Level, Threshold, and Exchange Rate. |
| Upper Limit Indicator | Overload is indicated when the upper limit has been exceeded and held for 4 seconds. |
| Operating Range | See SLM Performance on pages A-9. |
| Pulse Range | 88 dB |
| Microphone Frequency Response | The frequency response is listed in section A.2.1 Microphone, Frequency Response, and illustrated graphically in section A.1 Instrument Specifications. |
| Reference Direction | Perpendicular to the plane of the microphone diaphragm for Random Incidence response. |
| Maximum Safe SPL | 143 dB peak |
| Sensitivity to Magnetic Field | No sensitivity was detected at 80A/m |
| Temperature and Humidity Range | See Environmental Conditions on pages A-5. This also applies to storage conditions. |
| Calibration Procedure | See 2.6.1 Calibrating Your Spartan Dosimeter on page 26. |
| Mounting on Wearer | See Deploying the Dosimeter on pages 4-50. |
| Test Points | The means to insert electrical signals is provided by using the ADP106 (Adapter input BNC to 1/4-inch Mic 12 pF) The electrical impedance of the source connected to the ADP106 shall be 600Ω or less. |
| Maximum Linear Peak Level | 140 dB peak |
| Recalibration Period | 1 year |
A.2.4 Corrections for Bruel & Kjaer 4226 Multi-Frequency Calibrator
This section applies when utilizing the Bruel & Kjaer 4226 Multi-Frequency Calibrator with the Model 730 dosimeter for a Random Incidence sound field. The 4226 Pressure to Random Correction values shown in Table A-1 should be applied to the level read on the Model 730 dosimeter.
Table A-1 Pressure to RI Corrections for B & K 4226 Multi-Frequency Calibrator
| Frequency | 4226 Pressure to RI Correction1 |
| 31.5 | -0.04 |
| 63 | -0.09 |
| 125 | -0.07 |
| 250 | -0.09 |
| 500 | -0.21 |
| 1000 | 0.00 |
| 2000 | 0.61 |
| 4000 | 0.39 |
| 8000 | -0.77 |
- The ADP113 calibrator adapter, or ADP112 with large threaded opening, is required.
A.2.5 FCC/IC Compliance
Contains FCC ID: 2AA9B04
This device complies with part 15 of the FCC rules.
Operation is subject to the following two conditions. (1) This device may not cause harmful interference. (2) This device must accept any interference received, including interference that may cause undesired operation.
Contains IC: 12208A-04
This device complies with Industry Canada license-exempt RSS standard(s). Operation is subject to the following two conditions: (1) this device may not cause interference, and (2) this device must accept any interference, including interference that may cause undesired operation of the device.
A.2.6 IEC 61252 Compliance
The following compliance details are provided for the Larson Davis Spartan Model 730 dosimeter according to IEC 61252 Ed. 1.2.
| 14.a | Recommended mounting is described in 4.3 Deploying the Dosimeter. |
| 14.b | Each quantity measured has a descriptive annotation preceding it. See Measurement Metrics (Overall) on page A-6 and Measurement Metrics (DOSE) on page A-10. See also Appendix B Glossary for formulas for quantities displayed. |
| 14.c | See SLM Performance on page A-9 for the sound exposure range and sound level range. |
| 14.d | The frequency response and tolerance is shown in A.1 Instrument Specifications. |
| 14.e | Extended frequency response and tolerance is indicated in A.1.1 Physical Specifications and graphed in A.1 Instrument Specifications. |
| 14.f | The reference direction for testing free-field response with plane progressive waves is with the microphone axis at 70° to the source. |
| 14.g | The reference frequency is 1000Hz |
| 14.h | The Calibration reference level is 114 dB SPL. Calibration is done by level only, reference integration time and reference sound exposure are not applicable. |
| 14.i | See 2.6 Calibration. |
| 14.j | Acoustic testing is performed on a complete Spartan 730 dosimeter. Using a comparison coupler is recommended. |
| 14. k | The means to insert electrical signals is provided by using the ADP106 (Adapter input BNC to 1/4-inch Mic 12 pF). |
| 14. l | The electrical impedance of the source connected to the ADP106 shall be 600Ω or less. |
| 14.m | Free-field relative frequency response available on request |
| 14. n | The typical deviation between positive and negative pulses is 2%. |
