CONTEC08C Electronic Sphygmomanometer
Foreword
- Please read the User Manual carefully before using this product. The User Manual which describes the operating procedures should be followed strictly. This manual detailed introduce the steps must be noted when using the product, operation which may result in abnormal, the risk may cause personal injury and product damage and other contents, refer to the chapters for details. Any anomalies or personal injury and device damage arising from use, maintain, store do not follow requirements of the
- User Manual, Our company is not responsible for the safety, reliability and performance guarantees! The manufacturer’s warranty service does not cover such faults!
Our company has a factory record and user profile for each device, users enjoy free maintenance services for one year from the date of purchase. In order to facilitate us to provide you with a comprehensive and efficient maintenance service, please be sure to return the warranty card when you need repair service.
Note: Please read the User Manual carefully before using this product.
Described in this User Manual is in accordance with practical situation of the product. In case of modifications and software upgrades, the information contained in this document is subject to change without notice.
The warning items
- Before using this product, you should consider the safety and efficacy of the following described:
- Described each measurement results combined with clinical symptoms by qualified doctors.
- The reliability and operation of using this product whether meets the operation of this manual relate to the maintenance instructions.
- The intended operator of this product may be the patient.
- Do not perform maintenance and service while the device is in use.
Warning: Replace accessories which not provided by our company may lead to the occurrence of errors.
- Replace adapters, cuffs at will may result in wrong measurement results.
- Without our company or other approved maintenance organizations trained service personnel should not try to maintain the product.
- Responsibility of operator
- The operator must carefully read the User Manual before use this product, and strictly follow the operating procedure of the User Manual.
- Fully consider the security requirements during product design, but the operator should not ignore the observation for the patient and the state of machine.
- The operator has the responsibility to provide the use condition of the product to our company.
Responsibility for our company
- Our company have the responsibility to provide q ualified p roduct which conform to company standa rd of this product
- Our company will provide the circuit diagram, calibration method and other information at the request of the user to help the appropriate and qualified technicians to repair those parts designated by our company.
- Our company have the re sponsibility to complete produc t maintenance according to the contract
- Our company have the responsibility to r espond the requirements of user in time.
- In the following case, our company is responsible for the impact on the safety, reliability and perform ance of the device:
- Assembly, addition, debugging, modification or repair are carried out by personnel approved by our company.
- The electrical facilities in the room are in compliance with the relevant requirements and the device is used in accordance with the User Manual.
- The User Manual is written by our company. All rights reserved.
- Chapter1 Functions and Purpose
Main Functions - Measure blood pressure and store the measurement results.
- Data storage function, up to 199 records can be stored.
- With data review interface which is convenient for reviewing blood pressure parameter.
- The screen will prompt message when the power is low.
- When the measurement result can not be obtained due to some factors during the measurement, the device will display the corre sponding error information.
- Measurement units: mmHg and kPa, which can be switched by the button.
- With automatic shutdown function, if there is no operation, the device will automatically turn off.
- Voice broadcast(optional for devices with vioce function)
- The data stored can be uploaded to master device by Bluetooth (optional for devices with B luetooth function)
Purpose
- The device apply to measure the non invasive blood pressure of human. Record parameter value of blood pressure to provide the reference for the health care professional
- The device applies measurement Blood Pressure (BP) and Pulse of adult and adolescent
Safety Precautions
- In order to use it correctly, please read the “Safety Precautions” carefully before using it.
- Operators do not need professional training, but should use this product after fully understanding the requirements in this manual.
- To prevent users from suffering damage or loss due to improper use, please refer to “Safety Precautions” and use this product properly.
- For safety reasons, be sure to comply with safety precautions.
Note
- If not use correctly, it exists the possibility of damage for personnel and goods.
- Good damage means the damage of house, property, domestic animal and pet.
Contraindication No.
Warning
- You must not perform NIBP measurements on patients with sickle cell disease or under any condition which the skin is damaged or expected to be damaged.
- For patients with severe disturbances of blood coagulation, whether automatically measure the blood pressure should be based on the clinical evaluation, because limb friction with the cuff may cause the risk of hematoma.
- For severe blood circulation disorder or arrhythmia patients, please use the device under the guidance of a doctor. If the arm is squeezed during measurement, it may cause acute internal hemorrhage or inaccurate measurement results.
Measurement Limitations
- For different patient conditions, the oscillometric measurement has certain limitations. The measurement is in search of regular arterial pressure pulse. In those circumstances when the patient’s condition makes it difficult to detect, the measurement becomes unreliable and measuring time increases. The user should be aware that the following conditions could interfere with the measurement, making the measurement unreliable or longer to derive. In some cases, the patient’s condition will make measurement impossible.
Patient Movement
- Measurements will be unreliable or can not perform if the patient is moving, shivering or having convulsions. These motions may interfere with the detection of the arterial pressure pulses. In addition, the measurement time will be prolonged.
Cardiac Arrhythmia’s
- Measurements will be unreliable and may not be possible if the patient’s cardiac arrhythmia has caused an irregular heartbeat. The measuring time thus will be prolonged.
Heart-lung Machine - Measurements will not be possible if the patient is connected to a heart-lung machine.
