
Infrared Thermometer
Operating Manual
Sokware version: 1.5.0
Manual Ver: 1.4
Issuing Date: 2020
Model: AOJ-20B
Introduction
Thank you for purchasing this Forehead & Ear Infrared Thermometer.
Please read the Operating Manual carefully before using the thermometer, and put it in a safe and secure place for reference.
Foreword
The infrared thermometer can be used to read the body temperature by measuring the ea r and forehead temperature, which is suitable for adult and children (ear test mode only for the child above 3 months).
Package Contents
| No. | Name | Quantity |
1 | Infrared Thermometer | 1 |
2 | Pouch | 1 |
3 | Operating Manual | 1 |
| 4 | Quick Start Guide | 1 |
WARNINGS AND PRECAUTIONS
- Keep out of reach of children under 12 years.
- Never immerse the thermometer into water or other liquids (not waterproof). For cleaning and disinfecting, please follow the instructions in the “Care and cleaning” section.
- Never use the thermometer for purposes other than those it has been intended for. Please follow the general safety precautions when using on children.
- Keep the thermometer away from direct exposure to the sun and keep it in a dust-free, dry area, well-ventilated place at a temperature between 10°C ( 50 OF ) – 40OC ( 104°F ). Do not use the thermometer in high humidity environments. (> 95% RH)
- Do not use the thermometer if there are signs of damage on the measuring sensor or on the instrument itself. If damaged, do not attempt to repair the instrument! Please contact your local LifeSmart dealer.
- This thermometer consists of high-quality precision parts. Do not drop the instrument. Protect it from severe impact and shock. Do not twist the industry- mentor the measuring sensor.
- Please consult your doctor if you see symptoms such as unexplained irritability, vomiting, diarrhea, dehydration, changes in appetite or activity, seizure, muscle pain, shivering, stiff neck, pain when urinating, etc., even in the absence of fever.
- Even in the absence of fever, those who exhibit a normal temperature may still need to receive medical attention. People who are on antibiotics, analgesics, or antipyretics should not be assessed solely on temperature readings to determine the severity of their illness.
- Temperature elevation may signal a serious illness, especially in adults who are old, frail, have a weakened immune system, or neonates and infants. Please seek professional advice immediately when there is a temperature elevation and if you are taking temperature for whom are:
♦ Over 60 years of age (Fever may be blunted or even absent in elderly patients)
♦ Having diabetes mellitus or a weakened immune system (e.g., HIV positive, cancer, chemotherapy, chronic steroid treatment, splenectomy)
♦ Bedridden (e.g., nursing home patient, stroke, chronic illness)
♦ A transplant patient (e.g., liver, heal, lung, kidney) - This thermometer is not intended for pre-term babies or small-for-gestational-age babies. This thermometer is not intended to interpret hypothermic temperatures.
Do not allow children to take their temperatures unattended. - Use of this thermometer is not intended as a substitute for consultation with your physician or pediatrician can.
- Clean the thermometer probe after each use.
- Do not use the thermometer on newborns or for continuous temperature monitoring purposes.
- Do not take a measurement while or immediately after nursing a baby.
- Patients should not drink, eat, or be physically active before/while taking the measurement.
Product Description
Overview
- Infrared Thermometer measures the body temperature based on the infrared energy emitted from the eardrum or the forehead. Users can quickly get measurement results after positioning properly the temperature probe in the ear canal or forehead.
Normal body temperature is a range. The following tables show that this normal range also varies by site. Therefore, readings from different sites should not be directly compared. Tell your doctor what type of thermometer you used to take your temperature and on what part of the body. Also bear this in mind if you are diagnosing yourself.Measuring part Normal temperature range Forehead temperature 36.1°C – 37.5°C (97°F – 99.5°F) Ear temperature 35.8OC – 38°C (96.4°F -100.4OF) Oral temperature 35.5°C – 37.5°C (95.9°F – 99.5°F) Rectal temperature 36.6OC – 38°C (97.9°F – 100.4°F) Axillary temperature 34.7OC – 37.3°C (94.5°F – 99.1°F)
Structure
The device consists of an enclosure, button, a temperat- ure sensor, Infrared temperature-measuring element, microcomputer controlled circuit, LCD, backlight and a buzzer.
