Infrared Thermometer
TE-91
User Manual
Infrared Thermometer User Manual V1.0
Thank you for choosing Infrared Forehead and ear thermometer. The product combined the newest technology and had passed the related certification test. With its unique technology, it can get stable and accurate measurement result every time.
This product is suitable for homes or hospitals to measure and monitor human body temperature and suitable for people of all ages.
Measurement site of this product: Forehead and auditory meatus.
Key of symbols
| symbol | Description |
WARNING | WARNING indicates a hazardous situation which, if not avoided, could result in death or serious injury |
CAUTION | CAUTION indicates a hazardous situation which, if not avoided, may result in minor or moderate injury |
![]() NOTICE | NOTICE addresses practices not related to personal injuries, such as product and/or property damage |
![]() | Type BF |
![]() | Do not dispose of this product as unsorted municipal waste. Collection of such waste separately for special treatment is necessary |
![]() | This item is compliant with Medical Device Directive 93/42/EEC of June 14, 1993, a directive of the European Economic community |
![]() | Refer to instruction manual/booklet |
| IP22 | Degree of protection against harmful ingress of particulate matter and water. |
![]() | Manufacturer |
| Authorized Representative in the European Community | |
![]() | Date of manufacture |
| Serial number |
WARNING
Do not judge your own body state according to if you have a fever or not. If you worry about your health, please consult a physician
Do not dispose of electrical appliances as unsorted municipal waste, use separate collection facilities. Contact your local government for information regarding the collection systems available. If electrical appliances are disposed of in landfills or dumps, hazardous substances can leak into the groundwater and get into the food chain, damaging your health and well-being.
The device is not suitable for use in the presence of flammable anesthetic mixtures with air or with oxygen or nitrous oxide.
The device requires no calibration.
The device is not repairable and contains no user-serviceable parts.
No modification of this equipment is allowed.
Remove batteries if the equipment is not likely to be used for some time.
The user must check that the equipment functions safely and see that it is in proper working condition before being used.
The manufacturer does not require such preventive inspections by other persons.
The ear thermometer is used only for testing, it cannot replace a doctor.
Please do not use the thermometer in other ways except measure body temperature, if it is used for children please observe the general safety precautions.
Please do not dismantle, re-assemble or drop the ear thermometer.
The ear thermometer temperature sensing head protective cover or other components should keep away from children.
Incorrect usage of battery may cause damage, please do not recharge, dismantle the battery or throw the battery into fire, please deal with the battery according to local related regulations.
Please don’t operate the product out of operating conditions or out of the operating temperature range. It may cause measurement value anomaly or malfunction Please don’t bite, throw, fold, pull, and strongly impact the device. Or it may cause a failure Please don’t measure if have auricle inflammation or otitis media. Or it may aggravate inflammation
CAUTION
Please do not dip the device into water or other liquid Cleaning and disinfecting, please follow(cleaning and storage) section in the manual
Keep the device from sunshine, and store in dust-free, dry, store temperature of -20℃-+55℃ (-4℉-+131℉)areas.
If the sensor or product is broken, please do not use it. If the device is broken, please do not repair it by yourself, contact your nearest customer service.
Left ear wax can cause measurement of the low-temperature phenomenon, so please make sure the ear is clean to ensure accurate measurement results.
Before measurement please make sure the sensor mirror is clean. If there’s any dirt, please clean it with an alcohol cotton swab before use.
The device is made of precision parts. Do not drop it, and protect it from strong impact. Please don’t twist the device or sensor.
Please clean the thermometer sensor after use, to ensure the measurement accuracy and avoid cross-infection.
Please don’t add any protective sleeve to the sensor, or the measurement result will be incorrect please make sure the device appearance is not damaged and the sensing head is not dirty before use. If there is any breakage, please don’t use it. Damage and smudginess may cause incorrect measurement results.
CAUTION
Please read the manual carefully before use, and keep it in a safe place.