Pressure Changes
- Measurements will be unreliable and may not be possible if the patient’s blood pressure is changing rapidly over the period of time during which the arterial pressure pulses are being analyzed to obtain the measurement.
Severe Shock
- If the patient is in severe shock or hypothermia, measurements will be unreliable since reduced blood flow to the peripheries will cause reduced pulsation of the arteries.
Heart Rate Extremes
- Measurements can not be made at a heart rate of less than 40 bpm and greater than 240 bpm.
Round Patient
- The thick fat layer of body will reduce the measurement accuracy, because the fat that come from the shock of arteries can not access the cuffs due to the damping
Warning
- Self-diagnosis and treatment using measured results may be dangerous. Follow the instructions of your physician.
- Please hand measurement results to the doctor who knows your health and accept diagnosis.
- For Infants and the person who can’t express oneself, please use the device under the guidance of a doctor.
- Otherwise, it may cause accident or dissension.
- Please do not use it for any other purpose except BP measurement.
- Otherwise, it may cause accident or holdback
- Please use a special cuff.
- Otherwise, it is possible that measurement result is incorrect.
- Please do not keep the cuff in the over-inflated state for a long time.
- Otherwise, it may cause risk.
- Do not use the device in the case there are flammable anesthetic gasses mixing with the air or nitrous oxide.
- Otherwise, it may cause risk.
- If liquid splashes on the device or accessories, especially when liquids may enter the pipe or device, stop using and contact the service department.
- Otherwise, it may cause risk.
- Dispose of the packaging material, observing the applicable waste control regulations and keeping it out of children’s reach.
- Otherwise, it may cause harm to the environment or children.
- Please use approved accessories for the device and check that the device and accessories are working properly and safely before use.
- Otherwise, the measurement result may be inaccurate or an accident may occur.
- When the device is accidentally damp, it should be placed in a dry and ventilated place for a period of time to dissipate moisture.
- Otherwise, the device may be damaged due to moisture.
- Do not store and transport the device outside the specified environment.
- Otherwise, it may cause measurement errors.
- It is recommended that you check if there is any damage on the device or the accessories regularly, if you find any damage, stop using it, and contact the biomedical engineer of the hospital or our Customer Service immediately.
- Do not disassemble, repair and modify the device without permission.
- Otherwise, it cannot be accurately measured.
- This device can not be used on mobile transport platforms.
- Otherwise, it may cause measurement error.
- This device can not be used on a tilted tabletop.
- Otherwise, there is a risk of falling.
- Dispose of packaging materials, waste batteries and end-of-life products in accordance with local laws and regulations. The end-of-life products and materials are properly disposed of by the user in accordance with the authority’s decree.
- Replace accessories which not provided by our company may lead to the occurrence of errors.
- Without our company or other approved maintenance organizations trained service personnel should not try to maintain the product.
- This device can only be used for one test object at a time.
- If the small parts on the device are inhaled or swallowed, please consult a doctor promptly.
- The device and accessories are processed with allergenic materials. If you are allergic to it , stop using this product.
- After pressing the power button, if the device has display fault such as white screen, blurred screen or no display content, please contact our company.
- The device shall comply with the standard IEC 80601-2-30:Particular requirements for basic safety and essential performance of automated non-invasive sphygmomanometers.
- This device complies with part 15 of the FCC Rules. Operation is subject to the following two conditions: (1) This device may not cause harmful interference, and (2) this device must accept any interference received, including interference that may cause undesired operation. Any Changes or modifications not expressly approved by the party responsible for compliance could void the user’s authority to operate the equipment.
Note
- This equipment has been tested and found to comply with the limits for a Class B digital device, pursuant to part 15 of the FCC Rules. These limits are designed to provide reasonable protection against harmful interference in a residential installation. This equipment generates uses and can radiate radio frequency energy and, if not installed and used in accordance with the instructions, may cause harmful interference to radio communications. However, there is no guarantee that interference will not occur in a particular installation. If this equipment does cause harmful interference to radio or television reception, which can be determined by turning the equipment off and on, the user is encouraged to try to correct the interference by one or more of the following measures:
- Reorient or relocate the receiving antenna.
- Increase the separation between the equipment and receiver.
- Connect the equipment into an outlet on a circuit different from that to which the receiver is connected.
- Consult the dealer or an experienced radio/TV technician for help.
- The device has been evaluated to meet general RF exposure requirement.The device can be used in portable/mobile exposure condition without restriction
- Operation for power adapter(Separate Sale)
Note
- The device can be powered by a power adapter that is a part of the medical electrical system.
- Be sure to use the dedicated medical grade power adapter of this device.
Otherwise, it may cause trouble Dedicated power adapter must use AC 100 V~240 V
Otherwise, it may cause fire or electric shock.
- When there is a breakage of dedicated power adapter plug or wire, please do not use it.
Otherwise, it may cause fire or electric shock.
- Please do not plug or unplug the adapter on the socket with wet hands.
Otherwise, it may cause electric shock or injury.
- When using the power adapter to connect with the power socket, make sure the power socket is conveniently accessible, in order to timely disconnect from the power when an emergency.