Operating principle
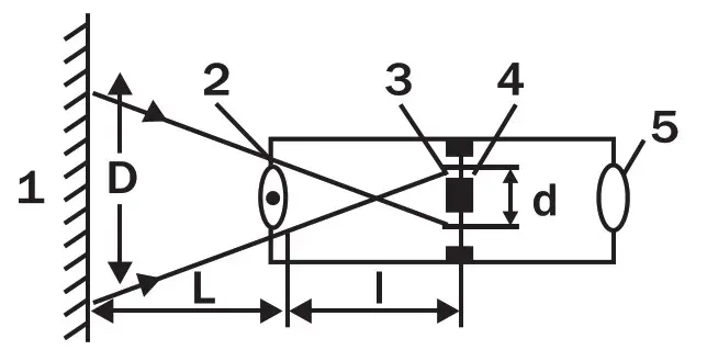
The infrared thermometer‘s working principle is based on the fourth-power law: infer objects’ radiation temperature by measuring objects’ radiation infrared energy. Thermopile sensors can convert infrared energy into thermoelectricity, and output as a detected signal after signal processing.
1-Subject 2-Object lens 3-Heat plate 4-ThermocoupIe 5-Eye Len
Figure 1
The infrared temperature sensor detects infrared energy emitted by the eardrum. A built-in lens focus- es the collected energy, which is then converted into a temperature reading by the thermopiles and measurement circuits.
Indications for use
The infrared thermometers that human body temperature via the eardrum or forehead. The forehead mode is indicated for people of all ages and the eardrum mode is indicated for people above three months old. It applies to both professional use and home use.
Contraindications
Do not use the thermometer if the ear is infected with otitis or suppuration.
Features
- Age classification (3 months-6 years, 6 years-12 years, above 12 years) makes it more accurate for your child
- AMS™ technology (Patent): automatic mode switch between forehead & ear mode
- Magnetic probe cover makes it more convenient to use
- With super large screen display current and previous readings
- Multi-functional, can measure both ear and forehead
- Accurate: clinically accurate algorithm with three-stage calibration
- 40 sets of memories, switching between mute and un-mute mode
- Audio and visual fever warning
- Switching between °C and °F
- Auto shut-down and power-saving
- LCD four-color backlight temperature indication

Product Structure
- LCD display screen
- Age classification
(1): 3 months-6 years
(2): 6 years-12 years
(3): above 12 years - Mode/Memory button
- Measure/Mute-unmute button
- Probe cover (take it off when measuring ear temperature)
- Probe
- Battery cover
- LED light (the light is on in forehead mode)
Display description
- Adult forehead mode (above 12 years)
- Child forehead mode (3 months-6years, 6years-12years)
- Ear mode
- Object mode
- Fahrenheit/ Celsius degrees
- Previous temperature value
- Low battery indication
- Mute/Un-mute icon
- Current temperature value
How to use your thermometer
In order to avoid the inaccuracy:
- Please ma he sure that the device will be used indoors away from strong wind.
- Please make sure that there is no intense emotion and movement before measuring.
- If the device is transferred from one condition to another, which has a different ambient temperature, it is suggested to deposit for more than 30 minutes.
- If the tester is transferred from one condition to another, which has a different ambient temperature, it is suggested to have a rest for more than 10 minutes.
- Do not hold the device for a long time, as it is highly sensitive to heat. The device has undergone clinical tests, it is safe and accurate when used in accordance with the operation manual.
Take your forehead temperature
- When using the thermometer for the first time, please load the batteries.
- Press and release the Measure/Mute-unmute button in one second to power on and LED light will be on.
- Use the toggle switch to choose age classification ((1):3 months-6 years, (2) 6yeais-12years,(3): above 12 years).
- Then point the temperature probe at the center of the forehead, with a distance of 0-3 cm(0-1.18 inches).
- Press and release the Measure/Mute-unmute button in 1 second. The beep is heard, you can now read the value.
NOTE: The forehead measurement is active reading. The measured forehead temperature can fluctuate up to 1 °F/0.5 °C from your actual body temperature. Please be aware of the factors that influence the accuracy as described in the section “Temperature taking tips” and “WARNINGS AND PRECAUTIONS” .
