Laser Beam Stabilisation System
Compact
User Manual

General
The Compact laser beam stabilisation compensates for vibrations, shocks, thermal drift, or other undesired fluctuations of the laser beam pointing. The system should be applied whenever laser fluctuations or movements of optical components occur but a high precision and stability of the beam position and angle is required.
The desired position of the laser beam is defined by a position detector (4-quadrant-diode (4-QD) or PSD). For that purpose a small portion of laser power transmitted through a high-reflective deflection mirror (“leakage”) is sufficient.

The closed-loop real-time control continuously determines the deviation of the laser beam from the desired position and drives the fast Piezo actuators in that way that the steering mirrors stabilise the laser beam in the desired position.
The 4-axes system combines two pairs of detectors and steering mirrors in order to stabilise the laser beam in 4 degrees of freedom (4D, position and angle). The 2-axes system uses only one such pair. It stabilises either the beam position at exactly one point or – if e.g. the detector is placed into the focus of a lens – the beam angle.
System components
The laser beam stabilisation utilizes the control electronics and the optoelectronic components (steering mirrors, detectors). The following figures show the standard components. Beyond these, we offer various types of steering mirror mounts with Piezo actuators and detectors. For more details please check the specification in sections 3 and 4.

Figures 2, 3, and 4 (from left to right): Steering mirror with Piezo drive (version P2S30), detector with position and intensity display (horizontal orientation), detector (vertical orientation)
The system electronics (controller, amplifiers, power supplies) is fully integrated into a single compact housing. It is powered by a standard 12 V wall power supply.