| 14. o | For information on the effects of temperature and humidity variations, see Environmental Conditions on pages A-5. |
| 14.p | For information on Storage conditions, see Environmental Conditions on pages A-5. |
| 14. q | With the unit in the normal mode of operation, the sound exposure level of the unit was not affected when exposed to a magnetic field of 80 A/m for 1 hour. |
| 14. r | Operating the Spartan 730 in proximity to a source of electromagnetic radiation may cause up to 1.5 dB variation in the sound exposure reading. This meets all of the standards in section 15 of IEC 61252 (2017) at a sound level of 85 dB. |
| 14.s | See Battery for battery information |
| 14.t | Verification that there is sufficient energy to complete the measurement is in the section |
| 14.u | The recommended interval for periodic testing of this dosimeter to verify its acoustical and electrical performance characteristics is 1 year. |
| 14.w | The immunity to power- and radio-frequency fields and to electrostatic discharge is less than 85 dB. |
| 14.x | No cables or accessories are essential to take a measurement. |
| 14.y | The normal mode of operation is the Spartan 730 running a measurement while set up in the reference orientation with Time History enabled. |
| 14.z | Operating the Spartan 730 in proximity to a source of electrostatic discharge causes no discernible variation or difference in the functionality of the dosimeter. |
| 14. aa | The reference orientation is angling the unit at 45 degrees so that the microphone is pointing up. The unit is facing toward the radio frequency electromagnetic field emitter or receiver. |
| 14. bb | The mode of operation of the Spartan 730 that produces the greatest radio frequency emission levels is with the unit set to run with the LCD light on while being charged by an external wireless charger. |
| 14. cc | The mode of operation of the Spartan 730 that produces the least immunity to the effects of radiofrequency fields is with the unit running in the normal mode of operation, except that the microphone is facing 90° from the electromagnetic field emitter. |
Appendix B Glossary
This glossary contains technical definitions of key acoustical and vibration terms commonly used with Larson Davis instruments. If you need additional information, please refer to the American National Standards Institute document S1.1-1994 (R2004) for additional definitions.
Specific use of the terms defined is in the main body of this manual.
A weight
One of 4 defined frequency weighting scales that measure the impact of sound in dB. The A scale is used to simulate the response of the human ear to noise—generally for very loud sounds in the same frequency range as human speech, and for very loud noise (when using a band-limiting filter that diminishes above 20kHz to account for ultrasonic noise). Mandated by all noise and occupational health agencies, the A-scale can help you identify the risks of deafness or decreased speech recognition in a noisy work environment.
Allowed Exposure Time (Ti)
The allowed time of exposure to sound for a constant A-weighted sound level in a chosen Criterion Level, Criterion Duration (8 hours for Model 730), and Exchange Rate. Ti is calculated using the following equation.

Lc = Criterion Level
Tc = Criterion Duration
Q = the Exchange Rate
q = the Exchange Rate Factor
Lavg = Average Sound Level
Average Sound Level (Lavg)
The level of a constant sound, expressed in dB, which in a given time period (T = T2 – T1) would expose a person to the same noise dose as the actual (unsteady) sound over the same period. ANSI S1.25-1991 defines Lavg or average sound level.

LAS = A-weighting frequency and slow exponential weighting time sound level in dB (in the formula above, if the sound level is less than the user-specified threshold level, then
LAS = -∞)
T = measurement period or Run Time (T = T2 – T1)
TS = work shift duration, or Shift Time
q = exchange rate constant
- if exchange rate = 3, q = 10
- If exchange rate = 4, q = 4 / log10(2) ≈ 13.29
- If exchange rate = 5, q = 5 / log10(2) ≈ 16.61
- If exchange rate = 6, q = 20
C–A
This measurement is a Lavg that enhances the low-frequency components of the sound signal. It is the result of subtracting the A-weighted Lavg from the C-weighted LAVG for the same measured signal.