If the forehead area is covered with hair, sweat or dirt, please clean the area beforehand to improve the reading accuracy.
Always check if the lens is clean.
Always make sure the user and the thermometer are in the same room for at least 30 minutes prior to the measurement.
Take your ear temperature
- Press the Measure/Mute-unmute button to power
- Take off the probe
Then fit the probe snuggly into the ear canal. - Press and release the Measure/Mute-unmute button in 1 second, the beep is heard, you can now read the value.
Please make sure that the ear is clean, with no earwax or obstructions.
The reading from the right ear may differ to left ear. Therefore, always take readings from the same ear.
Note:
Children under 1 year: Pull the ear straight back.
Children aged 1 year to adult: Pull the ear up and
Do not force the thermometer into the ear canal. Otherwise, the ear canal may get injured.
When taking the temperature on an adult, gently pull the ear up and back to make sure the ear canal is straight, so that the temperature probe can receive an infrared ray from the eardrum.
Be careful when taking the temperature on a child, whose ear canal is small.
After a measurement
Once the reading has been completed, remove the thermometer away from the forehead/ear and observe the temperature.
After each measurement, you can enter the recall mode and query earlier temperature readings.
Do not hold the thermometer for a long time, because it is sensitive to the ambient temperature.
After each measurement, clean the temperature probe with a soft cloth and put the thermometer in a dry and well-ventilated place.
You should wait at least 10 seconds between each measurement.
It is dangerous to make a self-diagnosis or self-treatment based on the obtained measurement results. For such purposes, please consult a doctor.
Read your temperature
T indicates a temperature reading.
- In forehead or ear mode.
If 32°C
T
37.5°C (89.6°F6
T
99.5°F), the green light will be displayed, with one long beep.
If 37.6°C
T
38.0°C (99.7° F
T
100.4° F), the orange light will be displayed with 6 short beeps, which is a warning that you may have a low fever If 38.1OC
T
42.9°C (100.6° F
T
109.2°F), the red light will be displayed with 6 short beeps, which is a warning that you may have a high fever. - If OOC
T
100°C (32.0°F
T
199.0OF), the white light will be displayed with one long beep.
Switching between mute and un-mute
When the thermometer is turned on, keep pressing the Measure/Mute-unmute for 5 seconds, to switch from un-mute to mute.
Checking 40 sets of memory data
When the thermometer is turned on, keep pressing the Mode/ Memory button for 5 seconds to go to the memory mode, press this button again to check the 40 sets of memories one by If no value, it will display “—” .
°C/°F conversion
Open the battery cover, use the toggle switch to change the °C/°F.
Automatically turn off
The unit will shut down automatically after 13 seconds of no use.
Caution
All memory is lost when replacing batteries.
Replace the battery.
Put two AAA bakeries correctly into the companion.
Remove the batteries if the thermometer will not be used for more than two months.
Temperature taking tips
- It is important to know each individual ‘s normal temperature when they are well. This is the only way to accurately diagnose a fever. Record readings twice a day (early morning and late afternoon). Take the average of the two temperatures to calculate normal oral equivalent temperature. Always take the temperature in the same location, since the temperature readings may vary from different locations on the
- A child ‘s normal temperature can be as high as 9°F ( 37.7°C ) or as low as 97.0OF ( 36.1°C ). Please note that this unit reads 0.5°C (0.9°F) lower than a rectal digital thermometer.
- External factors may influence ear temperatures, including when an individual has:
♦ been lying on one ear or the other
♦ had their ears covered
♦ been exposed to very hot or very cold temperatures
♦ been recently swimming or bathing
In these cases, remove the individual from the situation and wait 20 minutes prior to taking a temperature. Use the untreated ear if prescription ear drops or other ear medications have been placed in the ear canal. - Holding the thermometer for too long in the hand before taking a measurement can cause the device to warm up. This means the measurement could be incorrect.
- Patients and the thermometer should stay in steady-state room condition for at least 30 minutes.
- Before placing the thermometer sensor onto the forehead, remove dirt, hair, or sweat from the forehead area. Wait 10 minutes after cleaning before taking measurement.
