victron energy IP43 Phoenix Smart Charger

Safety instructions
- Always provide proper ventilation during charging.
- Avoid covering the charger.
- Never try to charge non-rechargeable – or frozen batteries.
- Never place the charger on top of the battery when charging.
- Prevent sparks close to the battery. A battery being charged could emit explosive gasses.
- Battery acid is corrosive. Rinse immediately with water if acid comes into contact with skin.
- This device is not suitable for use by children. Store the charger out of reach of children.
- This device is not to be used by persons (including children) with reduced physical, sensory or mental capabilities, or lack of experience and knowledge, unless they have been given supervision or instruction.
- Connection to the mains supply must be in accordance with the national regulations for electrical installations. In case of a damaged supply cord please contact the manufacturer or your service agent.
- The charger may only be plugged into an earthed socket.
Installation
- Install the charger vertically on a non-combustible surface with the supply terminal facing down. To optimise cooling, maintain a minimum distance of 10 cm below and above the product.
- Install close to the battery, but never immediately above the battery (to prevent damage due to gas formation by the battery).
- Use flexible multi-core copper cables for the connections: see safety instructions.
- Poor internal temperature compensation (e.g. ambient conditions of battery and charger not within 5°C) may shorten the life span of the battery.
Quick User Guide
- Connect the battery charger to the battery or batteries.
- Connect the battery charger to the wall socket using the AC cable (can be ordered separately).
All the LEDs light up briefly and once the charger has been activated the relevant status LEDs light up, depending on the status of the charger. By default the charger starts up in normal mode and bulk. - If required, press the MODE button to select a different charging algorithm (the battery charger remembers the mode when it is disconnected from the power supply and/or battery).
After selecting reconditioning, the RECONDITION LED will light up and start to blink when reconditioning is active.
The battery charger switches to LOW (low power) when the MODE button is held down for 3 seconds. The LOW LED will then light up and remain lit, and the maximum output current will be limited to 50% of the rated output power. LOW mode can be deactivated by holding the MODE button down for another 3 seconds. - The battery will be about 80% charged and ready for use when the ABSORPTION LED lights up.
- The battery will be fully charged when the FLOAT (trickle charging) or STORAGE LED lights up.
- You can now interrupt the charging at any time by disconnecting the power supply to the charger.
Key properties and features
Bluetooth functionality
Set-up, monitor and updating of the charger. Option for parallel redundant charging.
New functions can be added once they become available using Apple and Android smartphones, tablets and other devices.
When using Bluetooth functionality, a PIN can be set to prevent unauthorised access to the device. This PIN can be reset to its default value (000000) by holding the MODE button down for 10 seconds. For more information, refer to the VictronConnect Manual.
VE.Direct port
For a wired connection with a Color Control, Venus GX, PC or other devices.
Programmable relay
Can be programmed (e.g. with a smartphone) for activation by an alarm or other events. Note that the relay only works when there is AC available on the AC input terminals, and therefor the relay cannot be used as, for example, a generator start/stop signal.
‘Green’ battery charger with very high efficiency
With an efficiency of up to 94%, these battery chargers generate up to four times less heat than the industry standard. And once the battery is fully charged, power consumption drops to less than 1 Watt, which is five to ten times better than the industry standard.
Sustainable, safe and silent
- Low thermal load on the electronic components.
- Overheating protection: The output current drops if the temperature rises to 60°C.
- The charger is cooled by means of natural convection. This eliminates the need for a noisy cooling fan.
Temperature-compensated charging
The optimum charging voltage of a lead acid battery is inversely proportional to the temperature. The Phoenix Smart Charger measures the ambient temperature at the start of the charging phase and compensates for the temperature while charging. The temperature is measured again when the battery charger is in low-current mode during absorption or storage. Special settings for a cold or warm environment are therefore not required.
Adaptive battery management
Lead acid batteries must be charged in three phases, namely [1] bulk charging, [2] absorption charging and [3] float charging.
Several hours of absorption charging are required to fully charge the battery and to prevent early defects due to sulphation.
However, the relatively high voltage during absorption shortens the battery’s life span as a result of corrosion at the positive plates.
Adaptive battery management limits corrosion by reducing the absorption period if possible, i.e. when charging a battery that is already (almost) fully charged.
Storage mode: less corrosion of the positive plates
Even the lower float charge voltage that follows absorption charging will cause corrosion. It is therefore essential to lower the charging voltage even more if the battery remains connected to the charger for more than 48 hours.