C-weight
One of 4 defined frequency weighting scales that measure the impact of sound in dB. The C-weighted standard simulates the response of the human ear when exposed to high-amplitude noise.
Calibration
Adjustment of the system so that the measured sound level agrees with a reference sound source.
Calibration Check
A check for variations between the measured level and a reference level—no adjustment is made to the system.
Criterion Duration
The time required for a continually applied sound of the selected criterion level to produce a dose of 100%.
Criterion Duration is 8 hours by the standard for dosimeters.
Example: If the Criterion Level = 90 dB and the Criterion Duration is 8 hours, then a sound level of 90 dB for 8 hours
will produce a 100% Dose. See also “Dose.”
Criterion Level
The level of a sound, expressed in dB, will produce a dose of 100% if continually applied for the criterion time. The current OSHA criterion level is 90 dB.
Criterion Sound Exposure
Criterion Sound Exposure is the product of the Criterion Duration and the mean square sound pressure associated with the Criterion Sound Level adjusted for the Exchange Rate. It is expressed in Pascal-squared seconds (Pa2 s) and Pascal-squared hours (Pa2 h) when the exchange rate is 3 dB and “q” is the Exchange Rate Factor. Standard:
ANSI S1.25 See also “Exchange Rate (Q).”
![]()
Daily Personal Noise Exposure (LEP,d)
The level, expressed in dB, of a constant sound over a specified normalization time period (Tn = 8 hours) that contains the same energy as the actual (unsteady) sound measured over a stated measurement period (T2 – T1).
The measurement period is generally shorter, so the actual noise exposure is spread out, or normalized, over the normalization time period. On the dosimeters, the normalization period is the Criterion Duration, and the measurement period is the run time. For example, a measured Leq of 86 dB at a run time of 4 hours will produce an
LEP,d or LEX,8h of 83 dB at a normalization time of 8 hours.

Leq = frequency weighted (A, C, or Z), equivalent-continuous sound pressure level in dB
Tn = normalization period or Criterion Duration (8 hours)
T2 – T1 = measurement period or Run Time
Example Application: The Criterion Duration is 8 hours, the specific period is 4 hours, and the average level during the 4 hours is 86 dB. Then the LEP,d = 83 dB.
Decibel (dB)
A unit of measure commonly used to describe the ratio of one power level or field level value to another on a logarithmic scale. The decibel is a simplified way of representing a large span of signal levels, and sometimes very large numbers, as opposed to using Pascal. For example:
| dB | Power Ratio | Amplitude Ratio |
| 50 | 100 000 | 316.2 |
| 3 | 1.995 ≈ 4 | 1.995 ≈ 2 |
| -50 | 0.000 01 | 0.003 162 |
To directly add or subtract physical quantities expressed in decibel form, you can use the following equation to convert decibels to Pascals.

With regard to measuring noise exposure, remember the following rules when dB values are used for sound levels:
- Doubling of the Sound Pressure = 6 dB
- Doubling of the Sound Power = 3 dB
- Doubling of the Perceived Sound Level = (approx) 10 dB
Dose
See also “Noise Dose (Dose).”
Detector
The part of a sound level meter that converts the actual fluctuating sound or vibration signal from the microphone to one that indicates its amplitude. It first squares the signal, then averages it in accordance with the time weighting characteristic, and then takes the square root.
This results in an amplitude described as rms (root-mean-square).
Equivalent Continuous Sound Level (Leq)
Leq is the preferred term to describe sound levels that vary over time as a single decibel value, which takes into account the total sound energy for the period of interest. While not technically correct, it is often referred to as the “average” noise level for measurement.
For dosimeters, a Leq value is recorded for two separate intervals. The first interval records the value of Leq for the entire record run time. The second records the value of Leq for each individual time history sample. Therefore, the time period of interest has the same total sound energy as does a sample with varying sound (T = T2 – T1). The Leq is annotated as LAeq for an A-weighted Leq, or as LCeq for a C-weighted Leq.