- Use an alcohol swab to carefully clean the sensor and wait for 5 minutes before taking a measurement on another patient. Wiping the forehead with a warm or cool cloth may impact your reading. It is advised to wait 10 minutes before taking a reading.
- In the following situations it is recommended that 3-5 measurements in the same location are taken and the highest one taken as the reading:
• Newborn infants in the first 100 days.
• Children under three years of age with a compromised immune system and for whom the presence or absence of fever is critical.
• When the user is learning how to use the thermometer for the first time until he/she has familiarized himself/herself with the instrument and obtains consistent readings.
Care and cleaning
Use an alcohol swab or cotton swab moistened with 70% alcohol to clean the thermometer casing and the measuring probe. After the alcohol has completely dried out, you can take a new measurement.
Ensure that no liquid enters the interior of the thermometer. Never use abrasive cleaning agents, thinners, or benzene for cleaning, and never immerse the instrument in water or other cleaning liquids. Take care not to scratch the surface of the LCD screen.
Error and Troubleshooting
| Symptom | Possible Cause | Description & Solution |
| Failed to power on | The battery level is too low. | Replace with new batteries. |
| Polarities of the batteries are reversed. | Ensure the batteries are in the right position. | |
| The thermometer is damaged | Contact local LifeSmart dealer. | |
| The reading is too low | The lens of the probe is dirty. | Clean the lens with a cotton swab. |
| The distance of the item and target is too far | Keep in contact with forehead or put the probe into the Ear Canal. | |
| You have just come from a cold environment | Stay in a warmer room for at least 30 minutes before taking a reading | |
| The reading is too high | You have just come from a hot environment. | Stay in an adequately cool room for at least 30 minutes before taking a reading |
![]() | The ambient temperature is not in range. | One long beep, and red backlit for 3 seconds. Take a measurement under an ambient temperature between 10°C (50.0°F) and 40°C (104°F). |
![]() | Memory error or calibra- tion is not finished. Item will be turned off autom- atically after 3 seconds. | One long beep, and red backlit for 3 seconds. Contact local LifeSmart dealer. |
| Symptom | Possible Cause | Description & Solution |
![]() | In ear or forehead mode, T >42.9°C (109.2° | One long beep, the screen will be displayed in red. |
![]() | In ear or forehead mode, T < 32°C(89.6°F) In object mode, T< 0°C (32°F) | One long beep, the screen will be displayed in red. |
![]() | The power voltage is between 2.4V-2.7V | The battery icon will flicker, it means the battery is low, but you still can use the thermometer. |
![]() | The power voltage is lower than 2.4V | The battery icon will flicker, the item will be turned off automatically after 3seconds. Please replace with new batteries. |
Technical Specifications:
| Product name | Forehead & Ear Infrared Thermometer | |
| Applicable regulations and laws | ASTM E 1965-98 (Re-approved 2016) Standard Specification for Infrared Thermometers for Intermittent Determination of Patient Temperature | |
| ISO80601-2-56 First Edition 2009-10-01 Medical Electrical Equipment – Part 2-56: Particular Requirements For Basic Safety And Essential Performance Of Clinical Thermometers For Body Temperature Measurement. (General Plastic Surgery/General Hospital) | ||
| Display | Segment LCD screen, Four color LED backlight (white, green, orange, red) | |
| Temperature units | °C /°F, switchable | |
| Power supply | DC 3V, AAAX2 | |
| Measurement range | Forehead & Ear: 32.0°C—42.9°C (89.6°F—109.2°F) | |
| Object: 0°C—100°C (32°F—199°F) | ||
| Accuracy (Laboratory) | Ear & Forehead mode | ± 0.2°C/:»0.4 °F |
| Object mode | ±1.0°C / 2.0°F | |
| Display resolution | 0.1°C/°F |
| Automatic | 13s±1s |
| Shutdown Memory | 40 groups of measured temperature. |
| Operational conditions | Temperature:10°C-40°C(50°F-104°F) Humidity: 15-95%RH, non-condensing Atmospheric pressure:70-106kPa |
| Storage condition | Ambient Temperature: -20°C-55°C(-4°F-131°F) Relative Humidity: 0-95% RH, non-condensing Atmospheric pressure: 50kPa to 106kPa |
| Battery | 2*AAA, can be used for more than 3000 times (approx.) |
| Weight & Dimension | 75g (without batteries), 163.5x40x41mm |
Symbols:
Symbol | Description |
![]() | Type BF applied part. |
![]() | Information about a manufacturer. |
![]() | Please read the instructionscarefully. |
![]() | Waste electrical materials should be sent to a dedicated collection point for recycling. |
SN | Serial number |
LOT | Batch number |
![]() | IMPORTANT Inaccurate reading or thermometer damage may occur if the thermometer is not correctly used. |
IP22 | 1. Protected against solid foreign objects of 12.5mm B and Ø greater; 2. If thermometer is kept at a 15 degree angle, it can prevent the water drop. |
Appendix: EMC information-Guidance and manu- facturer‘s declarations
CAUTION:
- The Infrared Thermometer needs special precau- tions regarding EMC and needs to be installed and put into service according to the EMC information provided for in the ACCOMPANYING DOCUMENTS.