To make sure the measurement result is accurate, please wait at least 30 seconds after measuring every time, then you can measure again.
After cleaning the inductive head with alcohol, the device should be kept for a few minutes till the alcohol volatilize, and the inductive head back to natural temperature. Usually, the suggested time is 5 minutes, otherwise, the result may be incorrect.
Because the baby’s temperature adjustment ability has not been perfect if the environment temperature changed sharply, do not use the device to test the baby’s temperature, the result may be incorrect. Wait a few minutes in the same environment till the baby’s temperature become stable.
When testing, suggest testing in the same ear because the temperature of the left and right ear is different.
The following situations should test three times, and use the highest one: a baby who was born in 100 days.
Baby under 3 years, the baby whose immune system has defects, User who use the device in the first time, before he is familiar with the device and get the stable temperature reading.
This equipment has been tested and found to comply with the limits for a Class B digital device, pursuant to part 15 of the FCC rules. These limits are designed to provide reasonable protection against harmful interference in a residential installation. This equipment generates uses and can radiate radio frequency energy and, if not installed and used in accordance with the instructions, may cause harmful interference to radio communications. However, there is no guarantee that interference will not occur in a particular installation. If this equipment does cause harmful interference to radio or television reception, which can be determined by turning the equipment off and on, the user is encouraged to try to correct the interference by one or more of the
following measures:
- Reorient or relocate the receiving antenna.
- Increase the separation between the equipment and receiver.
- Connect the equipment into an outlet on a circuit different from that to which the receiver is connected.
- Consult the dealer or an experienced radio/TV technician for help.
This device complies with part 15 of the FCC rules. Operation is subject to the following two conditions: (1) This device may not cause harmful interference, and (2) this device must accept any interference received, including interference that may cause undesired operation.
Any changes or modifications not expressly approved by the party responsible for compliance could void the user’s authority to operate the equipment.
RF Exposure
The equipment complies with FCC radiation exposure limits set forth for an uncontrolled environment. This device should be installed and operated with a minimum distance of 0mm between the radiator & your body.
Product indication
Product appearance
![]() | ![]() |
Lattice screen display instructions

| Indicator information | statement |
| Fully display | Boot, self-test |
| The surrounding dot-matrix flashes once | Bluetooth is connecting |
| For ( Forehead measurement mode ) /EAr ( Ear measurement mode) Standby state | Standby state |
| H | The measured temperature exceeds the measurement range |
| L | The measured temperature is lower than the measurement range |
| EH | Ambient temperature is too high |
| EL | Ambient temperature is too low |
| Err | Sensor error, please return to factory for repair |
| Display LOL and turn off after 15S flashing | Low battery |
Product Specifications
| Product name | Infrared Thermometer |
| Model No. | TE-91 |
| Measurement range | 32.0℃~43.0℃(89.6℉~109.4℉) |
| Accuracy: | ±0.2°C, 36.0~39.0°C(0.4°F, 96.8°F ~102.2°F) Outside the range: ±0.3°C (0.5°F) |
| Resolution | 0.1℃/0.1℉ |
| Unit | ℃ / ℉ |
| Measurement time | 1S |
| Interval measurement time | 3S |
| Communication method | Bluetooth 5.0 |
| Operating Voltage | DC3.0V |
| Low battery parameters | 2.6±0.15V |
| Working current | <120ma |
| Stand-by current | <25uA |
| Working Environment | Temperature (10°C ~40°C) Relative humidity ≤85%RH Atmospheric pressure 70~106KPa |
| Storage environment | Temperature (-20°C ~+55°C) Relative humidity ≤93%RH Atmospheric pressure 70~106KPa |
| Battery | 2xAAA |
| Battery life | Two years with two AAA (LR03) batteries |
| The number of operations | 500 |
| Expected Service Life | Five years from the date of production |
Specified atmospheric conditions
| Temperature/℃ | 23±2 |
| Relative humidity/% | 60±15 |
| Atmospheric pressure | 860 hPa~1060 hPa(645 mmHg~795 mmHg) |
Product features
- Temperature unit conversion: °C / °F (default is °F).