Specification
You can find detailed data sheets of the different components of the beam stabilisation system on our website. We can also send them to you. The following table shows an overview:
Optical parameters
| Wavelength | 320 to 1100 nm, UV and IR detectors are also available any rate or cw |
| Repetition rate | For lasers with low repetition rates (< 1 kHz), with single pulses or with laser off-times we offer an additional sample & hold circuit, see also note 1 |
| Laser beam diameter | < 6-8 mm (1/e²), see also note 2 |
| Height of laser beam | 40 mm for P2S30 and P4S30, 45 mm for PKS, 39.5 mm for PSH |
| Mirror diameter | P2S30: 1” (standard) P4S30: 1”, 1.5”, 2” and other mirror diameters |
| Mirror thickness | 1/4″ or 1/8″ (recommended) |
| Controller housing dimensions | |
| w x h x d | 166 x 106 x 56 mm3 |
| Control features | |
| Power level display | LED line with 10 elements on the backside of the detector |
| Position display | LED cross on the backside of the detector |
| Variable intensity gain | Continuous, adjustable with potentiometer (1:6) |
| Low power switch-off | Power level falls below 10% of saturation power |
| Switch on activity delay | 300 ms |
Computer interface
| Options | USB, RS-232 or Ethernet |
| Connectors at controller unit | |
| Actuator | LEMO 0S series |
| Detector | LEMO 0B series |
| Controller status signal (interlock) | LEMO 00 series |
| x, y position output | LEMO 00 series |
| P factor setting and read-out | LEMO 00 series |
| Power supply | 12 V / DC pin-and-socket connector |
Notes:
- A description of the sample & hold circuit is given in section 7 of this user manual.
- If the beam diameter is larger than 8 mm, a lens in front of the detector can be used. Please refer to the description “Optimisation of the setup with lenses” on our website for details.
3.1. Positioning accuracy
The positioning accuracy depends on several parameters:
• Optical distance between steering mirror and detector: The accuracy is higher for larger distances. Therefore a large distance should be chosen.
• Beam diameter: Having the same absolute change of laser beam position, a smaller diameter leads to stronger power differences on the quadrants of a 4-QD and therefore a steeper control signal. That is why laser beams with smaller diameter can be positioned with higher accuracy.
• Intensity: The resolution of the detectors further depends on the intensity hitting the sensitive area. However, this can be varied by optical filters and optimised electronically (see section 5.4).
• Repetition rate and pulse duration: The controller bandwidth can be optimised for different laser parameters. Higher bandwidths lead to a faster reaction and therefore higher accuracy in case of fast fluctuations.
Note: The system uses the centre of the transversal laser beam profile. It does not reduce fluctuations of the laser beam profile itself.
The position signals of the detectors can be read out at the front panel of the controller.
| Position outputs x, y | |
| Description | 4 outputs: beam position (stage 1 and stage 2) |
| Signal | Analog, – 5 V … + 5 V |
| Connectors | LEMO 00 series |
Figure 8 shows the typical resolutions of the 4-quadrant detectors. The example demonstrates that a resolution of better than 100 nm on the detectors can be achieved with an appropriate choice of parameters. The angular resolution can be determined from these data with respect to the respective arm lengths.
Figure 8: Resolution of a 4-quadrant diode irradiated by a red He-Ne laser with different beam diameters and laser intensities
By the use of the material Invar with a very low coefficient of thermal expansion the detectors are stabilised against temperature variations which ensures that the accuracy is maintained over long term.
The actuators are controlled with an analog signal so that the positioning is not restricted to separate steps. The positioning accuracy of the Piezo elements is in the range of a few nrads.
3.2. Relation between measured voltage and actual position
The position signals are given as voltages. The following formulas allow to convert the voltages into actual positions.
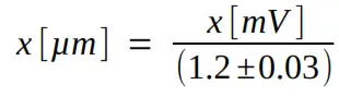
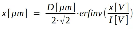
4-quadrant detector
For the calculation, the beam diameter must be determined first. Then the deviations of the positions in µm can be approximated with the following formula which is valid as long as the beam is near to the centre of the 4-quadrant diode:
![]()
Where x is the x position signal measured in volts or calculated in µm. The same calculation can be made for y. D is the Gaussian beam diameter (1/e ) and I is the measured intensity signal. For a more precise calculation or if the beam is further away from the centre, the following formula can be used. Here erfinv() is the inverse error function:
In case of non-Gaussian beams or to obtain the exact relation, you have to perform a calibration by means of a micrometer stage.
PSD detector
In case of PSDs the relation between voltage and position is almost linear. Here you can use the following ratio (similarly for y):
![]()
You can find further information on the calculations in the description “Position and angular accuracy” on our website.
Optical components
In this chapter we summarize some essential properties of the optical components of the beam stabilisation. More detailed information can be found in the respective data sheets.
4.1. Steering mirror mounts
| Specification | P2S30 | P4S30 |
| Tilting range Coarse adjustment (manually) Piezo stacks High resonant frequencies High stabilisation bandwidths Mirror sizes Free aperture for beam transmission | 2 mrad (± 1 mrad) mechanical, 4 mrad optical ± 4.5° 2 integrated Piezo stacks up to 1,200 Hz ~ 400 Hz (with 1” mirror) 1 inch 12 x 12 mm2 | 4 mrad (± 2 mrad) mechanical, 8 mrad optical ± 4.5° 4 integrated Piezo stacks > 1,200 Hz (with 1” mirror) ~ 300 Hz (with 2” mirror) > 400 Hz (with 1” mirror) > 100 Hz (with 2” mirror) 1, 1.5, 2 and 3 inches |
Notes:
- The movable top plate of the Piezo elements is sensitive to mechanical forces. Please avoid the impact of strong forces or torsional moments on it. The Piezo stacks are attached to this plate.
- If you intend to remove a mirror adapter you should be especially careful. We can provide a specific instruction and a tool for this purpose.
4.2. Detectors
4.2.1. 4-quadrant detectors
| Specification | vis 4-QD (silicon) | UV 4-QD 3×3 (enhanced silicon) | IR InGaAs 4-QD | IR Germanium 4-QD |
| Wavelength range Sensitivity range Element gap | 320 – 1.100 nm 10 x 10 mm2 30 µm | 190 – 1.000 nm 3 x 3 mm2 100 µm | 900 – 1.700 nm Ø = 3 mm 45 µm | 800 – 2.000 nm 5 x 5 mm220 µm |
| Sensitivity range Damage threshold | 10–165 μW / 3-55 nJ @ 532 nm cw (adjustable with gain potentiometer and optical filters) limited by optical filters – typical values: Max. absorbed power: 0.05 – 0.1 W for Ø=1mm, 0.2 – 0.4 W for Ø=3mm Max. absorbed energy: 1-5 µJ for Ø=1mm, 5-20 µJ for Ø=3mm |
| Dimensions | |
| Housing (w x h x d) | 40 x 49.5 x 23.9 mm3 |
| Optical filter | 11.9 x 11.9 mm2 |
| Further functions | |
| Power indication | LED line with 10 elements on the backside |
| Position display | LED cross on the backside |
| Connectors | |
| x, y, intensity outputs Power supply | MCX |
| 12 V / MCX | |
4.2.2. Wide intensity detector – 4-quadrant diode with wide intensity range
| Specification | |
| Dynamics / Intensity range | 3 decades |
| Bandwidth | < 10 kHz |
| Signal scaling | 9 mV / µm (typical for 1 mm beam diameter) |
| Sensitivity range | ~ 5 µW – 5 mW (@ 532 nm, cw) |
| Reproducibility over the complete intensity range | 10 mV (with 1 mm beam diameter ~ ± 1 µm) |
All other specifications are the same as those of the standard 4-quadrant detectors.
Notes:
- For the wide intensity detector, the function of the intensity display is unchanged. It can still support the selection of the filters. The potentiometer described in section 5.4, however, is omitted.
- Due to the wide intensity range it is possible to detect even lowest laser powers. That is why, de pending on the selection of the optical filters, the detection can be affected by ambient light.
4.2.3. PSD detector
| Specification | VIS PSD |
| Wavelength range | 320 – 1,100 nm |
| Sensitive area | 9 x 9 mm2 |
In contrast to the 4-quadrant diode the PSD has a continuous measurement area.
Notes:
- If we equip the beam stabilisation with PSDs but no further measures, we use the electronic centre (defined by a voltage of 0V for x and y position) as the target position.
- The position vs. voltage characteristics of a PSD is usually not linear. This means that a pincushion distortion occurs when the beam is sweeping the complete sensor area. I.e. the expected position value can deviate minimally from the voltage value. Therefore, we recommend performing a calibration if the target shall be moved along a defined path.The absolute accuracy at a stabilized position is not affected.
4.3. Vacuum adaptions
Both, the detectors and the actuators, can be adapted for use in vacuum. In case of the actuators, this is possible for vacuum pressures down to 10 mbar. But this is an extreme value. In case you intend to place some components in vacuum please let us know the conditions so that we can discuss and suggest the required measures. Some measures (choice of materials, cables, sealing) are mainly focussed to avoid degassing and depend on the pressure. Others are important to protect the components themselves.
Notes:
- The controller itself should not be placed in vacuum.
- The vacuum compatible detector does not have the LED displays on the backside. That is why additional intensity outputs are integrated into the control box.
4.4. Optical filters
We usually integrate a pair of optical filters in front of each sensor. They have a size of 11.9 x 11.9 mm2 and fit into the provided slot in the detector housing. The filter which is further inside is optically denser.
Installation and operation
A quick installation guide is part of the scope of delivery. It explains how to start up the beam stabilisation. If you no longer have this guide, you can download it from our website or ask us to send it. In the following sections, we explain individual steps in more detail.