P(t) = instantaneous, frequency-weighted (A or C), sound pressure in pascals
P0 = reference sound pressure, 20 µPa
T = measurement period or Run Time (T = T2 – T1)
Note: The default exchange rate for Leq is 3 dB for ISO and British Standard measurements. In some countries, other rules may apply. OSHA (U.S.A) standards use 5 dB as the default exchange rate. These default values are shown in the 730/730-IS Setup Manager measurement file.
Equivalent Time-Weighted Average TWA(x)
The level of a constant sound, expressed in dB, which if measured for a time period equal to the Criterion Duration, will produce the currently measured noise dose.

Lavg = average sound level in dB, only recording values higher than the user-specified threshold level
T = measurement period or Run Time
TC = Criterion Duration in hours (8 hours)
q = exchange rate constant
If exchange rate = 3, q = 10
If exchange rate = 4, q = 4 / log10(2) ≈ 13.29
If exchange rate = 5, q = 5 / log10(2) ≈ 16.61
The x in TWA(x) represents the Criterion Duration. For example, suppose a worker is exposed to a noisy environment with an LAVG of 90 dB. Also, assume that the exchange rate is 5, the criterion level is 90 dB, and the Criterion Duration is 8 hours.
After 1 hour, the workerʼs noise dose is 12.5%, the TWA(8) is 75.0 dB, and the Lavg is 90.0 dB. A TWA(8) of 75 dB indicates that if the worker is instead exposed to a noise environment with a Lavg of 75 dB, the noise dose after 8 hours is 12.5%.
Eight-Hour, Time-Weighted Average Sound Level – L, TWA(8)
It is the constant sound level that would expose a person to the same Noise Dose as the actual (unsteady) sound levels. According to Standard: ANSI S12.19, this definition applies only for a Criterion Duration of 8 hours. D = Dose, and q is the Exchange Rate factor, which is customizable in the measurement setup file.

Energy Equivalent Sound Level (Leq)
See also “Equivalent Continuous Sound Level (Leq).”
Exchange Rate (Q)
ANSI S1.25 defines this as “the change in the sound level corresponding to a doubling or halving of the duration of a sound level while a constant percentage of criterion exposure is maintained.” The rate and factors are given in the table below.
| Exchange Rate, Q | Exchange Rate Factor, q | Exposure Factor, k |
| 3.01 | 10 | 1 |
| 4 | 13.29 | 0.75 |
| 5 | 16.61 | 0.6 |
| 6.02 | 20 | 0.5 |
Frequency (Hz, rad/sec)
The rate at which an oscillating signal completes a complete cycle by returning to the original value. It can be expressed in cycles per second and the value has the unit symbol Hz (Hertz) added, with the letter f used as a universal descriptor for frequency. It can also be expressed in radians per second (ω) because 2π rad/s corresponds to 1 Hz. The two expressions are related through the expression ω=2πf.
Frequency and Exponential Time-Weighted Sound Level (Lωτ)
Lωτ corresponds to the frequency and exponential-time weighted sound level in dB. It is sometimes referred to as the “RMS sound level”. Similarly, the A, C, or Z-frequency weighting is sometimes referred to as the “RMS frequency weighting,” where RMS is an acronym for root-mean-square.

P(t) = instantaneous, frequency weighted (A or C), sound pressure in pascals
P0 = reference sound pressure, 20 µPa
t = time of observation
ω = exponential time constant: SLOW (1 s)
The Detector rate setting on the dosimeter corresponds to an exponential time constant of SLOW (1 second), which is designated as ω in the equation. These time constants are required by both ANSI and IEC standards.
In the Lωτ equation, ρ designates the frequency weighting (A or C). For example, on the dosimeter, LAS signifies the A weighted, SLOW exponential-time weighted sound level.
Frequency Weighting
See also “Frequency and Exponential Time-Weighted Sound Level (Lωτ).”
LEP, d
The acronym used on the 730 interfaces for the level of daily personal noise exposure. For more information, see the entry for “Daily Personal Noise Exposure (LEP,d)”.
Leq
The abbreviation used on the 730-meter interface for the energy equivalent sound level. For more information, see the entry for “Energy Equivalent Sound Level (Leq)” and “Sound Exposure (E)”.
