TSH300v3 Modbus RTU Humidity
and Temperature Sensor
Version 1.8 / April 2021
User Manual
SH300v3_R1.8 – April 2021
www.teracomsystems.com
Short description
TSH300v3 (successor of TSH300) is a humidity and temperature sensor with an RS-485 interface. It supports the Modbus RTU protocol. The device doesn’t need an external power supply, it is powered through the interface.
The humidity and temperature sensor integrates basic elements plus signals processing and provides a fully calibrated digital output. A unique capacitive element is used for measuring relative humidity while the temperature is measured by a band gap sensor. Both sensors are seamlessly coupled to a 12-bit analog to digital converter. This results in superior signal quality.
The sensor is delivered with one-meter standard patch cable with RJ45 connectors. A 19” rack mount kit can be ordered separately.
Features
- RS-485 interface carrying up to 32 nods;
- LED indicator for status of communication;
- Changeable bitrate and another communication parameters;
- Firmware update via the interface.
Applications
- Server room and data centers humidity and temperature logging.
- Environmental quality monitoring and assessment.
- Humidity and temperature monitoring in building management systems.
- Humidity and temperature logging for mobile operator facilities, vineyards, greenhouses, etc.
Specifications
- Physical characteristics
Dimensions: 85 x 35.1 x 23.5 mm
Weight: 40 g - Environmental limits
Operating temperature range: -20 to 60°C
Operating relative humidity range: 5 to 95% (non-condensing)
Recommended operating range is 20% to 80% RH (non-condensing) over –10 °C to 60 °C.
Prolonged operation beyond these ranges may result in a shift of sensor reading, with slow recovery time.
Storage temperature range: -20 to 60°C
Storage relative humidity range: 5 to 95% (non-condensing)
Ingress protection: IP20 - Power requirements
Input Voltage: 4.5 to 26 VDC (from the bus)
Input Current: 5 mA@5VDC - Humidity measurements
Accuracy (min): ±3.0 %RH (in 20 to 80 %RH range)
Accuracy (max): ±5.0 %RH (in 5 to 95 %RH range)
Resolution: 0.1 %RH - Temperature measurements
Accuracy (min): ±0.4 °C (in -10 to +60°C range)
Accuracy (max): ±0.6 °C (in -20 to +60°C range)
Resolution: 0.1 °C - Warranty
Warranty period: 3 years
Pinout

| Pin Description | Corresponding UTP wires color |
| 1 not connected (most righ2 not connected | Orange/White Tracer |
| 3 not connected | Orange |
| 4 Line B- | Green/White Tracer |
| 5 Line A+ | Blue |
| 6 not connected | Blue/White Tracer |
| 7 +VDD | Green |
| 8 GND | Brown/White Tracer |
| Brown |
Installation
A daisy-chained (linear) topology for multiple sensors should be used. UTP/FTP cables with RJ-45 connectors are used for interconnection. The popular ANSI/TIA/EIA T568B wiring is used.
Standard patch LAN cables are recommended.

Attention:
The last sensor in the chain should have a terminator installed on the free RJ45 socket.
Installation tips
The location and the mounting position of sensors has a direct effect on the accuracy of moni- toring the room humidity and temperature. The tips below will ensure good measuring results:
- Sensor shall be installed about 1.2-1.4 m above the floor;
- Sensor should not be installed next to windows to avoid solar radiation;
- Sensors shall be installed in a place with sufficient air circulation;
- Sensors shall be wall mounted with vent holes up/down to ensure air circulation.
Status indicator
The status of the device is shown by single LED, located on the front panel:
- If the LED blinks on period of 1 second, sensor works properly;
- If the LED blinks on period of 3 seconds, there isn‘t communication with the controller;
- If LED doesn‘t blink, there isn‘t power supply.
Factory default settings
Disconnect the sensor from the bus (switch off the power supply).
Press and hold “config” button. Don’t release the button, connecting the sensor to the bus (switch on the power supply).
The “status” LED will be ON for 3 seconds and after this will flash for 7 seconds. After the 10-th second the LED will be ON.
Release the button. The sensor will restart with factory default settings.
Firmware update
The firmware of the sensor can be updated with Turaco controller which supports MODBUS RTU or MBRTU-Config software. For more details ask your dealer.
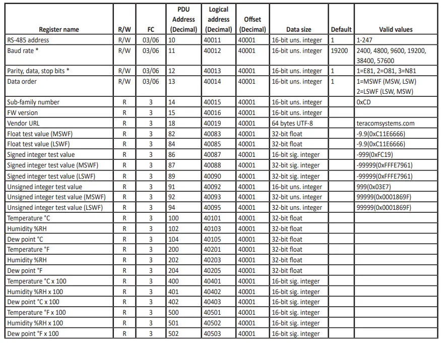
Modbus address table

MSWF – Most significant word first – (bits 31 … 16), (bits 15 … 0); LSWF – Least significant word first – (bits 15 … 0), (bits 31 … 16); PDU address – Actual address bytes used in a Modbus Protocol Data unit A “NaN” value is returned for unavailable floating-point values (e.g. in case of measurement error)
* The settings will take effect after restart of the sensor by power on reset.
Recycling
Recycle all applicable material. Do not dispose of with regular household refuse.

