- High-temperature alarm function: normal body temperature result, short vibration, no flash screen.
- Low fever 37.2~37.4°C (99.0~99.3°F) results, the device will vibrate twice, and keep the splash screen, 1 second on and 1 second off.
- High fever more than 37.5℃/99.5℉, the device will vibrate three times, and keep the splash screen, 0.5 seconds on and 0.5 seconds off.
- Memory query: Press and hold the power button in standby mode for about 4 seconds, the screen will display For/Ear, you can press the button to query. There are a total of 24 groups of local data. The ear temperature and the forehead temperature mode are each 12 groups.
- Connect your phone to Bluetooth and open the phone app to view historical data.
- No operation for 30 seconds, the device automatically shuts down.
- Automatically switch the ear temperature and forehead temperature mode through the probe cap.
HOW TO USE
Taking the measurement
- Forehead temperature mode: Cover the probe cap, press the button. The device is powered on and automatically connected to Bluetooth. After about 2 seconds, the dot matrix screen displays “FOR” and enters the standby state. it will display For℃. Take the probe touches your forehead and then press the button.
Release the button and wait 1 second until you feel the vibration.The measurement is finished. The LED displays the latest measuring result.No no operation for 30 seconds, the device automatically shuts down. - Ear temperature mode: Take off the probe cap, press the button. The device is powered on and automatically connected to Bluetooth. After about 2 seconds, the dot matrix screen displays “EAr” and enters the standby state. it will display EAr℃. Fit the probe tip into the ear canal and then press the button. Release the button and wait 1 second until you feel the vibration. The measurement is finished.
The LED displays the latest measuring result.No no operation for 30 seconds, the device automatically shuts down.
Note:
- In order to avoid the accuracy of the device due to an externally too cold or hot environment, the equipment must be placed in an environment with a temperature of 5 ° C ~ 40 ° C for at least 30 minutes before use.
- Subjects should stay in the test room for at least 20 minutes to balance the body temperature before measuring.
- After strenuous exercise, take a rest for at least 30 minutes before measuring.
- Keep your ears and forehead clean and dry before measuring the temperature.
- The interval measurement time needs 3S.
- Usually, the temperature of the left and right ears will be slightly different, so it is recommended to measure the same ear multiple times.
Unit conversion
In the state of shutdown, press and hold the measurement button for 5 seconds. It will display — ℃. Then press the button again to switch into— ℉.
Memory query
- Query on the device.
Press and hold the power button in standby mode for about 4 seconds, the screen will display For/Ear, you can press the button to query. There are a total of 24 groups of local data. The ear temperature and the forehead temperature mode are each 12 groups. - Query on the APP.
Connect your phone to the APP through Bluetooth. And then view historical data on the APP.
Replace the batteries.
This device uses 2 pieces of AAA batteries. When the screen displays “LOL”, it indicates that the battery is low. Please replace the battery as follows:
- Push the battery cover at the bottom of the device in the direction indicated by the arrow.
- Take out the old batteries and install the new batteries correctly according to the positive “+” and negative “-” of the battery.
- Close the battery cover. If it is not used for more than 3 months, remove the batteries to prevent the battery liquid from flowing out.
Cleaning instructions.
- Sensitive head is the most important part of the device, and the front mirror is fragile. The sensitive head can be cleaned with a cotton swab or soft cloth with alcohol / warm water.
- Please cover protective cover if don’t use, avoid dust pollution and direct sunlight .storage the thermometer environmental conditions should maintain relative stability, had better be in 16-35, humidity is not more than 90% RH environment, so it is easy to use at any time.
Description of maintenance and who should do it.
Please change it over to professional personnel to carry on maintaining.
Instructions on how to safely dispose of the device.