Reconditioning
A lead acid battery that is insufficiently charged or is left in an uncharged condition for several days or weeks will deteriorate due to sulphation . If this is noticed in time, the sulphation can sometimes be partially reversed by charging the battery to a higher voltage using a low current.
Notes:
Reconditioning must only be used now and then on flat-plate VRLA (gel and AGM) batteries, as the gases formed during reconditioning dry out the electrolyte.
VRLA batteries with cylindrical cells build up more internal pressure before the gases are formed and therefore lose less water during reconditioning. Some manufacturers of batteries with cylindrical cells, therefore, recommend reconditioning in case of cyclical application.
Reconditioning can be applied to wet-cell batteries to ‘balance’ the cells and to prevent acid stratification.
Some manufacturers of battery chargers recommend impulse charging to reverse the sulphation. However, most battery experts agree there is no conclusive evidence that impulse charging is better than charging with a low current / high voltage. This is confirmed by our own tests.
Lithium-ion (LiFePO₄) batteries
Li-ion batteries are not subject to sulphation and do not have to be fully charged on a regular basis.
However, Li-ion batteries are highly sensitive to high or low voltages. This is why Li-ion batteries are often equipped with an integrated system for cell balancing and to protect against low voltages (UVP: Under Voltage Protection).
Important note:
NEVER attempt to charge a lithium-ion battery if the temperature of the battery is below 0°C.2
Low battery temperature cut-off: This will stop charging lithium batteries below 5°C (default). May require VE.Smart networking temperature sensor, e.g. Smart Battery Sense or SmartShunt.
Remote on/off
There are three ways to switch on the device:
- Short the L and H pins (factory default)
- Pull the H pin to a high level (e.g. the battery plus)
- Pull the L pin to a low level (e.g. the battery minus)
Alarm LED
If an error occurs, the ALARM LED will light up red. The status LEDs indicate the type of error with a blink code. See the following table for the possible error codes.

Automatic voltage compensation
The charger compensates for the voltage drop over the DC cables by gradually increasing the output voltage if the charging current rises.
The fixed voltage offset is 100mV. The voltage offset is scaled with the charge current and added to the output voltage. The voltage offset is based on 2x 1- meter cable, contact resistance and fuse resistance.
Example calculation for the 12/50 (1+1):
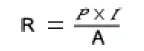
The cable resistance R can be calculated with the following formula: 
Here R is the resistance in ohms (Ω), ρ is the resistivity of copper (1.786×10^-8 Ωm at 25°C), l is the wire length (in m) and A is the surface area of the wire (in m²).
A widely used distance from charger to battery is 1 metre. In this case the wire length is 2 metres (plus and minus). When using a 6AWG cable (16mm²) the wire resistance is: 
Installing a fuse close to the battery is highly recommended. The resistance of a standard 80A fuse is: Rfuse = 0.720mΩ
The overall resistance of the circuit can then be calculated with the following formula: Rtotal = Rwire + Rfuse
Therefore: Rtotal = 2.24mΩ + 0.720mΩ = 2.96mΩ
The required voltage drop compensation over the cable can be calculated with the following formula: U = I x Rtotal
In which U is the voltage drop in volts (V) and I is the current through the wire in amperes (A).
The voltage drop will then be: U = 50 x 2.96mΩ = 148mV for the full 50A charging current
. Three (3) output versions
The three-output version chargers have an integrated FET battery isolator and therefore feature three isolated outputs.
Although all outputs can supply the full rated output current, the combined output current of all outputs is limited to the full rated output current.
By using the three-output version charger it is possible to charge three separate batteries with only a single charger while keeping the batteries isolated from each other.
The outputs are not regulated individually. One charge algorithm is applied to all outputs.+
Charging algorithms
Battery selection
The charge algorithm of the charger must fit the battery type connected to the charger. The following table shows the three predefined battery types available. A custom battery type can be programmed by the user.
Charging voltages at room temperature:
| MODE | ABS V | FLOAT V | STORAGE V | RECONDITION Max V@% of Inom |
| NORMAL | 14.4 | 13.8 | 13.2 | 16.2@8%, 1h max |
| HIGH | 14.7 | 13.8 | 13.2 | 16.5@8%, 1h max |
| LI-ION | 14.2 | 13.5 | 13.5 | N/A |
For 24V battery chargers: multiply all values by 2.
NORMAL (14.4V): recommended for wet-cell flat-plate lead-antimony batteries (starter batteries), flat-plate gel and AGM batteries.
HIGH (14.7V): recommended for wet-cell lead-calcium batteries, Optima spiral cell batteries and Odyssey batteries.
LI-ION (14.2V): recommended for Lithium Iron Phosphate (LiFePo4) batteries.