The system operation can be described best with reference to figures 5 to 7. The top panel in figure 5 shows the keyboard and the position signal outputs for two pairs of detectors and actuators (stage 1 and stage 2). Each stage can be started and stopped independently by pressing the Start/Stop button. When the stage is started the small LED in the top right corner of the button is shining. The Range display shows whether or not the steering mirrors are within the available capture range. The Active LED is shining whenever the control stage is active. This is the case whenever the Start/Stop button has been pressed and the laser power on the detectors has the right level.
The Position outputs on the top panel can be used to read out the current position of the laser beam on each detector (x and y).
Notes:
- Whenever the Start/Stop button is pressed (and the Active LED is on) the actuators start to move from the zero position and then respond to the controller input.
- If a Range LED is shining red, this does not automatically mean that the beam is not stable. But it indicates that no further tilt of the respective steering mirror is possible although it might be necessary.
- If the power on the detectors is too low the actuators are driven to the zero position (and the Active LED is off). This is due to the low power switch off that was implemented for safety reasons (see section 6.2).
Figures 6 and 7 show both sides of the control box with the connectors, the P factor adjustment and the switches for the Directions and the Bandwidth selection. The cables to the actuators are connected on the left side. The cables coming from the detectors are connected on the right side.
The description of the adjustment and read-out of the P factor is given in section 5.8. The Directions switches enable a coding of the x and y directions of each control stage. They are connected with Det1 and Det2, respectively. The performance is further described in section 5.6. The function of the bandwidth limitation switch is explained in section 6.5.
The Status signal output can be used as an interlock or to drive a shutter (see section 6.4).
Note: The Piezo elements have a large electrical capacity. That is why the cables should not be disconnected as long as the Piezo elements are charged. I.e. you should always switch off the power of the stabilisation system on the left side of the panel and then wait for a few seconds before you disconnect the actuator cables.
5.1. Set-up of optical components
The steering mirrors and detectors can be set up in variable arrangements for different applications. The detectors can be placed behind high-reflection mirrors. They are very sensitive and can work with the leakage behind the mirrors. This has the advantage, that no additional components are required in the beam path. Alternatively, it is possible to use the reflection of a glass plate or a beam splitter. The latter can be necessary for lasers with larger beam sizes where the actuator would constrain the transmission.
In any case, the centres of the detectors should be positioned in that way, that they define the desired laser beam direction. The target positions on the PSD detectors can be different from their centres. For further information please refer to section 4.2.3. The first actuator should be placed close to the laser or the last source of interference. The last detector should be placed close to the target.
Note: Take care for a robust mechanical mounting of the optical components. If possible, the delivered components should be directly tightened to an optical table without further positioning equipment (like height adjustment). If there are oscillating components with resonance frequencies within the control bandwidth in the set-up, such resonances can provoke oscillations of the system at those frequencies. The following figures 9-13 show a selection of possible arrangements. These examples are demonstrated with the 4-axes system with two detectors. However, they can be applied in similar configurations for the 2-axes system with only one actuator and one detector.
- Figure 9 shows a typical 4-axes set-up of the system where the laser beam hits the optical components in the following sequence: steering mirror, combination of steering mirror and detector, mirror with detector.
- Figure 10 shows a similar set-up where additional lenses are placed in front of the detectors. Further, a beam splitter is integrated in the beam path. This set-up might be better for lasers with large beam diameters.
- In figure 11 a lens is placed in front of detector 2 in order to improve the angular resolution. In this case, the distance between lens and detector should be the focal length of the lens. The focal length itself should be chosen in that way – depending on the beam diameter – that the focal spot is not too small. In case of 4-QDs the beam should still have a diameter on the sensor area of > 50 µm, so that it hits all quadrants of the diode. (The gap between the quadrants is 30 µm for our standard 4-QD, and even more for other 4QDs.)
- Figure 12 shows a variation of 11 where both detectors are placed behind the same mirror. In order to measure both, the beam position and the direction at the same point, a lens is placed in front of detector 2.
- Figure 13 finally shows an arrangement where the 4-axes system is used as two 2-axes systems, i.e. the two stages of the controller are used to separately stabilise two independent beam lines.
Notes:
- In some cases in set-ups where the distance between the actuators 1 and 2 is rather small, a positioning error can occur. This is the case if detector 1 is not placed sufficiently close behind actuator 2. A lens in front of detector 1 can eliminate this positioning error. The lens and the distances should be chosen in a way that the front surface of the mirror is imaged on the detector. The distances and the focal length f of the lens can be calculated with the lens equation 1/f = 1/ b + 1/g. While g is the distance between the mirror’s surface and the lens, b is the distance between the lens and the detector’s surface.
- For setups with lenses, please also refer to the description “Optimisation of the setup with lenses” on our website.
![]() | |
| Figure 9: Typical sequence of components for the 4-axes stabilisation: Detector 1 stabilises the beam position on actuator 2. Detector 2 then defines the beam position at a separate point and hence the direction. | Figure 10: Set-up as in 9, with an additional beam splitter and a lens in front of detector 1 and an additional lens in front of detector 2 (Often used for lasers with larger beam diameters) |
![]() | |
| Figure 11: Set-up as in 9, but a lens is used to discriminate the angle by means of detector 2. This can be of advantage in case of restricted space with small distances between the optical components. Detector 2 must be placed in the focal plane of the lens. | Figure 12: This set-up shows a variation of figure 11. Both detectors are placed behind the same mirror in order to measure both, the beam position and the direction at the same point. A lens is placed in front of detector 2 which discriminates for the angle. |
Figure 13: Set-up of a 4-axes system used as two 2-axes systems. With this set-up the position of two independent lasers can be stabilised with one controller.
5.2. Connecting the cables
The first steering mirror is connected to the Actuator 1 output. The second steering mirror is connected to Actuator 2.
The detectors are connected to the control box with a LEMO cable with a length of 4 m and an adapter cable that splits the LEMO cable into four separate cables. These cables are connected to the detectors according to the following rules: The x and y lines have to be connected in accordance to the orientation of the detector housing. If the detector is oriented in vertical orientation as shown in figure 4, the x line has to be connected to the x output and the y line to the y output. If the detector is turned by 90° to za horizontal orientation as shown in figure 3, the x line has to be connected to the y output and the y line to the x output. At the other end, the LEMO cables of the detectors are connected to the respective detector inputs at the controller module.
Note: In case of the 2-axes system you can either use the first or the second stage for stabilisation.
5.3. Power supply
The power supply is provided by the delivered plug-in power supply. The system is switched on via the switch on the left side of the housing.
Note: The power supply is specified with 12V and 3.8A. The 3.8A is not needed during the operation. However, due to the loading of the buffer capacitors and the ramp-up of the high voltage module, the peak currents are quite high when the system is switched on. If at least 3A are not available during the switch-on phase, the high-voltage modules do not reach their rated voltage and there is a risk of damage.
5.4. Intensity adjustment
5.4.1. Adjustment of sensitivity with 4-QDs
To make sure that the detectors operate in the linear range, the power level can be adjusted by tuning the potentiometer for intensity variation (see figure 14). For that purpose, switch on the system (Power on) and inactivate the closed-loop control (Start/Stop button switched off, green Active-LED and LED on button off). Then adjust the laser beam onto the detectors in that way that at least 3 but not more than 9 elements of the power level display are shining. The amplification increases by counter-clockwise rotation. If the intensity on a detector is too high the sensor gets saturated. In this case all LEDs of the power level display are blinking.
If you do not find an appropriate adjustment you have to exchange the optical filters in front of the 4QDs (see section 5.4.3). If the required filters are not available please contact us.
Notes:
- In a standard delivery we integrate two optical filters in front of the sensor. These are filters with a high and a low density for coarse and fine adjustment, respectively. Usually the filter which is the first to be reached is the low density one.
- Please be aware that the sensor is quite sensitive. If you want to clean it you should do this carefully with a lint-free cloth.