- Batteries should be disposed of separately from household waste. Always dispose of batteries as per your local regulations. Again, do not dispose of batteries with normal household waste.
- Observe the local regulations for material disposal. Dispose of the device in accordance with local regulations. If you have any questions, please contact the local authorities responsible for waste disposal.
Storage instructions:
- Please pack a good protective sleeve in the collection bag if don’t use the thermometer. If it is not installed in protective sleeve state custody, it may cause a malfunction.
- Please make sure the thermometer, collection bag, and protective sleeve are out of the reach of the baby, otherwise may cause failure.
- Please don’t put the thermometer into the collection bag storage when it’s wet. Or it may cause a failure.
- Please do not place the device in a too high/low temperature and humidity environment, to avoid sunshine, keep away from electric shock and dusty environment.
- Please keep the device in a dry environment, and the temperature should be -20℃-+55℃. Please do not put this product in a condition that exceeds the above-required storage and transportation conditions.
- Take out the batteries if the device will not be used for a long time, in case the battery may destroy the device.
Instructions on accessories:
- Battery :AAA×2PCS
- Instruction manual 1 PCS
- Infrared ear & forehead thermometer 1PCS
CLASSIFICATION
- Internally powered equipment;
- Type BF applied part: Probe;
- IP22;
- Not category AP / APG equipment;
- Mode of operation: continuous operation.
Additional Information
non-toxic, No Stimulation, No sensitization adverse reaction for the user during test.
- Disease and self-care information:
The device has been calibrated before delivery, if you use it according to manual instruction, there is no need to calibrate. If there’s any question regarding the test, please contact with the professional person (our company).
Be subjected to the vibration of the strong row such as the product, outside the dint function is damaged or the measurement result has a problem, please do not use, please contact with my company.
If the product suffers strong vibration, damage, or has a query about the measurement results.Please do not use, please contact with our company. - Warranty:
if you use the device according to the manual, replace it within 3 months and guarantee for free a year.
The following situations are not included in warranty time:
• problem caused by self dismounting
• problem caused by shocking during use or delivery.
• a problem caused by incorrect maintenance
• problem caused by incorrect operating, problems caused by unprofessional repair.
• supply the purchase proof that when require warranty the repair will be charged if not in warranty period or range
• we keep the final explanation right for above warranty. - User Assistance Information:
Guangzhou Daxin Health Technology Co., Ltd
Room 810, No.1, Yichuang Street, Huangpu District, Guangzhou, Guangdong.
Shanghai International Holding Corp. GmbH(Europe)
Eiffestrasse 80, 20537 Hamburg, Germany
Electromagnetic compatibility
WARNING:
- Hospitals except for near active HF SURGICAL EQUIPMENT and the RF shielded room of an ME SYSTEM for magnetic resonance imaging, where the intensity of EM DISTURBANCES is high.
- Equipment suspension if the ESSENTIAL PERFORMANCE is lost or degraded due to EM DISTURBANCES.
- Use of this equipment adjacent to or stacked with other equipment should be avoided because it could result in improper operation. If such use is necessary, this equipment and the other equipment should be observed to verify that they are operating normally.
- Use of accessories, transducers, and cables other than those specified or provided by the manufacturer of this the Model + Name could result in increased electromagnetic emissions or decreased electromagnetic immunity of this equipment and result in improper operation
- Portable RF communications equipment (including peripherals such as antenna cables and external antennas) should be used no closer than 30 cm (12 inches) to any part of the Model + Name, including cables specified by the manufacturer. Otherwise, degradation of the performance of this equipment could result.