CUSTOM (Adj.): recommended for any other type of battery other the the above mentioned if the adjustable voltages are set according to the battery manufacturer recommendations.
MODE button
Once the battery charger has been connected to the AC power supply, press the MODE button to select a different charging algorithm if required (the battery charger remembers the mode after disconnecting the power supply and/or battery).
After selecting reconditioning, the RECONDITION LED will light up and start to blink when reconditioning is active.
The battery charger switches to LOW (low power) when the MODE button is held down for 3 seconds. The LOW LED will then remain lit. LOW mode will remain active until the MODE button is held down for another 3 seconds.
When LOW is active, the output current is limited to max. 50% of the rated output power.
Intelligent 7-stage charging algorithm for lead acid batteries: (with optional reconditioning)
- BULK
Charges the battery using the maximum current until the absorption voltage is reached. At the end of the bulk phase, the battery will be about 80% charged and ready for use. - ABS – Absorption
Charges the battery using a constant voltage and a decreasing current until it is fully charged. See the above table for the absorption voltage at room temperature.
Variable absorption time:
The absorption time is short (at least 30 minutes) if an almost fully charged battery is connected and increases to 8 hours for a totally discharged battery. - RECONDITION
RECONDITION is an option for the NORMAL and HIGH charging programs and can be selected by pressing the MODE button again after selecting the desired charging algorithm.
During RECONDITION, the battery is charged to a higher voltage using a low current (8% of the rated current). RECONDITION takes place at the end of the absorption phase and ends after one hour or sooner once the higher voltage has been reached.
The RECONDITION LED will be lit while charging and will blink during RECONDITION.
Example:
For a 12/30 battery charger: the reconditioning current is 30 x 0.08 = 2.4A - FLOAT
Float charging. Keeps the battery at a constant voltage and fully charged. - STORAGE
Storage mode. Keeps the battery at a lower constant voltage to limit gas formation and corrosion of the positive plates. - READY (battery fully charged)
The battery is fully charged when the FLOAT or STORAGE LED is lit. - REFRESH
Slow self-discharging is prevented by automatically ‘refreshing’ the battery with a brief absorption charge.
Lithium-ion (LiFePO) batteries
When charging a lithium-ion battery, the charger uses a specific charging algorithm for lithium-ion batteries to maximise their performance. Select LI-ION using the MODE button. When using the Low battery temperature cut-off, charging will stop when batteries fall below 5°C (default) when coupled with a suitable VE.Smart networking temperature sensor, e.g. Smart Battery Sense or SmartShunt.
You can see when this feature is active by pressing the ‘Why is my charger off?’ button in VictronConnect and it will state that the charger is off due to a low battery temperature.
The voltage set points are set to lowest value possible (rather than switching the unit off completely), as it cannot be guaranteed that a battery voltage is always present, which is required for the charger to switch off. Some lithium batteries with built-in BMS will cut themselves off in case of over/under voltage or temperature, this includes Victron Smart Lithium batteries. Since the BMS will disable the charge when the batteries are below 5°C, and also in case of cell over voltage. It is not necessary to use the VE.Smart sense feature, or buy a Smart Battery Sense to make sure a Phoenix Smart Charger stops charging a Victron Smart Lithium Battery below 5°C, when correctly installed with a BMS.
Fully user-programmable charging algorithm
If the three pre-programmed charging algorithms are not suitable for your purposes, you can also program your own charging algorithm using Bluetooth or the VE.Direct interface.
If a self-programmed charging algorithm is selected, the NORMAL, HIGH and LIION LEDs will not be lit. The status LEDs indicate the location of the charging program in the charger.
If the MODE button is pressed during a self-programmed charging algorithm, the charger will return to the pre-programmed NORMAL charging algorithm.
If a load is connected to the battery
A load can be applied to the battery during charging. Note: The battery will not be charged if the load current exceeds the output current of the battery charger. Reconditioning will not be possible if a load is connected to the battery.
Starting a new charging cycle
A new charging cycle starts if:
- The charger is in the float or storage phase and the current rises to its maximum value for more than 4 seconds due to a load.
- The MODE button is pressed while charging.
- The mains power is disconnected and reconnected.
Calculation of the charging time
A lead battery is about 80% charged at the start of the absorption phase.
The time T until 80% charged can be calculated as follows:
T = Ah / I
In which:
I is the charging current (= current from the charger minus any current due to a load). Ah the number of ampere hours that should be charged.
A full absorption period up to 8 hours will be required to charge a battery 100%. Example:
Charging time to 80% for a fully discharged 220Ah battery when charging it with a 30Abattery charger: T = 220 / 30 = 7.3 hours.