- Portable and mobile RF communications equip- ment can affect Infrared Thermometer
- The Infrared Thermometer should not be used adjacent to or stacked with other equipment. Guidance and manufacturer “s declaration — electromagnetic emission —for all EQUIPMENT AND SYSTEMS
| Guidance and manufacturer“s declaration — electromagnetic emission | ||
| The Infrared Thermometer is intended for use in the electromagnetic environment specified below. The customer or the user of the Infrared Thermometer should assure that it is used in such an environment. | ||
| Emissions | Compliance | Electromagnetic environment – guidance |
| test RF emissions CISPR 11 | Group 1 | The Infrared Thermometer uses RF energy only for its internal function. Therefore, its RF emissions are very low and are not likely to cause any interference in nearby electronic equipment. |
| RF emissions CISPR 11 | Class B | The Infrared Thermometer is suitable for use in all establishments, including domestic establishments and those directly connected to the public low-voltage power supply network that supplies buildings . used for domestic purposes. |
Guidance and manufacturer’s declaration — electromagnetic immunity —for all EQUIPMENT and SYSTEMS
| Guidance and manufacturer“s declaration — electromagnetic immunity | |||
| The Infrared Thermometer is intended for use in the electromagnetic environment specified below. The customer or the user of the Infrared Thermometer should assure that it is used in such an environment. | |||
| Immunity test | IEC 60601 test level | Compliance level | Electromagnetic environment- guidance |
| Electrostatic discharge (ESD)IEC 61000-4-2 | ±8 kV contact ±15 kV air | ±8 kV contact ±15 kV air | Floors should be wood, concrete or ceramic tile. If floors are covered with synthetic material, the relative humidity should be at least 30 %. |
| Power frequency (50/60Hz) magnetic field IEC 61000- 4-8 | 30 A/m | 30 A/m | Power frequency magnetic fields should be at levels characteristic of a typical location in a typical commercial or hospital environment. |
Guidance and manufacturer“s declaration — electromagnetic immunity —for EQUIPMENT and SYSTEM that are not LIFE SUPPORTING
| Guidance and manufacturer“s declaration — electromagnetic immunity | |||
| The Infrared Thermometer is intended for use in the electromagnetic environment specified below. The customer or the user of the Infrared Thermometer should assure that it is used in such an environment. | |||
| IEC 60601 Test level | Compliance Level | Electromagnetic environment – guidance | |
| Radiated RF IEC 61000-4-3 | 3 V/m 80 MHz to 2.5 GHz | 10V/m | Portable and mobile RF communications equipment should be used no closer to any part of the Infrared Thermometer, including cables, than the recommended separation distance calculated from the equation applicable to the frequency of the transmitter. Recommended separation distance Where p is the maximum output power rating of the transmitter in watts (W) according to the transmitter manufacturer and d is recommended separation distance in meters (m).bField strengths from fixed RF transmitters, as determined by an electromagnetic site survey, should be less than the compliance level in each frequency range. Interference may occur in the vicinity of equipment marked with the following symbol: |
NOTE 1 At 80 MHz and 800 MHz, the higher frequency range applies. NOTE 2 These guidelines may not apply in all situations. Electromagnetic is affected by absorption and reflection from structures, objects, and people.
