CeramicSpeed OSPW Aero System Technical
White Paper
Who and Where
Carsten Ebbesen & Anders Pedersen, CeramicSpeed, Holstebro, Denmark
Simon Smart, Drag2Zero, Silverstone, UK
Testing performed at Mercedes Grand Prix Limited and Silverstone Sports Engineering Hub 2019-2022
Introduction
The CeramicSpeed Oversize Pulley Wheel System (OSPW System) was first introduced in 2015 and set out to validate and confirm the benefits of using larger pulley wheels in a derailleur system. At the time, aerodynamic impacts & shaping were considered, but secondary to the mechanical focus of the overall optimized pulley and cage development. With the growth of OSPW System adoption, CeramicSpeed partnered with Simon Smart and Drag2Zero starting in 2019 to study the impact and potential benefits of an OSPW System focused on aerodynamics. This study included any design regulations from The Union Cycliste Internationale, the governing body for Pro Cycling, or other potential barriers to development.
The results of this study proved the aerodynamic qualities of the first OSPW System design, while also generating the design of the new OSPW Aero System.
Purpose
The established design brief for the project was as follows:
→ A derailleur cage designed for Time Trial, Triathlon, and mass start Road Racing
→ Match existing OSPW System cassette fitment ranges
→ Installation of the chain without disassembling the cage
→ Prioritize aerodynamic shaping and stability, while maintaining cassette fitment and chain path
→ To adhere to the UCI fairing regulations, the cage must be designed in a structural manner and not only a fairing
DESIGN CONSTRAINTS

The mechanical functions of the derailleur system require a clean path for the chain to follow from the lower pulley wheel, exiting above the upper pulley wheel and maintaining cage clearance at the cassette and frame. This sets the limits to how large and how enclosed an aero cage design can be.
The dynamic nature of a derailleur and pulley cage results in changing aerodynamic positioning throughout use. The drag on the pulley cage will be reduced when the cage is in the most swept back position (small chainring and smallest cog on cassette). And the drag is higher when the cage is swept forwards (large chainring and largest cog cassette). As such, all testing has been done in the vertical rotational position (the large chain ring and smallest cassette cog).
TESTING SETUP AND METHOD
Bike and Component Testing Parameters
Through the development process, we have conducted tests with a TT bike (Canyon and Scott) and aero road bikes (Factor, Specialized, and Scott), and the relative differences between pulley cages were the same. We can assume that within the realms of repeatability of the testing that the data is valid for any bike type.
Initial tests with a disc wheel and 60mm deep rear wheels proved to have a minimal difference in the aerodynamics of the pulley cage. At very high yaw angles, there are slightly different sensitivities. The effect of wheel choice is lessened from the non-drive side, and higher from the drive side when using a disc wheel compared to a medium depth aero rim. Overall, the disc wheel VS 60mm deep wheels makes little difference to the weighted average.
Extensive outdoor testing with an anemometer has enabled us to measure the cross-wind angles in varying conditions. This shows that the most common yaw angles that we are likely to experience are at just a few degrees of yaw angles. Weightings are therefore applied to the wind tunnel yaw angle sweep so that they are biased towards the yaw angles most commonly experienced in the real world.
Throughout the development period and incorporating Drag2Zero’s existing knowledge base, our research included testing pulley cages in isolation, complete bike only, as well as a bike with rider and mannequin scenarios. When very high accuracy is required to map the performance of small bike components, we find the best compromise is to test on a complete bike that simulates the blockage around the pulley cage. In an ideal world, all testing would be performed with a moving rider in order to simulate the fluctuating pedal wake. However, the measurement fidelity with moving legs is not sufficient to map small design changes through all yaw angels. It is therefore common practice to develop many components with a bike only. The test data is derived from testing the bike through a range of yaw angles and then calculating the average CDA using a weighting that biases the average value to the most common cross-wind angle experienced in the real world.
It is common practice to fix the bike with four stanchions (vertical fixtures) located on the outside of the front and rear axles. This provides good stability for rider testing and the majority of component testing. Unfortunately, the height and position of the stanchions can influence the flow field around the pulley cage leading to incorrect results. It was, therefore, necessary to develop a custom fixing system for this project.

Testing Parameters
Bicycle Only 60 mm Deep Wheels Shimano Groupset
Test Wind Speed 50 KPH (13.9 m/s or 31 MPH)
Yaw Angle Sweep (-15, -10, -5,0,5,10,15) degrees.
Mounted on custom fixtures, that minimize the airflow interaction around the pulley cage.
Force and Pressure measurements are used to derive a CDA value at each yaw angle.
A weighted average CDA is calculated based on real-world experimental data using an anemometer.
The pulley cage is tested in the average area condition (large chainring, smallest cassette cog)
Remaining Performance Prerequisites
The predicted performance gains have been based on a 75 kg rider, riding with a power output of between 150 and 500 watts on a flat road. This rider has a CDA of 0.2200 which is representative for a competitive age group triathlete of 75 kg on a TT bike (weight 8kg).
Tire rolling resistance losses are calculated assuming the rider is using a good race tire (GP 5000 -25 TL at 6 bar).
For this test, the baseline drive train efficiency of a stock modern performance group set is assumed to be 97.5%.
Mechanical losses for each cage have been measured on the CeramicSpeed test rig.
The weighted aerodynamic drag coefficients are taken from the wind tunnel test.
TESTING PROCEDURE