Operation for Battery
- Note
- Please use 4 “AA” size m anganese or alkaline batteries, do not use batteries of other types.
Otherwise, it may cause fire.
- Do not mix old and new batteries and batteries of different types
Otherwise, it may cause battery leakage, heat, rupture, and damage to Electronic Sphygmomanom eter.
- Please don’t put wrong the positive and negative of the battery. When the batteries power exhaust, replace them with four new batteries at the same time.
- Please take out the batteries when you do not use the device for a long time(3 months or more).
Otherwise e it may cause battery leakage, heat, rupture, and damage to Electronic Sphygmomanometer.
- If electrolytes of the batteries immodestly get in your eyes, immediately rinse with plenty of clean water.
- It will cause blindness or other hazards, s should immediately go to the nearest hospital for treatment
- If the electrolyte of the batteries immodestly glues on the skin or the clothes, immediately rinse with plenty of clean water.
Otherwise, it may hurt the skin. Advice
- Do not strike or drop the device;
- Do not inflate before the cuff wraps around the arm;
- Do not inflect the cuff and the air tube forcibly.
Main Unit
All products are in the box. Open the box and confirm whether the product is whole.
Display
Irregular pulse icon. An irregular pulse icon is disp layed in the measurement results if the pulse internal is irregular during measuring,
Movement icon.The Movement icon appears if the patient moves and continue measuring may lead to inaccurate measurement.
Cuff tied icon. The icon appears if Cuff tied properly.The icon disappears if not
Memory Function icon.
Bluetooth icon.The Bluetooth is enabled(optional for devices with Bluetooth function)
The icon lights up if the device time is not synced, and the measured data cannot be uploaded to the terminal equipment via Bluetooth. After syncing the time by Bluetooth connection of the device, the icon goes off, and the measured data can be uploaded. (optional for devices with Bluetooth function)
Voice icon. The voice function is enabled or not(optional for devices with Voice function)
Accessories
Cuff
- Specification: limb circumference 22 32 cm (middle part of the upper arm ), please choose the suited cuff when measuring others.
Separate Sale
AC Adapter
- Input: voltage: AC 100 V~240 V
- frequency: 50 Hz /60 Hz
- Rated current: AC 150 mA
- Output: DC5.0 V ±0.2 V 1.0 A
Note:
- The cuff is consumable. Calculate by measuring 6 times a day(3 times each morning and evening), the service life of the cuff is about 1 year. (using our experimental conditions);
- In order to correctly measure blood pressure, please replace the cuff in time;
- If the cuff leaks, please contact our company to buy a new one. The cuff purchased separately does not include the airway tube plug. When replacing, please do not throw the airway tube plug away, install it on the new cuff.
Note
- When the product and accessories described in this manual are about to exceed the period of use, they must be disposed of according to relevant product handling specifications. If you want to know more information, please contact our company or representative organization.
External Interfaces
Note: When removing the NIBP cuff, please take the plug at the front of the windpipe to pull out.
Note
All analog and digital equipment connected to this device must be certified to IEC standards(such as IEC60950: Information technology equipment Safety and IEC 60601 1 : Medical electrical equipment Safety), and all equipment should be connected in accordance with the requirement of the valid version of the IEC 60601 1 1 system standard. The person connecting the additional equipment to the signal input and output port is responsible for whether the system complies with the IEC60601 1 standard.
Battery/AC Adapter Installation
The production can use a battery and AC adapter.
Battery Installation
- Demount the battery cover in the direction of the arrow.
- Install “AA” batteries according to polarities.
- Slide to close the battery cover.
- Icon the batteries power will exhaust.
- Replace with four new batteries (the same sort) at the same time.
- Test while low power may cause data deviation and other problems.
Turn the unit off before replacing the batteries.
Note
- When the battery reaches the end of its life, or if the battery is found to have odor, deformation, discoloration, or distortion, stop using the battery and dispose of the used battery in accordance with local regulations, otherwise, it will cause environmental pollution.
Usage of power adapter
- Connect the sphygmomanometer and the power adapter. Plug the power adapter plug into the power adapter socket on the back of the device
- Please insert the power plug of the adapter into the AC 100 V~240 V socket.
Note
- The device can be disconnected from the power supply network by unplugging the adapter plug.
- When cutting off the power supply, first cut off the connection of the power socket and the regulated power supply, then cut off the connection of the regulated power supply and the sphygmomanometer
- Please be sure to use the dedicated medical-grade power adapter.
Note
- When a regulated power supply and batteries are both used at the same time, the battery power will not be consumed.
- Switch regulated power supply and battery as a power supply when the device is off, otherwise, the device may shut down due to power failure.
- The device can be used normally after it is turned on, without waiting for the device to be prepared.
Description of button operation
- All the operations to the Electronic Sphygmomanometer are through buttons. The names of the buttons are above them.
The: Left button is the “M” button, and under the “OFF” state, press this button to enter the review interface (refer to Chapter 8 for details.).
- Right button is the “START/STOP” button, under the “OFF” state, press this button to enter measurement mode, inflate the cuff to measure blood pressure, and press this button again to turn off the device.