Figure 14: 4-quadrant-diode. The arrow points to the potentiometer for intensity variation (Please use a screwdriver)
5.4.2. Adjustment of sensitivity with PSDs
The PSDs have small push-buttons instead of the potentiometer. The adjustment of this digital potentiometer can be carried out with the delivered metal pin by means of soft pushing. There is a small push-button for each direction behind the bores in the housing (see the arrows in figure 15). With the upper push-button you can increase the gain step by step, with the lower push-button you can decrease it. There are 64 steps between the highest and the lowest gain. This corresponds to a change of the
sensitivity by a factor of 20.
If you do not find a fitting adjustment, you can exchange the optical filters in front of the PSD sensors.
Figure 15: PSD detector. The arrows point to the push-buttons of the digital potentiometers for the gain adjustment (which can be carried out with the delivered metal pin)
5.4.3. How to replace the optical filters in the detector housing
In some cases it can be necessary to exchange the optical filters. The filters are fixed to the housing with two plastic screws. To replace the filters carefully open the plastic screws. You can use forceps to hold the screws during the fixation. Usually, the filter with the higher optical density is the one which is deeper in the slot.
5.5. Pre-alignment
For pre-alignment of the laser onto the detectors you should at first not activate the control (Active-LEDs off). However, the electronics must be switched on (supplied with power) so that the Piezo actuators drive into their zero positions. The laser should be aligned onto the detectors so that only the green LEDs in the centre of the LED position display are shining. If you use the software, you can also observe the positions there.
5.6. Direction coding of detector outputs
Each control stage makes use of a steering mirror and a detector as described in sections 5.1. For any deviation of the laser beam position on a detector the respective steering mirror is tilted in that way that it aligns the laser beam back to the desired position. The components that are working together are identically coloured in figures 9-13. The direction in which the steering mirror must be tilted depends on the arrangement of detector and steering mirror. It can be changed during the adjustment process
described in section 5.7 in the following way:
There are four switches on the right side of the controller module (see figure 7). These switches stand for the x and y directions of the control stages Stage 1 and Stage 2. To turn them into the correct position just activate the respective stage. If the laser beam is then deflected into an extreme x (horizontal) and/or y (vertical) position instead of the centre of the detector, you have to toggle the belonging switch.
5.7. Fine-adjustment
The fine-adjustment should also be performed with inactivated control stages. The better the correlation of desired position and zero position of the Piezo actuators, the smaller the position shift once the closedloop control is started.
Adjust the laser beam by means of manually tilting the steering mirrors or any other mirrors in the setup in that way, that it hits the centres of the detectors. This can be done by observing the displays in the software or by reading out the x and y position outputs of the controller which deliver voltages that directly depend on the deviation from the target position. You can easily display these signals on an oscilloscope.
A helpful indication for a good adjustment are also the Piezo voltages. If you use the software, you can continue to manually adjust the laser beam onto the detectors with the control-loop activated ( Start button switched on, green Active-LED and LED on button shining) for a final adjustment until all four Range displays in the software are close to 0 V. Now the steering mirrors are operating in their linear range.
After these adjustments the system should show no fluctuations of the laser beam position after the last mirror with detector when the controller is activated.
5.8. Adjustment of the proportional element (P factor)
Usually the factory settings of the proportional and integral elements of the control loop lead to a very stable performance of the beam stabilisation system with desired bandwidths. That is why no user interactions are required to adjust the control loop. However, in specific cases the user might wish to adjust the control loop for his application. Such cases can e.g. be setups with rather long arm lengths.
Since the control loop is mainly influenced by the proportional element, the system offers a direct access to the P factors of both control stages by means of potentiometers or via the (optional) serial interface. The potentiometers P1 and P2 are located at the side panel of the control box (figure 7). The adjustment can be done separately for each stage. An increase of the P factor usually leads to an increase of the overall bandwidth. In order to optimize the performance, we recommend to start with a small P factor
and operate the system in this stable configuration. Then you can increase the P factor by simply turning the potentiometer in clockwise direction or by increasing the values in the software, until the system reaches its stabilisation limits and starts to oscillate. The potentiometers or values should then be turned back to a level, where an operation without oscillations is guaranteed.
Notes:
- The optimal P factors of stages 1 and 2 can differ.
- If the distances of the optical components, the beam diameter, the laser intensity, or other laser data change, the P factor of the overall system might also change.
The system is also equipped with analog inputs for a remote setting of the P factors. The remote adjustment connectors are integrated into the control box in addition to the potentiometers. They are labelled with P1-Sig and P2-Sig (figure 7). Whenever a voltage signal is applied to the remote adjustment, the potentiometers are ineffective. The input voltages can be set between 0 and 5 V. The interface can also be used to read out the current voltages as set by the potentiometers.
| Specification | |
| Input/output voltage range | 0 … +5 V |
| Connector | LEMO 00 series |
| Cable (optional) | LEMO 00 → BNC for each stage, length 2 m, 2 units |
Note: The remote adjustment has to be driven with a low impedance voltage source (≤ 1 kOhm), whereas the read-out drives only high impedance terminations (≥ 1 MOhm).
Operation and safety features
6.1. Power level and position display
The total power on each connected detector is displayed by means of a LED line on the backside of the detector housing. Furthermore, a LED cross on the detector housing displays the current laser beam position. If the laser beam hits the centre of the detector only the green LED of the position display will shine. In other cases also yellow and red LEDs will shine according to the examples in figure 16.