Guidance and manufacturer´s declaration – electromagnetic emission – for all EQUIPMENT AND SYSTEMS
| Guidance and manufacturer´s declaration electromagnetic emission | ||
| The Model+Name is intended for use in the electromagnetic environment specified below. The customer or the user of Model + Name should assure that it is used in such an environment. | ||
| Emissions test | Compliance | Electromagnetic environment – guidance |
| RF emissions CISPR 11 | Group 1 | The Model + Name uses RF energy only for its internal function. Therefore, its RF emissions are very low and are not likely to cause any interference in nearby electronic equipment. |
| RF emissions CISPR 11 | Class B | The Model + Name is suitable for use in all establishments, including domestic establishments and those directly connected to |
| Harmonic emissions | N/A | |
| IEC 61000-3-2 | the public low-voltage power supply network that supplies buildings used for domestic purposes. | |
| Voltage fluctuations flicker emissions IEC 61000-3-3 | N/A | |
Guidance and manufacturer’s declaration – electromagnetic immunity –for all EQUIPMENT and SYSTEMS
| Guidance and manufacturer´s declaration – electromagnetic immunity | |||
| The Model + Name is intended for use in the electromagnetic environment specified below. The customer or the user of the Model + Name should assure that it is used in such an environment. | |||
| Immunity test | IEC 60601 test level | Compliance level | Electromagnetic environment – guidance |
| Electrostatic discharge (ESD) IEC 61000-4-2 | ± 8 kV contact ± 2 kV, ± 4 kV, ± 8 kV, ± 15 kV air | ± 8 kV contact ± 2 kV, ± 4 kV, ± 8 kV, ± 15 kV air | Floors should be wood, concrete or ceramic tile. If floors are covered with synthetic material, the relative humidity should be at least 30 %. |
| Electrostatic transient / burst IEC 61000-4-4 | ± 2 kV for power supply lines ± 1 kV for input/output lines
| N/A | Mains power quality should be that of a typical commercial or hospital environment. |
| Surge IEC 61000-4-5 | ± 1 kV differential mode ± 2 kV common mode
| N/A | The main power quality should be that of a typical commercial or hospital environment. |
| Voltage dips, short interruptions and voltage variations on power supply input lines IEC 61000-4- 11 | 0 % UT; 0,5 cycle g) At0°, 45°, 90°, 135°, 180°,225°, 270° and 315° 0 % UT; 1 cycle and70 % UT; 25/30 cycles Single phase: at 0° | N/A | The main power quality should be that of a typical commercial or hospital environment. If the user of the Model + Name requires continued operation during power mains interruptions, it is recommended that the Model + Name be powered from an uninterruptible power supply or a battery. |
| Power frequency (50/60 Hz) magnetic field IEC 61000-4- 8 | 30 A/m | 30 A/m | Power frequency magnetic fields should be at levels characteristic of a typical location in a typical commercial or hospital environment. |
| NOTE UT is the a. c. mains voltage prior to application of the test level. | |||
Guidance and manufacturer´s declaration – electromagnetic immunity –for EQUIPMENT and SYSTEM
| Guidance and manufacturer´s declaration – electromagnetic immunity |
| The Model + Name is intended for use in the electromagnetic environment specified below. The customer or the user of the Model + Name should assure that it is used in such an environment. |
| Immunity test | IEC 60601 test level | Compliance level | Electromagnetic environment – guidance |
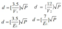
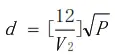
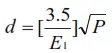
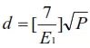