- Units setting Under the “OFF” state, press the “M ” button and “START/STOP” buttons simultaneously for 5 s to enter the setting interface, the default unit in this interface is “mmHg”; short press the “ M ” button to switch the unit between “mmHg” and “
Volume setting (optional for devices with voice function)
- Press the “ START/STOP ” button again in the unit setting interface to enter the volume setting interface.
- Press the “M” button to change the volume, the maximum volume is 4, and the minimum is 0 (silence).
- After completing the setting, repeatedly press the “ START/STOP ” button to turn the device
Note - The default unit of the device when leaving the factory is mmHg.
- In the volume setting interface, press the “START/STOP” button to enter the factory setting interface, in which the “CAL” is the static pressure interface, and the “FAC” is the aging interface, which does not require the user to operate. If
- you want to end the interface, press the “START/STOP” button twice to turn the device off.
The Usage Method of Sphygmomanometer
Accurate Measurement Way
Measurement in quiet and relaxing state.
- Adopt a comfortable sitting position, use back and arms to support the body.
- Place your elbow on a table, the palm faces up and the body is relaxed.
- The cuff is level with your heart.
- Feet flat on the floor, and do no t cross your legs.
Advice
- Try to measure your blood pressure at the same time each day with the same arm and the same pose for consistency.
- The high and low location of cuff will cause changes in measure results.
- Do not touch the sphygmomanometer, cuff and windpipe during measure.
- Measurements should be taken in a quiet place and the body relax.
- Remain still 4~5 minutes before measurement.
- Do not talk and movement during the measurement. Relax the body, do not let the muscle activity.
- Wait 4~5 minutes between measurements.
- Do not use precision instrument near the Sphygmomanometer.
Warning
- When repeatedly measuring, the accurate blood pressure value may not be measured due to congestion in the arm. Please measure after the blood flow is smooth.
- Repeated measurement for a long period of time, limbs rubbing with the cuff may be accompanied by purpura, ischemia and nerve damage.
- When m measurement a patient, it is necessary to frequently check the color, warmth and sensitivity of the distal of the limb.
- Once any abnormalities are observed, place the cuff in another position or stop the blood pressure measurement immediately.
- Please use the device at an environment of suitable temperature and humidity otherwise it will cause measurement error.
- Do not twist or wrap the airway tube. It can cause constant pressure in the cuff which can block blood flow and cause serious damage to the patient.
- Do not use the cuff on the injured area, which will cause more serious damage to the area.
- Do not use the cuff in the area where the treatment is being performed inside blood vessel or the arteriovenous connection. This may cause temporary blockage of blood flow and cause injury to the patient.
- Do not use the cuff on the side of the mastectomy.
- When using the cuff to pressurize, some of the body’s functions may temporarily weaken. Do not use the measurement medical electrical equipment at the appropriate arm position.
- Do not move during measurement, it will have a delayed effect on the patient’s blood flow.
- The device need to be placed for 2 hours from the minimum storage temperature to being ready for its intended use.
- The device need to be placed for 4 hours from the highest storage temperature to being ready for its intended use.
Note
- The following conditions may also cause changes in the blood pressure measurement value.
- Take the measurement in one hour after meal or after drinking alcohol, coffee or after smoking, exercise, bathing;
- Using incorrect posture such as standing or lying down, etc;
- The patient speak or move his body during measurement;
- When measuring, the patient is nervous, excited, emotional instability;
- The room temperature rise or fall sharply, or the environment of measurement often changes; Measuring in a moving vehicle;
- The high and low location of cuff will cause changes in measurement results; Continuous measurement for a long time.
Applying the Cuff
- Both left and right arm can be measured.
- Bare your arm or cloth close-fitting clothing during measurement.
- Carry out the operation in a room with comfortable temperature.
- When measuring, take the thick clothes off instead of rolling up the sleeves.
- In order to measure accurately, pay attention to applying the cuff properly (left arm).
- Insert the arm cuff air plug in the cuff socket of sphygmomanometer.
- Stretch cuff into a barrel for the arm can conformable enter into the barrel
- Left arm penetrate through the cuff, the air tube of the cuff will pass the top of your palm.
- Wrap the cuff to your upper arm. Make the air tube inside the forearm and aligned with your middle finger.
- The bottom of the cuff should be approximately 2cm~3cm above your elbow.
- Be fixed with cloths, and wrapped tight cuff, the arm and the cuff should not have gaps.

Measurement BP
- Under “OFF” state, press “START/STOP” button to start measuring.
- During measurement, please keep correct pose and quiet state, the body could not move.The “Movement” icon appears if patient moves, and continue measuring may lead to inaccurate measurement.
- If you want to abort the measurement
- Press【START/STOP】button, the device will stop inflating, and release the air from the cuff.
- Display the measurement results after finishing measuring.The pressure bar on the right side visually demonstrates the pressure level.