Figure 16: Examples for laser beams hitting the detector (orange spots) and the corresponding position display. The left pictures are shown in a view from the rear side of the housing to the sensor area.
If only green and yellow LEDs are shining the sensor electronics is in the linear range where a direct correlation between measured signal and position exists. If a red LED is shining too, the correlation is no more possible due to the principle of 4-QDs. In case of the PSDs, if a red LED is shining, the beam probably hits an edge of the sensor. Please check if the full diameter of the beam hits the sensor area.
6.2. Low power switch-off
If the total power falls below 10% of the saturation power (only two LEDs of the LED line are on) the controller automatically drives the mirrors into their zero positions. This leads to the advantage that the closed-loop control can start from the zero position even if the laser was switched off or blocked.
6.3. Switch-on activity delay
The integrated switch-on activity delay starts the control only some time after sufficient intensity hits the detector again. This ensures that the control does not start until a reliable control signal is present and the steering mirrors have reached the zero positions. The Active LED will not shine during this delay.
6.4. Controller status signal (interlock)
If the system is completely switched off (power off), the Piezo actuators of the P2S30 tilt the steering mirror into an extreme position. This is about 1 mrad from the zero position. (The P4S30 does not show this behaviour due to its design with 4 Piezo stacks.) However, the system is equipped with a TTL output that can be used to block or electronically switch off the laser in order to avoid damage by the misaligned beam. The level is HIGH when the controller is active and the steering mirrors are in the
correct range or in zero position. It is LOW if the controller is active and one of the actuators is out of range. (If the controller is not active, the level is always HIGH.)
Note: The criterion for the actuators being “out of range” is that the Piezo voltage reaches 95% of its maximum or minimum value.
| Status signal | |
| Description | 1 output for both stages |
| Signal | TTL, LOW if Piezo is out of range |
| Connector | LEMO 00 |
| Cable (optional) | LEMO 00 → BNC, length 2 m |
6.5. Bandwidth limitation switch
The controller bandwidth directly influences the quality of the stabilisation. The system can be operated with two different controller bandwidths. The default setting is the high bandwidth. However, especially in case of unstable mechanical set-ups or if a mutual interference of the control stages occurs it can be of advantage to choose the low bandwidth. Therefore a bandwidth limitation switch is integrated in the controller module (Bandwidth, see figure 7, H = HIGH, L = LOW bandwidth). The bandwidth can be chosen independently for both stages.
Option: Sample&hold circuit (“ADDA“)
The additional circuit is used to fix the laser beam in the last position during laser off times. With this add-on, which is integrated into the control box, the positions of the steering mirrors can be fixed for an arbitrarily long time interval without control signal or laser intensity on the detectors. In that way it is possible to start the control-loop after switching on the laser not from the zero position but from that latest stabilised position. You can find the detailed description “Sample&Hold circuit (“ADDA”)” on our
website which explains the various applications of this add-on.
The name “ADDA” is derived from the functional aspect that the actuators’ drive signals are first AD converted and digitally stored before they are subsequently DA converted again and fed to the amplifiers of the mirror actuators.
7.1. Technical specification
| Sample & Hold circuit | |
| Storage principle | Digital storage of position data |
| Sampling time | 64 µs per event |
| Freezing interval | unlimited |
| Requirement for automatic triggering | Minimal laser on time: > 100 ms |
| External triggering | |
| Signal levels | TTL, HIGH for laser on, LOW for laser off |
| Inputs | 1 input for each stage |
| Connector | 2x LEMO 00, separate connectors for stage 1 and stage 2 |
| Cable (optional) | LEMO 00 → BNC for each stage, length 2 m, 2 units |
| Minimal length of trigger signal “high“ | tmin ≥ 10 µs |
| Trigger start | 10 µs before until 50 µs after start of laser pulse |
| Trigger end | max. 1 ms after laser pulse end |
| Trigger (digital) | |
| via serial interface | Commands: “SetTriggerFreeze”, “ClearTriggerFreeze“ |
7.2. Modes of operation
Automatic control of sample & hold elements
The beam stabilisation with additional S&H circuit includes an automatic recognition of laser on and off states. This is done by sampling the intensity on the position detectors. The automatic operation controls the S&H elements in order to store the signals during laser on times and fix the position of the steering mirrors during intervals with no intensity.
For this mode of operation the laser on intervals or the respective duration of pulse packages must be longer than 100 ms. In case of the automatic control you do not need to provide any trigger signals.
Note: When using WID detectors (see section 4.2.2), the automatic control does on principle not work.
External triggering of the sample & hold elements
For single laser pulses or lasers with very low repetition rates, modulated cw lasers or pulse trains < 100 ms the automatic control can not release the stored beam position in due time. In such cases it is necessary to control the S&H elements by means of external triggering. The requirements for the trigger signals are described in section 7.3.
7.3. Configuration and start of operation
Cabling
In the operation mode of automatic control there is no need for additional cabling. For external triggering the trigger signals have to be fed into the control box via the respective LEMO connectors marked with “Trig” (see figure 17). The left connector controls the S&H function for stage 1 / steering mirror 1. The right connector controls it for stage 2 / steering mirror 2.