Level (dB)
Level (dB) is used in G4 LD Utility and in the 730 manual to describe a measured physical quantity, typically used in sound and vibration measurements. This reference to a physical quantity denotes that it is a logarithmic measure of the quantity and not the quantity itself. The word decibel is often added after the number to express the same thing. When frequency weighting is used the annotation is often expressed as dB(A) or dB(B). See also “Decibel (dB).”
Lmax
The maximum value, expressed in dB, of the Frequency and Exponential-Time Weighted Sound Level (Lωτ) in a given time interval. For the dosimeters, a Lmax value is recorded for 2 different time intervals. The first records Lmax for the entire recordʼs time. The second records Lmax for each individual time history sample.
Lmin
The minimum value, expressed in dB, of the Frequency and Exponential-Time Weighted Sound Level (Lωτ) in a given time interval. For the dosimeters, a Lmax value is recorded for 2 different time intervals. The first records Lmax for the entire recordʼs time. The second records Lmax for each individual time history sample.
Measurement Duration (t)
The time period of measurement. It applies to hearing damage risk and is generally expressed in hours. Standard: ANSI S12.19
Noise Dose (Dose)
Noise Dose, or “Dose”, is the percentage of time a person is exposed to noise that is potentially damaging to hearing. Zero represents no exposure, and 100 or more represents complete exposure.
The allowed time of exposure is determined by the Criterion Duration and by the sound level (the higher the level, the shorter the allowed time). The sound levels must be measured with A-frequency weighting and slow exponential time weighting.
LAS = A-weighting frequency and slow exponential time weighting sound level in dB. If the sound level is less than the user-specified threshold level, then LAS = –∞) Lavg = average sound level in dB, only records value higher than the user-specified threshold level LC = Criterion Level in dB
T = measurement period or Run Time (T = T2 – T1)
TC = Criterion Duration in hours (8 hours)
q = exchange rate constant
- If exchange rate = 3, q = 10
- If exchange rate = 4, q = 4 / log10(2) ≈ 13.29
- If exchange rate = 5, q = 5 / log10(2) ≈ 16.61
- If exchange rate = 6, q = 20
Peak
The maximum value of the instantaneous, frequency-weighted (A, C, or Z), sound pressure in a given time interval.
For the dosimeter, a Peak value is recorded for 2 different time intervals. The first records the Peak for an entire record run time (Peak Overall). The second records the Peak for each individual time history sample.
The peak level is displayed on the meter as L<frequency weight>peak; LApeak is an example.
Peak Frequency Weighting
The frequency weighting of the peak detector. Possible selections are A, C, and Z. Peak weighting is independent of the RMS frequency weighting. For additional information, see the entry for “Frequency Weighting”.
Projected Daily Personal Noise Exposure
(P. LEP, d or P. LEX, 8h) The Daily Personal Noise Exposure assumes that the current rate of noise dose exposure continues for the duration of a work shift (Shift Time). For example, a measured Leq of 86 dB with a Run Time of 4 hours will produce an LEP,d or LEX,8h or 83 dB, but a projected P.LEP,d or P.LEX,8h of 86 dB if the Shift Time is 8 hours.
If the shift time is doubled (16 hours), the P.LEP,d or P.LEX,8h would become 89 dB.

Leq = frequency weighted (A or C), equivalent-continuous sound pressure level in dB
P(t) = instantaneous, frequency weighted (A or C), sound pressure in pascals
P0 = reference sound pressure, 20 µPa
Tn = normalization period or Criterion Duration (8 hours)
TS = work shift duration, Shift Time
Projected Noise Dose
Projected Noise Dose is the Noise Dose assuming that the current rate of noise exposure continues for the full duration of an 8-hour work shift. Displays on the dosimeter LCD as P. Dose.