Confirm the Measurement Value
- The World Health Organization has established globally accepted standards for the assessment of hypertension readings.(In the clinic environment)
| Blood pressure level | Systolic pressure | Diastolic pressure |
| Normal | Pressure<130mmHg | Pressure<85mmHg |
| Normal Systolic Value | 130mmHg≤Pressure≤139mmHg | 85mmHg≤Pressure≤89mmHg |
| Mild Hypertension | 140mmHg≤Pressure≤159mmHg | 90mmHg≤Pressure≤99mmHg |
| Moderate Hypertension | 160mmHg≤Pressure≤179mmHg | 100mmHg≤Pressure≤109mmHg |
| Severe Hypertension/High Blood Pressure | 180mmHg≤Pressure | 110mmHg≤Pressure |
Pressure bar at the right side
- The SYS higher than 135mmHg or the DIA higher than 85mmHg are used as the criteria of hypertension(In the home environment), and the pressure bar at the right side lights up in red.
- The SYS lower than 135mmHg and the DIA lower than 85mmHg are used as the criteria of normal pressure, and the pressure bar at the right side lights up all in green.
- The number of lights represents the blood pressure range.
- Self-diagnosis and treatment using measured results may be dangerous. Follow the instructions of your physician.
- Upload date(optional for devices with Bluetooth function)
- The data stored can be uploaded to master device by Bluetooth
- Time sync icon lights up if the device time is not synced, and the measured data cannot be uploaded to the terminal equipment via the Bluetooth. After syncing the time by Bluetooth connection of the device, Time sync icon goes off, and the measured data can be uploaded
- After uploading the data to the master device, the local data will be deleted.
Note
- Wait at least 4-5 minutes between measurements.
- When repeatedly measuring, the accurate blood pressure value may not be measured due to congestion in the arm.
- Please measure after the blood flow is smooth.
- When the screen displays Err, the measure can’t be carried out correctly.
- Irregular pulse icon is displayed in the measurement results if the pulse internal is irregular during measuring, which may cause it is unable to take measurement correctly.
- Please keep quiet and remeasure. If the irregular pulse icon appears frequently, please consult a doctor.
- The minimum value of the patient’s physiological signal is the minimum limit that the device can measure. The device may obtain inaccurate measurement results when it is operated below the minimum amplitude or minimum value of the patient’s physiological signal.
- The device will automatically turn off after five minutes in which there is no operation to the device, even if you forget to turn the power off.
- Memory Function
- The device can store NIBP values automatically, display up to 199 set of measurement results.
- If 199 set of measurement data have been stored in current device, when saving the 200th set of data, the earliest set of data will be overwritten. If no measurement values, the memory values can be not numerated.
- Memory function can not be used during measuring.
- When there is no measurement values, “—” will display on the review interface.
Review the Memory Value
- Under “OFF” state, press “M” button to display the average value of the latest three set of data, when the number of measurement data is less than three groups, it will supplement automatically. Continue to press “M” button in current interface to view all measurement records.
Delete Memory Values
- Users can delete all memory values of the current user instead of separately delete one memory value
- Under the memory interface, press “M” button and “START/STOP” button simultaneously for more than 5 s, after “DEL” appears on the screen, all memory values will be deleted.
- Caution
- When querying the measurement records, please press “M” button continuously to query one by one.
Key and Symbols
Your device may not contain all the following symbols.
Error Message
When the high pressure position appears “Err” and the low pressure position appears the error number, the measurement is not normal.
| Error Mark | Causes | Solutions |
| Err2 Err15 | Function abnormal | Please contact us |
| Err4 | Low battery | Please replace the battery or link adapter |
| Err6 | The cuff is not wrapped correctly. | Wrap the cuff correctly (refer to Chapter 7) |
| Err7 | Cuff leakage | Replace with a new cuff |
| Err8 | Air pressure error | Keep arm, body still, measure again |
| Err9 | The pulse signal is too weak or the cuff is loose. | Wrap the cuff correctly (refer to Chapter 7) |
| Err10 | Out of measure range | Keep arm, body still, measure again |
| Err12 | Cuff is blocked or squeezed | Wrap the cuff correctly (refer to Chapter 7) |
| Err11 Err13 | The signal amplitude is too big owing to the arm or body moving or other reasons when measuring | Keep arm, body still, measure again |
| Err16 Err19 | It takes too much time |
Troubleshooting
| Abnormal Phenomenons | Causes | Solutions | |
| BP measurement values too high or too low. | Cuff is not connected correctly. | Correctly connect cuff. | |
| Talk or move arm in measurement | Keep quiet and restart a measurement. | ||
| The turnup close oppress the arm | Take off the clothes, and restart a measurement | ||
| No pressure | Cuff leakage | Buy a new cuff. | |
| The cuff windpipe is not correctly connected with cuff | Correctly connect. | ||
| Cuff not inflate | Contact us. | ||
| Cuff deflate in short time | Loose cuff | Correctly tangle cuff. | |
| It can not carry on measurement ,even if press the measurement button | Return on the power and restart a measurement. | ||
| Abruptly turn the power off in adding pressure | No use for a long time, the batteries can be exhausted owing to the changed temperature | Replace all four batteries with new ones. | |
| Hold the on/off button but can not start the device | Batteries are worn | Replace all four batteries with new ones. | |
| The battery polarities is reversed | Check the battery installation for proper placement of the battery polarities. | ||
| Cuff inflation start before press the measurement button | Stop using the device and contact us. | ||
| Cuff never deflation | Stop using the device and contact us. | ||
| Air pressure error | Deflation error | Pull out the cuff to deflate. Stop using the device and contact us. | |
| Others | Keep arm, body still, measure again. | ||
| No press value displayed or the value unaltered when cuff inflating | Pull out the cuff to deflate. Stop using the device and contact us. | ||
| Other phenomenon | Switch on the power once again and restart an operation. Replace the batteries. If no, please contact us. |
Maintenance, Cleaning and Keeping
- Please do obey the precautions and correct operating methods in this user manual. Otherwise, we will not responsible for any fault.