External triggering
The external triggering enables an accurate timely assignment when the system shall store the position of the steering mirrors and when the position shall be fixed. This assignment is especially important in case of single laser pulses. For an optimal function of the S&H circuit there are time restrictions for the trigger signal which should be met. Figure 18 illustrates the respective tolerances of the trigger signal.

Start of operation
Whenever the stabilisation is de-activated (i.e. the Start/Stop button is in off-state) the stored position of the steering mirrors is reset. In this state the steering mirrors are in their zero position. In this way it is guaranteed that the system can be adjusted as described in this user manual.
Note: Please note that the last position of the steering mirrors is lost whenever the stabilisation is deactivated. As soon as the system is started again it starts from the zero position of the steering mirrors. In case of large distances between steering mirrors and detectors there is a risk that the beam will not hit the detector without a prior re-adjustment.
7.4. Performance
The performance of the additional S&H circuit shall be explained in the following sections with the help of some examples. In figure 19 a sequence of pulse trains with a repetition rate of 1 kHz and a duration of about 300 ms was applied. The pulse trains are displayed with green colour. The violet curve shows the position signal of the laser on the detector.
During the first pulse train the stabilisation was de-activated. You can see that the pulse does not hit the detector in the centre. During the second pulse train the stabilisation was started. You can see an initial spike of the position (enlarged view is shown in figure 20) and then a stable position signal which is also stable during the third and fourth pulse train. Without the S&H circuit the spiking of the steering mirror would occur again and again in the second and all following pulse trains.
At the time the beam stabilisation is started the steering mirrors are in their zero position. Since this position usually differs from the desired position the system recognises a strong control amplitude immediately after its activation. This leads to the described spike. In normal use cases where the laser provides a continuous control signal this is not a problem since the controller always gets a signal. However, in case of some applications, there are time intervals without a control signal. In these cases the additional S&H circuit becomes effective: After time intervals without laser intensity the stabilised operation is re-activated for the next pulse train without a larger spike. This will be demonstrated in the following sections “Automatic control” and “Operation with external trigger”. Without the S&H circuit it would have started from the upper position and would have produced a spike.

Only for the first pulse train the S&H circuit has no influence since at this time there are no valid position data for the desired position in the S&H elements. After that the control signals for the steering mirrors are stored continuously and for arbitrarily long time intervals where there is no intensity (or for trigger “low” periods). This is true as long as the stabilisation system is switched on and activated.
Note: During the operation, the laser intensity should not be modulated by means of a mechanical laser shutter or another blocking element. Due to their functional principle, the detectors would determine a wrong position for the short period of the partially covered beam. Therefore the position signal would be distorted.
Automatic control
The operation mode of automatic control is especially suited for long switching periods of the laser light or long trains of single laser pulses.
In figures 21 and 22 an example with pulse trains of a laser with a repetition rate of 1 kHz is illustrated.
Again, the green curve shows the laser signal and the violet curve shows the position signals. In figure 21 the laser is running without stabilisation. In figure 22 it is running with the automatic control. In the latter case the position of the steering mirrors is freezed during the laser off times whereby it is refreshed by each signal on the detectors.

Note: For technical reasons, in the operation mode with automatic control the timing for the position freeze and the re-start of the stabilisation is slightly delayed to the on and off times of the laser intensity. This can lead to slight deviations of the stored positions.
Operation with external triggering
In case a trigger signal for the laser on and off times is available, we recommend to choose the operation mode with external triggering. The improved timely correlation with the laser intensity usually leads to a better performance.
Figure 23 shows the example, now with external triggering. In addition to the curves described above you can see now the trigger signal as a blue curve.