LAS = A-weighting frequency and slow-exponential weighting time sound level in dB (in the formula above, if the sound level is less than the user-specified threshold level, then LAS = -∞)
Lavg = average sound level in dB, only recording values higher than the user-specified threshold level
LC = Criterion Level in dB
T = measurement period or Run Time (T = T2 – T1)
TS = work shift duration, Shift Time
TC = Criterion Duration in hours (8 hours)
q = exchange rate constant
- if exchange rate = 3, q = 10
- If exchange rate = 4, q = 4 / log10(2) ≈ 13.29
- If exchange rate = 5, q = 5 / log10(2) ≈ 16.61
- If exchange rate = 6, q = 20
Projected Sound Exposure (E8 or E40)
Projected Sound Exposure shows what the actual sound exposure will be for a specific time period if the current Equivalent-Continuous Sound Level (Leq) remains at its current level. The dosimeters calculate an 8-hour and a 40-hour projected sound exposure.
p(t) = instantaneous, frequency weighted (A, C, or Z), sound pressure in pascals T2 – T1 = measurement period or Run Time
Projected Time-Weighted Average, P.TWA(x)
The projected Time-Weighted Average is the Equivalent Time-Weighted Average assuming that the current rate of noise exposure continues for the duration of a work shift (Shift Time). This metric displays as “P. TWA” on the dosimeter screen.

Lavg = average sound level in dB, only recording values higher than the user-specified threshold level
TS = work shift duration or Shift Time
TC = Criterion Duration in hours (8 hours)
q = exchange rate constant
- If exchange rate = 3, q = 10
- If exchange rate = 4, q = 4 / log10(2) ≈ 13.29
- If exchange rate = 5, q = 5 / log10(2) ≈ 16.61
- If exchange rate = 6, q = 20
Shift Time
Shift Time is the length of time in hours that a dosimeter subject could be exposed to noise at work. It is used to calculate Projected LEP, d; P. LEX, 8h; Projected Dose; and Projected TWA. In the dosimeter Settings, enter the Shift Time at the following locations: Settings→ Dosimeter 1, 2, or 3.
Single Event Noise Exposure Level (SENEL, LAX)
The Single Event Noise Exposure Level is the total sound energy over a specific period. It is a special form of the Sound Exposure Level where the time period is defined as the start and end times of a noise event such as the passing of an aircraft or automobile.
Sound Exposure (E)
The total sound energy of the actual sound in a given time interval. For a dosimeter, the time interval is the record Run Time. The units for sound exposure are Pa2 S (Pascal squared seconds) or Pa2 H (Pascal squared hours).

p(t) = instantaneous, frequency weighted (A or C), sound pressure in pascals
T2 – T1 = measurement duration or “Run Time”
Sound Pressure Level (SPL, Lp)
The logarithmic form of sound pressure. It is also expressed by the attachment of the word decibel to the number. The logarithm is taken of the ratio of the actual sound pressure to a reference sound pressure which is 20 Micro-pascals (μPa). The fundamental relationship between sound pressure level and sound pressure is shown in the equations below, where p0 is the reference sound pressure of 20 µPa.
Threshold Level
The threshold level is applied in hearing damage risk assessment. According to the ANSI S1.25 standard, it refers to the A-weighted sound level below which the dosimeter produces little or no dose accumulation. For that reason, measured sound below this level may be disregarded. The threshold should be selected to be within the measurement range of the instrument which is between 70 dB and 140 dB for the dosimeter. The current OSHA threshold is 80 dB.
Time-Weighted Average Sound Level (TWA, LTWA(TC))
The Time-Weighted Average Sound Level is used for hearing damage risk assessment. It is the level of a constant sound over the Criterion Duration (8 hours), which would expose a person to the same Noise Dose as the actual (unsteady) sound over the same period. If the Exchange Rate is 3 dB, then the TWA is equal to the Leq. The equation shown here applies where TC = T2-T1 (the measurement time), and q is the Exchange Rate Factor.
Standard: ANSI S12.19

Windscreen
Air (wind) blowing across the microphone generates pressure fluctuation and vibration on the microphone diaphragm. Thus, your noise exposure reading would include wind noise, an undesirable component. To achieve the best result with the Spartan 730 dosimeter, we recommended using the provided WS012 windscreen.
Appendix C Spartan 730IS Safety Information
This document provides information and safety regulations which are to be observed without fail for the safe operation of the Spartan Model 730IS intrinsically-safe noise dosimeter. Failure to adhere to these conditions of use and safety instructions can result in serious consequences or violate regulations.