Warning
- Remove the batteries before cleaning. The accessories and main unit must be separated for cleaning.
- Maintenance is not allowed during device using.
- Do not squeeze the rubber tube on the cuff.

Caution
- High-pressure disinfection to the device and accessories is not allowed.
- Do not let water or cleaning agent flow into the socket to avoid device damage.
- Do not soak the device and accessories in liquid.
- If any damage or deterioration of the device and accessories is found, please do not use it.
Maintenance:
- Clean the device and accessories regularly. It is recommended to clean them every one month. When the device or accessory gets dirty, use a dry and soft cloth to wipe. If they are very dirty, it is available to dip the soft cloth into water or mild detergent, and wring out, then use the cloth for cleaning.
- The device shall be inspected and calibrated regularly (or according to inspection standard of hospital). The inspection can be carried out in appointed institutions, or by professional personnel or contact us for inspection.
- Under the setting interface, Press the “START/STOP” button once, after “CAL” appears on the screen, press “M” button for more than 15 s to enter the static pressure interface. Advice
- Do not use gasoline, volatile oil, diluent, etc. to wipe the device.
- Do not clean or wet the cuff.
Storage: Advice
- Do not expose the device in direct sunlight for long time, otherwise the display screen maybe damaged.
- The basic performance and safety of the device are not affected by the dust or cotton wool in home environment,while the device shall not be placed where with high temperature, humidity or dusty.
- Aged cuff may result in inaccurate measurement, please replace the cuff periodically according to the user manual.
- To avoid device damage, keep the device out the reach of children and pets.
- Avoid the device close to extreme high temperature such as fireplace, otherwise the device performance may be affected.
- Do not store the device with chemical medicine or corrosive gas.
- Do not place the device where there is water.
- Do not place the device where with slope, vibration or impact
- Take the batteries out if the device is not to be used for three months or longer.

NIBP Specification
| Name | Electronic Sphygmomanometer | |
| The degree of protection against ingress of water | IP20 | |
| Display | LED | |
| NIBP Specifications | ||
| Measurement Method | Oscillometric method | |
| Working mode | Automatic | |
| Operation mode | Continuous operation | |
| Pressure Range | 0~297 mmHg(0~39.6 kPa) | |
| Measurement range | Pressure | SYS:30~270 mmHg(4~36 kPa) DIA:10~220 mmHg(1.3~29.3 kPa) |
| Pulse: 40~240/min | ||
| Inflation | 160±5 mmHg( 21.33±0.67 kPa) | |
| Overpressure protect | 297±3 mmHg(39.6±0.4 kPa) | |
| Resolution | Pressure: 1 mmHg(0.133 kPa) | |
| Accuracy | Static pressure: ±3 mmHg(±0.4 kPa) | |
|
Error | The BP value measured by the device is equivalent with the measurement value of Stethoscopy, perform clinical verification in accordance with the requirements in ISO 81060-2: 2013, whose error meets the followings: Maximum mean error: ±5 mmHg Maximum Standard deviation: 8 mmHg | |
| Operating Temperature/ Humidity | +5ºC~40 ºC . 15%RH~85%RH(no condensation) | |
| Transport | Transport by general vehicle or according to the order contract, avoid pounded, shake and splash by rain and snow in transportation. | |
| Storage | Temperature: -20 ºC ~+55 ºC; R elative humidity: ≤95 %((no condensation)); No corrosive gas and drafty. | |
| Atmospheric pressure | 700 hPa~1060 hPa | |
| Power supply | 4 “AA” alkaline batteries, AC Adapter(AC, 100 V-240 V, optional) | |
| Rated current | ≤ 600 mA | |
| Battery life | When the temperature is 23 ºC, limb circumference is 270 mm, the measured blood pressure is normal, 4 “AA” alkaline batteries cab be used about 300 times. | |
| Main Unit Dimensions | 122*110*83mm | |
| Main Unit Weight | 300 gram(without batteries) | |
| Safety classification | Class Ⅱ equipment (power supplied by power adapter)/Internally powered equipment (power supplied by batteries) Type BF applied part | |
| Service life | The service life of the device is five years or 10000 times of BP measurement. | |
| Date of manufacturer | See the label | |
| Accessories | Standard Configure: Adult Cuff: limb circumference 22-32 cm (upper arm center) User Manual, four “AA” alkaline batteries Optional Configure: AC Adapter: Input: voltage: AC 100 V~240 V frequency: 50 Hz/60 H Rated current: AC 150 mA Output: DC 5.0 V±0.2 V 1.0 A Extra large adult Cuff: the range of limb circumference is 18-26 cm (middle part of upper arm) the range of limb circumference is 22-30 cm (middle part of upper arm) the range of limb circumference is 22-43 cm (middle part of upper arm) the range of limb circumference is 32-43 cm (middle part of upper arm) | |