As shown in this example, in case of pulse trains there is an advantage not to trigger on each single pulse but on the start and the end of the pulse train. This is recommended for pulse repetition rates of about 300 Hz and higher.
Operation with single laser pulses and external trigger
The use of an external trigger signal also enables the stabilisation of single or irregularly occurring laser pulses or lasers with very low repetition rates.
The performance in such cases is illustrated with an example in figure 24. Here, the position signal of a laser pulsed at 10 Hz is shown as a violet curve. The green curve shows the trigger signal for single laser pulses. At the beginning, the laser beam is at an arbitrary position. The beam stabilisation is started at the time of the fourth laser pulse (counted from the left). In the following course you can see very well that the beam gets closer to the desired position with each pulse until it finally stays in the desired position in a stable manner.
In this example only four additional pulses are required to reach the stable position. Depending on the set-up of the optical system, the pulse duration and the duration of the external trigger signal the number of required pulses can be different.
Note: The time interval for the stabilisation is very short in case of short trigger intervals. Since the Active LED on the front panel of the beam stabilisation system is directly connected to this time interval, it can happen that you will not recognise the shining of the LED due to the short time.

Option: Serial interface (USB, RS-232 or Ethernet)
The optional serial interface allows, amongst others, the following actions:
- the read-out of positions, intensities and Piezo voltages
- the read-out of the status
- switching on and off of the control loop
- the set & hold functionality for current positions. Here, a current position of the laser beam on the detectors is saved and used as the target position for the further stabilisation. This function is especially used in combination with the PSDs as detectors.
- the setting and read-out of parameters as the P factor, the offsets for the Adjust-in target positions on PSDs, the voltages for the Drive actuator function, etc.
- parameter settings for data streams
Only those functions are available, which are also realized in the hardware, i.e. where e.g. the additional electronic circuits are integrated into the control box.
The option includes a software for visualization and communication. You can find detailed information about the software in the separate software manual on our website. For integration of the system with your own software you can further find the description of the communication protocol there. You can also ask us to provide the documents.
Additional inputs and outputs (Options)
Beside the inputs for the detectors and the outputs to the actuators the basic configuration of the Compact beam stabilisation provides the following outputs:
- Position signals x and y of each detector (analog voltage signal -5 to +5 V)
- Adjustment and read-out of the proportional element (P factor) (see section 5.8)
- Status signal (see section 6.4)
Other optional signal outputs or inputs are described in the following sections.
Note: In some cases the arrangement of the connectors on the side panels are changed.
9.1. Voltage offset inputs to move the target position on PSDs (“Adjust-in”)
As described in section 4.2.3 the measurement principle of PSDs allows to move the target position on the detector by means of a voltage offset. The offset values can be applied via the optional serial interface and the software. You can enter values in the voltage range of -5 V … +5 V. Alternatively, we can implement additional analog inputs for the x and y axes of both stages, 1 and 2. These inputs can be used to change the still stabilised beam position by an external source. Figure 25 shows the modified side
panel of the control box with additional inputs Adj1 and Adj2.