Please read the manual and these safety instructions BEFORE using this device. In the event of contradicting information, the text of these safety instructions shall apply. In case of any doubt, the English version shall apply.
The current EU declaration of conformity, certificates, safety instructions, and a manual can be found at www.LarsonDavis.com, or requested from Larson Davis, a division of PCB Piezotronics, Inc.
In this Appendix:
C.1 Intrinsic Safe Specifications . . . . . . . . . . . . . . . . . . . . . . . . . . . . . . . . . . . . C-2
C.2 Conditions for Safe Use . . . . . . . . . . . . . . . . . . . . . . . . . . . . . . . . . . . . . . . . C-2
C.1 Faults and Damages . . . . . . . . . . . . . . . . . . . . . . . . . . . . . . . . . . . . . . . . . . . C-3
C.2 Intrinsic Safe Markings. . . . . . . . . . . . . . . . . . . . . . . . . . . . . . . . . . . . . . . . . C-4
C.3 Intrinsic Safety Ratings and Information . . . . . . . . . . . . . . . . . . . . . . . . . C-4
C.4 I730.02-IS-SD 730IS MSHA Safe Conditions of Use . . . . . . . . . . . . . . . . C-5
C.1 Intrinsic Safe Specifications
The Spartan Model 730IS is a device suitable for use in potentially explosive atmospheres classified as Zones 0 and 1 in accordance with directive 2014/34/EU.
TABLE C.1 IS Classification and Compliance
| Authority | Classification |
| ATEX/IECEx | II 1G Ex ia IIC T165 ºC Ga I 1M Ex ia I Ma IECEx ETL 19.0045X ITS ATEX 205538X -10 ºC ≤ TAMB ≤ +50 ºc |
| CAN/USA | Class I, Zone 0, AEx ia IIC T165 ºC Ga Class I, Division 1, Groups A, B, C & D, T165 ºC Cert to CAN/CSA Std C22.2 Ex ia IIC T165 ºC Ga -10 ºC ≤ TAMB ≤ +50 ºC |
| Related Standards | IEC 60079-0: Edition 7 IEC 60079-11: Edition 6 EN 60079-0: 2018 EN 60079-11: 2012 UL 913: Edition 8 UL 60079-0: Edition 7 UL 60079-11: Edition 11 CSA C22.2 No. 60079-0: 19 CSA C22.2 No. 60079-11: 14 UL 61010-1: Edition 3 + R:29Apr2016 CAN/CSA C22.2 No. 61010-1-2012 + U1 |
C.2 Conditions for Safe Use
Use of the Model 730IS dosimeter assumes that the operator observed the conventional safety regulations and has read and understood the manual, these safety instructions, and the certificate.
CAUTION Please observe each of the following safety regulations:
- Inspect the instrument before entering an ex-hazardous area.
a) Verify that there are no gaps between the 2 halves of the case, around the USB port or the buttons.
b) Verify that the display glass is not cracked or broken.
c) The microphone must not be removed or damaged. - Charge the device ONLY outside ex-hazardous areas using the appropriate charger or other equipment approved by Larson Davis.
- Charge the device at temperatures between 10°C and 40°C in indoor conditions.
- Do not charge or store the device in areas with moisture, high humidity, or dust.
- Do not physically connect the device to other equipment in an ex-hazardous area.
- Do not calibrate the microphone in an ex-hazardous area.
- The battery is not user replaceable. Contact Larson Davis for authorized battery replacement. Contact information is located on the back cover of this manual.
- Only use accessories approved by Larson Davis with this device.
C.0.1 Additional Safety Advice
- Do not store or operate devices in environments with excessive temperatures.
Operating and storage temperatures are listed in ” Instrument Specifications” on pages A-1. - Do not expose the device to strong magnetic fields, such as those emitted from induction ovens, welders, or microwave ovens.
- Do not attempt to open or repair the device. Improper repair or opening can lead to the destruction of the device, fire, or explosion. Only authorized personnel are prepared to repair the device. See the back cover of this manual to contact Larson Davis for service or repairs.