Appendix
Table 1:
| Guidance and manufacturer’s declaration –electromagnetic emission | |
| The device is intended for use in the electromagnetic environment specified below. The purchaser or the user of the device should assure that it is used in such environment. | |
| Emission test | Compliance |
| RF emissions CISPR 11 | Group 1 |
| RF emissions CISPR 11 | Class B |
| Harmonic emissions IEC 61000-3-2 | Class A |
| Voltage fluctuations/flicker emissions IEC 61000-3-3 | Applicable |
Table 2:
| Guidance and manufacturer’s declaration-electromagnetic immunity | ||
| The device is intended for use in the electromagnetic environment specified below. The purchaser or the user of the device should assure that it is used in such environment. | ||
| Immunity test | IEC60601 test level | Compliance level |
| Electrostatic discharge (ESD) IEC 61000-4-2 | ±8kV contact ± 15 kV air | ±8kV contact ±15 kV air |
| Electrical fast transient/burst IEC 61000-4-4 | ±2kV for power supply lines ± 1 kV for input/output line | ±2kV for power supply lines Not Applicable |
| Surge IEC 61000-4-5 | ±1 kV lines to lines ±2 kV lines to earth | ±1 kV lines to lines Not Applicable |
| Voltage dips, short interruptions and voltage vatiations on power supply input lines IEC 61000-4-11 | <5%UT(>95%dip in UT) for 0.5 cycle 40% UT(60%dip in UT) for 5 cycle 70%UT(30%dip in UT) for 25 cycle <5%UT(>95%dip in UT) for 5 sec | <5%UT(>95%dip in UT) for 0.5 cycle 40% UT(60%dip in UT) for 5 cycle 70%UT(30%dip in UT) for 25 cycle <5%UT(>95%dip in UT) for 5 sec |
| Power frequency (50 / 60Hz) magnetic field IEC 61000-4-8 | 30 A/m | 30A/m |
Table 3:
| Guidance and manufacturer’s declaration – electromagnetic immunity | ||
| The device is intended for use in the electromagnetic environment specified below. The customer the user of the device should assure that it is used in such environment. | ||
| Immunity test | IEC 60601 test level | Compliance level |
| Conducted RF IEC61000-4-6 | 3 V 0,15 MHz – 80 MHz 6 V in ISM bands between 0,15 MHz and 80 MHz | 3 V 0,15 MHz – 80 MHz 6 V in ISM bands between 0,15 MHz and 80 MHz |
| Radiated RF IEC61000-4-3 | 10 V/m 80 MHz- 2.7 GHz | 10 V/m80 MHz- 2.7 GHz |
| NOTE 1 At 80 MHz and 800 MHz, the higher frequency range applies. NOTE 2 These guidelines may not apply in all situations. Electromagnetic propagation is affected by absorption and reflection from structures, objects and people. | ||
| a Field strengths from fixed transmitters, such as base stations for radio (cellular/cordless) telephones and land mobile radios, amateur radio, AM and FM radio broadcast and TV broadcast cannot be predicted theoretically with accuracy. To assess the electromagnetic environment due to fixed RF transmitters, an electromagnetic site survey should be considered. If the measured field strength in the location in which the the device is used exceeds the applicable RF compliance level above, the the device should be observed to verify normal operation. If abnormal performance is observed, additional measures may be necessary, such as reorienting or relocating the the device. | ||
Table:4
| Guidance and manufacturer’s declaration – electromagnetic Immunity | ||||||||
| The device is intended for use in the electromagnetic environment specified below. The customer or the user of the device should assure that it is used in such an environment | ||||||||
| IMMUNIT | ||||||||
| Test Frequency (MHz) | Band a) (MHz) | Service a) | Modulat ion b) | Modulat ion b) (W) | Distan ce (m) | Y TEST LEVEL | ||
| (V/m) | ||||||||
| Pulse | ||||||||
| Radiated RF IEC61000-4-3 (Test specifications for ENCLOSUR EPORT IMMUNITY to RF wireless communicatio ns equipment) | 385 | 380– 390 | TETRA 400 | modulat ion b) 18 Hz | 1,8 | 0,3 | 27 | |
|
450 | 380– 390 | GMRS 460, FRS 460 | FM c) ± 5 kHz deviatio n 1 kHz sine |
2 |
0,3 |
28 | ||
| 710 | 704– 787 | LTE Band 13, 17 | Pulse modulat ion b) | 0,2 | 0,3 | 9 | ||
| 745 | ||||||||
| 780 | ||||||||
| 217 Hz | ||||||||
| 810 | 800– 960 | GSM 800/900, TETRA 800, iDEN 820, CDMA 850, LTE Band 5 | Pulse modulat ion b) 18 Hz | 2 | 0,3 | 28 | ||
| 870 | ||||||||
| 930 | ||||||||
| 1720 | GSM 1800; CDMA 1900; | Pulse | ||||||
| 1700–199 0 | GSM 1900; DECT; LTE Band 1,3,4,25; | modulat ion b) 217 Hz | 2 | 0,3 | 28 | |||
| 1845 | ||||||||
| UMTS | ||||||||
| 1970 | ||||||||
| 2450 | 2400–257 0 | Bluetooth,WLAN,802.11 b/g/n,RFID 2450,LTE Band 7 | Pulse modulat ion b) 217 Hz | 2 | 0,3 | 28 | ||
| 5240 | Pulse | |||||||
| 5500 | 5100–580 0 | WLAN 802.11a/n | modulat ion b) | 0,2 | 0,3 | 9 | ||
| 5785 | ||||||||
| 217 Hz | ||||||||