| Conducted RF IEC 61000-4-6Radiated RF IEC 61000-4-3 | 3 Vrms 150 kHz to 80 MHz 6 V in ISM and amateur radio bands between 0,15 MHz and 80 MHz 10 V/m 80 MHz to 2.7 GHz 385MHz-5785MHz Test specifications for ENCLOSURE PORT IMMUNITY to RF wireless communication equipment (Refer to table 9 of IEC 60601-1-2:2014) | N/A 10 V/m 80 MHz to 2.7 GHz 385MHz-5785MHz Test specifications for ENCLOSURE PORTIMMUNITY to wireless communication equipment (Refer to table 9 of IEC60601-1-2:2014) | Portable and mobile RF communications equipment should be used no closer to any part of the Model + Name, including cables, then the recommended separation distance calculated from the equation applicable to the frequency of the transmitter. Recommended separation distance ![]() where p is the maximum output power rating of the transmitter in watts (W) according to the transmitter manufacturer and d is the recommended separation distance in meters (m). bField strengths from fixed RF transmitters, as determined by an electromagnetic site survey, should be less than the compliance b level in each frequency range. Interference may occur in the vicinity of equipment marked with the following symbol: |
| NOTE 1 At 80 MHz and 800 MHz, the higher frequency range applies. NOTE 2 These guidelines may not apply in all situations. Electromagnetic is affected by absorption and reflection from structures, objects, and people. | |||
aThe ISM (industrial, scientific and medical) bands between 150 kHz and 80 MHz are 6,765 MHz to 6,795 MHz; 13,553 MHz to 13,567 MHz; 26,957 MHz to 27,283 MHz; and 40,66 MHz to 40,70 MHz. The amateur radio bands between 0,15 MHz and 80 MHz are 1,8 MHz to 2,0 MHz, 3,5 MHz to 4,0 MHz, 5,3 MHz to 5,4 MHz, 7 MHz to 7,3 MHz, 10,1 MHz to 10,15 MHz, 14 MHz to 14,2 MHz, 18,07 MHz to 18,17 MHz, 21,0 MHz to 21,4 MHz, 24,89 MHz to 24,99 MHz, 28,0 MHz to 29,7 MHz and 50,0 MHz to 54,0 MHz.bField strengths from fixed transmitters, such as base stations for radio (cellular/cordless) telephones and land mobile radios, amateur radio, AM and FM radio broadcast, and TV broadcast cannot be predicted theoretically with accuracy. To assess the electromagnetic environment due to fixed RF transmitters, an electromagnetic site survey should be considered. If the measured field strength in the location in which the model + Name is used exceeds the applicable RF compliance level above, the Model + Name should be observed to verify normal operation. If abnormal performance is observed, additional measures may be necessary, such as reorienting or relocating the model + Name.cOver the frequency range 150 kHz to 80 MHz, field strengths should be less than 3V/m. | |||
Recommended separation distances between portable and mobile
RF communications equipment and the EQUIPMENT or SYSTEM – for EQUIPMENT and SYSTEMS
| Recommended separation distances between portable and mobile RF communications equipment and the Model + Name | ||||
| The Model + Name is intended for use in an electromagnetic environment in which radiated RF disturbances are controlled. The customer or the user of the Model + Name can help prevent electromagnetic interference by maintaining a minimum distance between portable and mobile RF communications equipment (transmitters) and the Model + Name as recommended below, according to the maximum output power of the communications equipment | ||||
| Rated maximum output of transmitter | 150 kHz to 80 MHz outside ISM and amateur radio bands | 150 kHz to 80 MHz n ISM and amateur radio bands![]() | 80 MHz to 800 MHz![]() | 800 MHz to 2.7 GHz![]() |
| 0.01 | 0.12 | 0.20 | 0.035 | 0.07 |
| 0.1 | 0.38 | 0.63 | 0.11 | 0.22 |
| 1 | 1.2 | 2.00 | 0.35 | 0.70 |
| 10 | 3.8 | 6.32 | 1.10 | 2.21 |
| 100 | 12 | 20.00 | 35 | 70 |
For transmitters rated at a maximum output power not listed above the recommended separation distance d in meters (m) can be estimated using the equation applicable to the frequency of the transmitter, where P is the maximum output power rating of the transmitter in watts (W) according to the transmitter manufacturer.
NOTE 1 At 80 MHz and 800 MHz, the separation distance for the higher frequency range applies.
NOTE 2 These guidelines may not apply in all situations. Electromagnetic propagation is affected by absorption and reflection from structures, objects, and people.





