| Specification | |
| Description | 2 analog inputs LEMO 3-pin, one for each actuator (x, y) or serial interface |
| Signal | – 5 V … + 5 V |
| Connector, analog | LEMO 0S |
| Cable, analog | LEMO 3-pin → 2x BNC, for each stage, length 2 m, 2 units |
Note: The position vs. voltage characteristics of a PSD is usually not linear. Therefore, a calibration should be performed if the target shall be moved on a desired path.
9.2. Direct drive of Piezo actuators („Drive Actuator“)
As an option for the direct drive of the Piezo actuators (i.e. without feedback from the detectors) we can implement additional input channels to the controller. It is then possible to drive the actuators with an external voltage signal. This option makes use of the integrated 4-channel high-voltage amplifier of the system. The input signal will be converted to a high-voltage signal which is fed to the Piezos.
| Specification | |
| Inputs | 2 inputs LEMO 3-pin, one for each actuator (x, y), – 5 V … + 5 V |
| Outputs / to Piezo actuators | 2 actuator connectors on side panel, LEMO 0S series, 0 V to 130 V |
| Output impedance | 110 Ohm@1 kHz, designed for high capacitive load |
Notes:
- The voltage range of the Piezo actuators is specified as – 45 V to + 180 V.
- We have specified the voltages for the valid range of the green Range LEDs on the control box to values of 9 V to 120 V (max. range 0 – 130 V).
- There is a non-linearity in both, the characteristics of the Piezos and the amplifiers. Therefore the signal will not be fully proportional to the input signal. If you need a precise and absolute position of the steering mirrors (without the control-loop which usually gives the position feedback) you should carry out a calibration of the angles versus voltages.
- It is also possible that the x and y axes of the same Piezo actuator vary strongly.
9.3. Option: External activation
The external activation enables the change of the operation state of the beam stabilisation system with an external signal. The external activation can be independently applied for stage 1 and stage 2 of the stabilisation system. For this purpose, two LEMO connector plugs (series 00) are embedded on the left panel of the control box. The inputs are marked as Ext1 and Ext2.
There are three operation states. The specification of the control signal is as follows:
| Signal (Level: 5V TTL) | Voltage range | Controller status | Reaction of Start/Stop LED |
| H (high) | 2.4 – 5.0 V | Start | on |
| L (low) | 0.0 – 0.8 V | Stop | off |
| Z (high impedance or | Manual mode according to | on/off | |
| not connected) | selection on front panel |
9.4. Intensity outputs at controller
We can add additional intensity voltage outputs at the control box. These outputs are marked with Int1 and Int2 on the side panel of the control box.
| Specification | |
| Description | 2 outputs for laser intensities of detector 1 and 2 |
| Signal | Analog, 0 – 8 V |
| Connector | LEMO 00 |
| Cable (optional) | LEMO 00 → BNC, for each stage, length 2 m, 2 units |
9.5. Range outputs for monitoring applied Piezo voltages
In some applications it can be helpful to know the applied voltage ranges of the Piezos, e.g. to see whether or not the tilting range of the Piezos (and therefore the voltage range) is at its limits. If the Piezo actuators are combined with additional motorized mounts in order to enlarge the overall tilting range, the Piezo voltage can be used as a trigger to drive the motors.
| Specification | |
| Description | 2 outputs LEMO 3-pin, one for each actuator (x, y) |
| Signal | Analog, 0-10 V |
| Connector | LEMO 0S |
| Cable | LEMO 3-pin → 2x BNC, for each stage, length 2 m, 2 units |
Drawings
Drawings of all main components can be found in the respective data sheets. On request, we are pleased to send you the corresponding STEP files.
Cables
11.1. Standard cables
The standard delivery of a Compact laser beam stabilisation system includes all required cables to set up the system and to read out the positions. These are:
| Cable set for a 4-axes system (included in standard delivery) | quantity | length |
| Detector → Controller | 2 | 4 m (including the 4x MCX → LEMO adapter cable) |
| Actuator → Controller | 2 | 2 m (directly mounted to Piezo element) |
| Actuator → Controller (extension) | 1 | 10 m |
| x, y position cable (LEMO → BNC) | 2 | 2 m |
11.2. Additional cables
In addition to these cables we can also offer additional cables or cables with other lengths. The following table shows some examples.
| Other available cables and/or lengths (examples) | Typical lengths |
| Extension cables for detectors (LEMO → LEMO) | 1 m … 25 m |
| Extension cables for actuators (LEMO → LEMO) | 1 m … 25 m |
| Cables for external activation (LEMO → BNC) | 2 m |
| Cables to connect the intensity output (LEMO → BNC) | 2 m |
| Cable for P factor (LEMO → BNC) | 2 m |
| Cables for adjust-in, range output, drive actuator | 2 m |
| (LEMO (3-pin)→ 2x BNC) | |
| Cable for sample&hold circuit “ADDA” (LEMO → BNC) | 2 m |
| USB cable (USB A → micro USB) | 2 m |
If you do not find the cable you need please do not hesitate to contact us.
Troubleshooting
12.1. No signals on display
Please check if the power line chord is connected to a conducting power plug and if the power switch at the controller unit is activated. If everything is okay with the power line, please contact us or your distributor.
12.2. No signals on detector
Please follow the instructions in section 5.4 and check if an aperture or edge is blocking the laser. If the laser beam hits the sensitive area of the detector another reason can be that the chosen filters are too strong. In that case the filters should be exchanged.
12.3. The laser beam is not correctly positioned
Please check the following issues:
i. Is the laser power in the allowed range?
ii. If red Range-LEDs are on:
a. Are all cables connected as described in section 5.2?
b. Is the initial position of the laser beam in an acceptable position? If the initial position has changed strongly the closed-loop control does not work in the linear range any more. Please refer then to section 5.7.
c. Is the direction coding correct?
12.4. The steering mirrors make exceptional noise
Please immediately switch off the system. Irreparable damage to the steering mirrors can occur. Then check the laser power on the detectors and adjust it as described in section 5.4. Make sure that the initial laser beam has not changed strongly and that it hits the detectors. Take care that the beam is not blocked by an aperture or an edge anywhere in the beam path. This could be the case at the cut-out of the Piezo actuator. If a red Range-LED is on, the closed-loop control does not work in the linear range any more. Please refer to section 5.4 then.
12.5. Laser position is not stable
If the automated stabilisation of the laser beam does not work although the controller is active this might be due to a wrong direction coding of the detector inputs (see section 5.6). Please check the direction coding.
Another reason might be an unstable mechanical set-up leading to oscillations of the system. Usually this phenomenon is accompanied by an exceptional humming noise. E.g. high positions of components (especially of those carrying the Piezo elements) can lead to mechanical instabilities. In this case a better stabilisation can be achieved with a lower controller bandwidth. Please activate the bandwidth limitation switch (see section 6.5).
12.6. Permanently red “Range” signal
A “Range” signal that is permanently shining red on the top of the control box may indicate a problem with a high-voltage channel. “Permanently” primarily means that the red LEDs are also shining when the control loop is not activated. This behaviour may be caused by a short circuit in a Piezo element. Usually this has caused the fuse to blow and prevents the further use of the beam stabilisation. Please get in touch with us. We will then clarify in more detail which tests you can perform to determine the cause of the error.
12.7. “Range” signals jump back and forth when switching the direction coding
If a “Range” indicator of a control stage jumps from one extreme to the other (from red to red) when the direction coding is switched (see section 5.6), this indicates that the associated detector is rotated by 90°. In this case, swap the cable connections of x and y at the detector as described in section 5.2.
12.8. System steers the beam away from the centre
If the system keeps trying to steer the beam away from the centre of a detector when the control loop is activated, this could be due to a remaining setting of values for Adjust-in in the software. In this case, delete the corresponding values or switch to “external” in the software.
Safety
The system has left our factory in a faultless state. Please store and operate the system in dry environments in order to maintain this state.
The device fulfills the requirements of the European EMC Directive 2014/30/EU.
Labels
SN: 100208BA123Model: Compact 1kHz cw | SN: 100208DBA4567Model: XY4QD 1kHz MRC Systems GmbH Germany | SN: KBA890Model: P2S30 |
Figure 26: Labels on the controller electronics (left), the detectors (middle) and the actuators (right)
Contact
MRC Systems GmbH
Hans-Bunte-Strasse 10
D-69123 Heidelberg
Germany
Phone: +49 (0)6221/13803-00
Fax: +49 (0)6221/13803-01
Website: www.mrc-systems.de
E-mail: [email protected]
https://www.mrc-systems.de/en/products/laser-beam-stabilization

Manual – Beam Stabilisation System Compact
version 14 – 14-March-2022
www.optoscience.com
TEL: I 03-3356-1064
E-MAIL: [email protected]


SN: 100208BA123
