- Do not expose the device to aggressive acid or alkaline substances, or solvent-based cleaners.
- To clean the device: power it off, disconnect the USB cable, and use only a soft, anti-static cloth damp with water.
C.1 Faults and Damages
If there is any reason to suspect that the device has been compromised, remove it from an ex-hazardous area immediately, and take measures to prevent it from accidentally
restarting.
The safety of the device may be compromised if:
- malfunctions occur
- the housing of the device shows damage
- the device has been stored improperly
- the device has been connected to a malfunctioning computer or charger
- the markings and labels on the device are illegible
We highly recommended that you return a device that shows signs of faults or damage or is suspected of faults or damage, to Larson Davis for inspection. Contact information is located on the back cover of this manual.
C.2 Intrinsic Safe Markings

C.3 Intrinsic Safety Ratings and Information
Special Conditions for Safe Use
This equipment has been assessed for connection to Um: 5.5VDC. This voltage shall be maintained in accordance with the guidance given by IEC 60079-14.
Other Safety Information
- Charge ONLY outside hazardous areas by using the appropriate charger or other equipment approved by Larson Davis.
- Charge the device at temperatures between 10° C and 40° C in indoor conditions.
- Do not attempt to physically connect the device to other equipment within exhazardous areas.
- Do not expose the device to acid or alkaline substances, or solvent-based cleaners.
- Calibrate the microphone outside ex-hazardous areas only.
- Do not replace the battery yourself or attempt to install a lithium battery. Without exception, contact Larson Davis for authorized battery replacement.
- Only use accessories approved by Larson Davis with this device.
Applicable Standards
| IEC | IEC 60079-0: Edition 7; EN IEC 60079-0:2018 IEC 60079-11: Edition 6; EN IEC 60079-11:2012 IEC 60079-14 IEC 60529 |
| UL | UL 913: Edition 8 UL 60079-0: Edition 7 UL 60079-11: Edition 11 UL 61010-1: Edition 3 + R:29Apr2016 |
| CSA | CSA C22.2 No. 60079-0: 19; CSA C22.2 No. 60079-11: 14; CAN/CSA C22.2 No. 61010-1-2012 + U1 |
| UKSI | 2016:1107 |
I.S Ratings/Markings
| ATEX/ IECEx/ UKEX | II 1G Ex ia IIC T165 ºC Ga I 1M Ex ia I Ma -10 ºC ≤ TAMB ≤ +50 ºC IECEx ETL 19.0045X ITS20ATEX205538X ITS21UKEX0463X |
| CAN/USA | Class I, Zone 0, AEx ia IIC T165 ºC Ga Class I, Division 1, Groups A, B, C & D, T165 ºC -10 ºC ≤ TAMB ≤ +50 ºC |
Serial Numbers
For each serial number YYXXXX, YY is the 2-digit year of manufacture and the XXXX is the device sequence number.
C.4 I730.02-IS-SD 730IS MSHA Safe Conditions of Use
Warnings: (Conditions of Use)
- The 730IS must be constructed and maintained according to the drawings and specifications on file at the Mine Safety and Health Administration (MSHA) for this
investigation. - Charge the device and download data in fresh air using the appropriate charger or other equipment approved by Larson Davis.
- The battery is not user-replaceable.
- The microphone must not be removed or damaged.
- Do not connect the device to other equipment in hazardous locations.
I730.02-IS-SD (A) Revised 2021-11-16
730IS MSHA Safe Conditions of Use
Do not change the drawing without approval from MSHA.
Any changes could result in unsafe conditions.
Larson Davis – a PCB Piezotronics division
LarsonDavis.com
P/N I730.01IS Rev J, firmware version 1.110
©2022 PCB Piezotronics, Inc.
Contact Larson Davis
Worldwide Corporate Headquarters
3425 Walden Avenue
Depew, NY 14043-2495 USA
Toll-free (in the US):
888-258-3222
Phone: 716-926-8243
USA fax: 716-926-8215
E-mail: [email protected]




