Charging time to 100%: 7.3 + 8 = 15.3 hours
A Li-ion battery is more than 95% charged at the start of the absorption phase and will be fully charged after about 30 minutes of absorption charging.
Use as a power supply
The charger can be used as a power supply (a load is present but no battery is connected). The supply voltage can be set using Bluetooth or the VE.Direct interface.
When used as a power supply, only the BULK, ABSORPTION, FLOAT and STORAGE LEDs will light up and remain lit.
When the charger is set up as a power supply, it will not respond to the remote on-off.
If the MODE button is pressed while using the charger as a power supply, it will return to the pre-programmed NORMAL charging algorithm.
Technical specifications
| Phoenix Smart Charger | 12V, 2 outputs 12/30(1+1) 12/50(1+1) | 12V, 3 outputs 12/30(3) 12/50(3) | 24V, 2 outputs 24/16(1+1) 24/25(1+1) | 24V, 3 outputs 24/16(3) 24/25(3) |
| Input Voltage | 230 VAC (range: 210 – 250 V) | |||
| DC Input voltage range | 290 – 355 VDC | |||
| Frequency | 45-65 Hz | |||
| Power factor | 0,7 | |||
| Back current drain | AC disconnected: < 0,1 mA AC connected and charger remote off: < 6 mA | |||
| No load power consumption | 1 W | |||
| Efficiency | 12/30: 94% 12/50: 92% | 12/30: 94% 12/50: 92% | 94% | 94% |
| Charge voltage ‘absorption’ | Normal: 14,4V High: 14,7V
Li-ion: 14,2V | Normal: 28,8V High: 29,4V
Li-ion: 28,4V | ||
| Charge voltage ‘float’ | Normal: 13,8V High: 13,8V
Li-ion: 13,5V | Normal: 27,6V High: 27,6V
Li-ion: 27,0V | ||
| Storage mode | Normal: 13,2V High: 13,2V
Li-ion: 13,5V | Normal: 26,4V High: 26,4V
Li-ion: 27,0V | ||
| Fully programmable | Yes, with Bluetooth and/or VE.Direct | |||
| Charge current house battery | 30 / 50 A | 30 / 50 A | 16 / 25 A | 16 / 25 A |
| Low current mode | 15 / 25 A | 15 / 25 A | 8 / 12.5 A | 8 / 12.5 A |
| Charge current starter battery | 3 A (1+1 output models only) | |||
| Charge algorithm | 7 stage adaptive (3 stage adaptive for Li-ion) | |||
| Battery capacity | 150-300 Ah (30A version) 250-500 Ah (50A version) | 80-160 Ah (16A version) 125-250 Ah (25A version) | ||
| Number of battery connections | 2 | 3 | 2 | 3 |
| Protection | Battery reverse polarity (fuse, not user accessible) / Output short circuit / Over temperature | |||
| Can be used as power supply | Yes, output voltage can be set with Bluetooth and/or VE.Direct | |||
| Operating temp. range | -20 to 60°C (0 – 140°F) Rated output current up to 40°C, derate linearly to 20% at 60°C | |||
| Humidity (non-condensing) | max 95% | |||
| Relay (programmable) | DC rating: 5A up to 28VDC | |||
| ENCLOSURE | ||||
| Material & Colour | Aluminium (blue RAL 5012) | |||
| Battery-connection | Screw terminals 16 mm² (AWG6) | |||
| AC-connection | IEC 320 C14 inlet with retainer clip (AC cord with country specific plug must be ordered separately) | |||
| Protection category | IP43 (electronic components), IP22 (connection area) | |||
| Weight kg (lbs) | 3,5 kg | |||
| Phoenix Smart Charger | 12V, 2 outputs 12/30(1+1) 12/50(1+1) | 12V, 3 outputs 12/30(3) 12/50(3) | 24V, 2 outputs 24/16(1+1) 24/25(1+1) | 24V, 3 outputs 24/16(3) 24/25(3) |
| Dimensions (hxwxd) | 180 x 249 x 100 mm (7.1 x 9.8 x 4.0 inch) | |||
| STANDARDS | ||||
| Safety | EN 60335-1, EN 60335-2-29 | |||
| Emission | EN 55014-1, EN 61000-6-3, EN 61000-3-2 | |||
| Immunity | EN 55014-2, EN 61000-6-1, EN 61000-6-2, EN 61000-3-3 | |||
| Vibration | IEC68-2-6:10-150Hz/1.0G | |||




