The bicycle is positioned on a rotary turntable that rotates from -15 to +15 degrees. This simulates the crosswinds commonly seen in real-world conditions.
For each of the 4 different pulley cages, 3 modified pulley cages, and 1 stock cage, the drag force has been measured in seven different Yaw Angles (-15, -10, -5,0,5,10,15) °.
These measurements have been calculated to a weighted average CDA value which again has been calculated to CDA Delta in order to compare the different pulley cages and calculate the gained time saving the difference between the 4 cages.
TEST RESULTS + ANALYSIS
The wind tunnel data, expressed in CdA, prove the shape of the pulley cage is more important than the size of the cage when it comes to total drag. While the original CeramicSpeed OSPW System was not developed specifically for aerodynamics, the sculpted aerofoil shaping presented benefits over the square-edged stock pulley cage. To determine the maximum benefit possible, radical pulley cage designs were tested and showed to be exceptionally aerodynamic. However, the mechanical functionality limits for derailleur body clearance and chain path dictated the limits of the OSPW Aero cage design.
To understand the total upgrade the pulley system provides for a rider, both the aerodynamic and mechanical efficiency differences have been calculated together. This was done by removing the system inefficiencies from the total rider input, then removing the rider CdA to maintain a given speed. With this formula, we can calculate the time differences over a set distance at an average speed when using different pulley systems.
Basic physics affecting cycling at constant speed:
The total force resisting you, the cyclist, is the sum of these three forces:

If you are moving forward at velocity V (m/s), then you must supply energy at a rate that is sufficient to do the work to move V meters each second. This rate of energy is called power, and it is measured in Watts. The power Pinwheel (Watts) that must be provided to your bicycle’s wheels to overcome the total force Fresist (Newtons) while moving forward at velocity V (m/s) is:

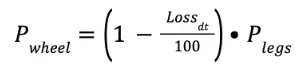
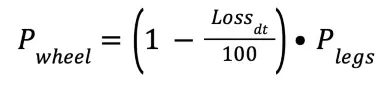
The power that must be provided to your bicycle’s wheels comes from the legs, but not all of the power that the legs deliver make it to the wheels. Friction in the drive train (chains, gears, bearings, etc.) causes a small amount of loss. This is calculated in our baseline stock assumptions of 2,5% efficiency loss, assuming you have a clean and nicely lubricated stock drivetrain.
Drivetrain loss is called Lossdt (percent). So, if the power that the legs provide is Plugs (watts), then the power that makes it to the wheel is:

The equation that relates the power produced by your legs to the steady state speed you travel is:

The CeramicSpeed calculations and graphs:
The purpose of the calculations is to represent the saved times per kilometer and per hour including tire drag and drive train loss.
Therefore the F gravity is removed from the formula – the premise of the calculations is a flat road.

Lost dt:
The mechanical efficiency differences (savings) by using an oversize pulley system is a constant Watt number and implemented in the calculations. This causes a lower percentage of savings at a higher speed. That’s one of the reasons that the time saving per km an hour is higher at lower speeds.
Falling:
The rolling resistance (Power) is calculated as FrollingV=CrrmgV [Watt] Crr = rolling resistance factor taken from GP 5000 – 25 TR – 6,0 bar = 0,002998141
m = weight of the bike and rider [kg]
g = acceleration of gravity = 9,81 m/s²
V = speed [m/s]
Examples:
At 30 kph the Prolling = 20,5 Watt
At 40 kph the Prolling = 27,8 Watt
Frag:
The aerodynamic resistance (Power) is calculated as
Fdragv=0,5CDARhoV²V [Watt]
Meaning: Pdrag=0,5CDARhoV³ [Watt]
Rho = 1,2 [kg/m³] V = speed [m/s]
CdA: For developing the OSPW Aero System, CeramicSpeed and Drag2Zero only focused on the difference in drag between the stock cage, a standard CeramicSpeed OSPW cage, and the CeramicSpeed OSPW AERO cage in order to calculate the time saved per kilometer and per hour with different cages. The results of the total CdA for the bike including rider are presented in the table below:
| Derailleur Setup | Weighted Average CDA |
| Shimano 9250 | 0,22 |
| CeramicSpeed OSPW Aero System | 0,219497083 |
| CeramicSpeed OSPW System | 0,21986675 |
| SLF EVO Aero System | 0,220074667 |

For 20 different Plegs the speed at each of the four cages is calculated (80 calculations):
Step1:

Step 2: Calculate the Prolling=CrrmgV (This is based on an estimated speed V very close to the calculated v below)
Step 3: Calculate the speed at 20 different Plugs for each of the four cages:
Step 4: Calculate the used sec/km at 20 different Plugs for each of the four cages
Step 5: Calculate the saved sec/km difference at 20 different Plugs for each of the four cages
Step 6: Calculate the saved sec/hour at 20 different Plugs for each of the four cages
The final results are visualized in the two graphs below:
Time Saved per Kilometer (with tire drag) compared to stock derailleur

Time Saved per Hour (with tire drag) compared to stock derailleur

The realized gains, when considered over real-world speeds and distances delivered notable results.
Example #1: An athlete using a CeramicSpeed OSPW Aero in a 40km time trial, holding 40 kph will cover each kilometer 0,18 seconds quicker than an equivalent athlete running a stock pulley system. This results in a total time difference of 7,2 seconds.
40km X 0,18s = 7,2s
Example #2: An athlete using a CeramicSpeed OSPW Aero in a 180km time trial, holding 35 kph will cover each kilometer 0.25 seconds quicker than an equivalent athlete running a stock pulley system. This results in a total time difference of 45 seconds.
180km X 0,25s = 45s
Find out more:
https://qrco.de/bd38tL

