| NOTE If necessary to achieve the IMMUNITY TEST LEVEL, the distance between the transmitting antenna and the ME EQUIPMENT or ME SYSTEM may be reduced to 1 m. The 1 m test distance is permitted by IEC 61000-4-3. | ||||||||
| a) For some services, only the uplink frequencies are included. b) The carrier shall be modulated using a 50 % duty cycle square wave signal. c) As an alternative to FM modulation, 50 % pulse modulation at 18 Hz may be used because while it does not represent actual modulation, it would be worst case. | ||||||||
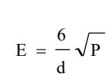
The MANUFACTURER should consider reducing the minimum separation distance, based on
RISK MANAGEMENT, and using higher IMMUNITY TEST LEVELS that are appropriate for the reduced minimum separation distance. Minimum separation distances for higher IMMUNITY TEST LEVELS shall be calculated using the following equation: 
Where P is the maximum power in W, d is the minimum separation distance in m, and E is the IMMUNITY TEST LEVEL in V/m.
Warning
- Don’t near active HF SURGICAL EQUIPMENT and the RF shielded room of an ME SYSTEM for magnetic resonance imaging, where the intensity of EM DISTURBANCES is high.
- Use of this equipment adjacent to or stacked with other equipment should be avoided because it could result in improper operation. If such use is necessary, this equipment and the other equipment should be observed to verify that they are operating normally.
- Use of accessories, transducers and cables other than those specified or provided by the manufacturer of this equipment could result in increased electromagnetic emissions or decreased electromagnetic immunity of this equipment and result in improper operation.”
- Portable RF communications equipment (including peripherals such as antenna cables and external antennas) should be used no closer than 30 cm (12 inches) to any part of the device including cables specified by the manufacturer. Otherwise, degradation of the performance of this equipment could result.
- Active medical devices are subject to special EMC precautions and they must be installed and used in accordance with these guidelines.
- When the device is disturbed, the data measured may fluctuate, please measure repeatedly or in another environment to ensure its accuracy.
| Name | Length (m) |
| Power adapter cable | 1.5 |
FCC Caution
- 5.19 Labeling requirements.
- This device complies with part 15 of the FCC Rules. Operation is subject to the following two conditions: (1) This device may not cause harmful interference, and (2) this device must accept any interference received, including interference that may cause undesired operation.
- 15.21 Information to user.
Any Changes or modifications not expressly approved by the party responsible for compliance could void the user’s authority to operate the equipment. - 15.105 Information to the user.
Note: This equipment has been tested and found to comply with the limits for a Class B digital device, pursuant to part 15 of the FCC Rules. These limits are designed to provide reasonable protection against harmful interference in a residential installation. This equipment generates uses and can radiate radio frequency energy and, if not installed and used in accordance with the instructions, may cause harmful interference to radio communications. However, there is no guarantee that interference will not occur in a particular installation. If this equipment does cause harmful interference to radio or television reception, which can be determined by turning the equipment off and on, the user is encouraged to try to correct the interference by one or more of the following measures:
- Reorient or relocate the receiving antenna.
- Increase the separation between the equipment and receiver.
- Connect the equipment into an outlet on a circuit different from that to which the receiver is connected.
- Consult the dealer or an experienced radio/TV technician for help.
- The device has been evaluated to meet general RF exposure requirement. The device can be used in portable exposure condition without restriction
- Contec Medical Systems Co., Ltd.
- Address:NO.112 Qinhuang West Street, Economic & Technical Development Zone, Qinhuangdao,Hebei Province, PEOPLE’S REPUBLIC OF CHINA
- Tel: +86-335-8015430 Fax: +86-335-8015588
- Technical support:+86-335-8015431
- E-mail: [email protected]
- Website: http://www.contecmed.com
- EC REPRESENTATIVE
- Shanghai International Holding Corp. GmbH (Europe) Address: Eiffestrasse 80, 20537, Hamburg, Germany Tel: +49-40-2513175 Fax: +49-40-255726
- E-mail: [email protected]
- CMS2.782.183(LED)(CE.USA)ESS/1.3 1.4.01.06.348 2022.07

Foreword
Movement icon.The Movement icon appears if the patient moves and continue measuring may lead to inaccurate measurement.





