a. Field strengths from fixed transmitters, such as base stations for radio (cellular/cordless) telephones and land mobile radios, amateur radio, AM and FM radio broadcast and TV broadcast cannot be predicted theoretically with accuracy. To assess the electromagnetic environment due to fixed RF transmitters, an electromagnetic site survey should be considered. If the measured field strength in the location in which the Infrared Thermometer is used exceeds the applicable RF compliance level above, the Infrared Thermometer should be observed to verify normal operation. If abnormal performance is observed, additional measures may be necessary, such as re-orienting or relocating the Infrared Thermometer. b. Over the frequency range 150 kHz to 80 MHz, field strengths should be less than 3 V/m.
Recommended separation distances between portable and mobile RF communications equipment and the EQUIPMENT or SYSTEM -for EQUIPMENT and SYSTEMS that are not LIFE-SUPPORTING
| Recommended separation distances between portable and mobile RF communications equipment and the Infrared Thermometer. | |||
| The Infrared Thermometer is intended for use in an electromagnetic environment in which radiated RF disturbances are controlled. The customer or the user of the Infrared Thermometer can help prevent electromagnetic interference by maintaining a minimum distance between portable and mobile RF communications equipment (transmitters) and the Infrared Thermometer as recommended below, according to the maximum output power of the communications equipment. | |||
| Rated maximum output power of transmitter W | Separation distance according to frequency of transmitter m | ||
![]() | 80 MHz to 800 MHz | 800 MHz to 2,5 GHz | |
| 0.01 | ⁄ | 0.12 | 0.23 |
| 0.1 | ⁄ | 0.38 | 0.73 |
| 1 | ⁄ | 1.2 | 2.3 |
| 10 | ⁄ | 3.8 | 7.3 |
| 100 | ⁄ | 12 | 23 |
| The Infrared Thermometer is intended for use in an electromagnetic environment in which radiated RF disturbanœs are œntrolled. The customer or the user of the Infrared Thermometer can help prevent electromagnetic interference by maintaining a minimum distance between portable and mobile RF communications equipment (transmitters) and the Infrared Thermometer as recommended below, according to the maximum output power of the communications equipment. | |||
Warranty and After-Sale Service
The device is under warranty for 12 months from the date of purchase. The batteries, the packaging, and any damage caused by improper use are not covered by the warranty. Excluding the following user-caused failures:
- Failure resulting from unauthorized disassembly and modification.
- Failure resulting from an unexpected dropping during application or transportation.
- Failure resulting from not following the instructions in the operating manual.
Manufactured by:
Shenzhen AOJ Medical Technology Co., Ltd
Add: 601, 6th floor, B2 Building, An’le Industrial Park,
#172 Hangcheng Avenue, Sanwei Community,
Hangcheng street,Bao’an, Shenzhen, China

Share Info Consultant Service LLC Repräsentanzbüro
Address: Heerdter Lohweg 83, 40549 Düsseldorf
Manufactured for Genesis Biotech Pty Ltd QLD, Australia
Made in China
LifesmartTM is a registered trademark of Genesis Biotech Pty Ltd.


Contact Us:
Australia & NZ
Genesis Biotech Pty Ltd QLD,
Australia Lifesmart’M is a registered trademark of Genesis Biotech Pty Ltd.
Ph: 1300 110 155
Email: supportBmylifesmart.net.au
India
Lifesmart Healthcare Pvt. Ltd
F-409, Phase-8B, lndl. Focal Point. Mohali 160062 India
Email: support&myIifesmart.net


NOTE: The forehead measurement is active reading. The measured forehead temperature can fluctuate up to 1 °F/0.5 °C from your actual body temperature. Please be aware of the factors that influence the accuracy as described in the section “Temperature taking tips” and “WARNINGS AND PRECAUTIONS” .












Where p is the maximum output power rating of the transmitter in watts (W) according to the transmitter manufacturer and d is recommended separation distance in meters (m).b




















