JAMARA EPBL 24 GHz Splinter Desertbuggy

Jamara e.K. is not liable for any damage caused to the product itself or through this, provided this is due to improper operation or handling errors. The Customer alone bears the full responsibility for the proper use and handling, including without limitation, the assembly, the charging process, the use and choice of the operation area. This model is not a toy.
Warning
Keep away necessarily from children. Contains small parts which can be swallowed. RISK OF SUFFOCATION! Not suitable for children under 36 months. This product is a model building article. This means that the vehicle must always be serviced (check for damage, check screw connections, clean etc. Wear parts such as the main gear, motor pinion, bone socket, etc. will wear out over time and must therefore be replaced. Crashes cannot always be avoided, so crash damage must also be repaired or replaced. Wear parts or defective parts due to crashes or insufficient maintenance are not covered by warranty, costs and repairs must be covered by the buyer himself.
Certificate of Conformity
Hereby JAMARA e.K. declares that the products „Splinter EP | BL 2,4 GHz, No. 053270, No. 053271, No. 053275“ comply with Directives 2014/35/EU, 2014/53/EU and 2011/65/EU. The full text of the EU Declaration of Conformity is available at the following Internet address: www.jamara-shop.com/Conformity.
Attention
Before operating: Switch the transmitter on first then the model. When finished: First switch off the model then the transmitter. Never operate your model beyond sight. Both the maximum visibility as well as the max. range of your model will dep end on many factors such as weather, location and interfering frequencie. Therefore, before each use perform a range test with a second person securely holding the model and also check how the model reacts if there is a signal failure e.g. when empty transmitter batteries are installed.
Box contents

- Model
- Transmitter
- Antennas
- Clip for spring tension
- Binding Plug
- Battery LiPo (053271/053275)
- Charger LiPo
- Battery NiMh (053270)
- USB Charger NiMh
Accessories
- Transmitter: 4 x AA 1,5V, No. 140267 4 pieces
Technical data
- Dimensions:~ 410 x 270 x 156 mm
- Weight:~ 2519,4g (No. 53270/053271)~ 2430,2g (No. 053275)
- Battery: NiMh 7,2 V 2000 mAh (No. 053270)
- LiPo 7,4 V 5000mAh (No. 053271 / 053275)
- Motor: 270 W (No. 053270 / 053271) 420 W 3200 KV (No. 053275)No responsibility is taken for the correctness of this information.
You have purchased a RTR model, which means it should be ready for immediate use after charging all batteries. You need to check the car, electronics and all plastic parts after each use to make sure no parts are damaged. Also all the moving parts must be checked for their clearance, bolts and screws that they are tight.
Charging process
NiMh Charging process (053270)

Connect the USB charger to a USB port. We recommend a USB adapter (2A) for the grounding receptable. USB ports of computers and laptops usually cannot provide sufficient current to charge the battery. The LED on the charger lights up green. Connect the USB charger to the NiMh drive battery. The red LED of the USB charger signals the charging process. If the plug of the charger and the plug of the drive battery do not match, a charging adapter is included with your model. When the battery is fully charged, the LED lights up green. Make absolutely sure that the charging time is not exceeded. Do not charge any batteries other than the NiMh battery supplied. The average charging time for the empty NiMh battery supplied is approx. 6 – 8 hours. If the LED flashes, there is a fault. Please contact the customer service.
Caution
Only charge suitable battery‘s with this charger. Suitable battery‘s are Nickel metal hydride battery‘s with max. 6 cells, max. 7,2 V nominal voltage and max. 2000mAh. The battery must have a tamiya plug. The charging of unsuitable battery‘s can cause damage to the charger and the battery‘s. Fire Hazard! The charging connection of the charger is not allowed to get altered or soldered to a different balancer plug type.
LiPo Charging process (053271 / 053275)
Important notes on the suitability of the battery
Make sure to use only lithium polymer batteries with XH balancer connector. Only these may be used with the charger. Other connections and battery types must not be used fire hazard due to reverse polarity or overcharging may result. Please contact the manufacturer of your battery to find out whether your battery is suitable. Only LiPo batteries with a capacity of at least 1600mAh must be used (otherwise there is a risk of fire due to excessive charging current). If you use batteries with a capacity below 1600mAh, the batteries must be approved for a charging current of 1600mA (Speedcharging). Please ask the manufacturer of your battery if your battery meets these requirements. You may only connect one single battery to the charger at a time. Charging 2 batteries at the same time is NOT allowed and will cause damage to the battery or charger fire hazard.
Technical data
- Power Slot 100 – 240 V.
- 2S Balancer.
- 3S Balancer Not required for this model.
- Status LEDs.

![JAMARA EPBL 24 GHz Splinter Desertbuggy 5]](https://static-data1.manualsee.com/1/img/289/3707501/2022/07/JAMARA-EPBL-24-GHz-Splinter-Desertbuggy-5.jpg)
Charging a battery
- Plug the power cord of the charger into a suitable socket. The LEDS light up green and indicate that the charger is ready for charging.
- Now connect the empty battery to the charger. 7.4V 2S batteries to the 3 pin connector or 11.1V 3S batteries to the 4 pin connector. Do not use force and pay attention to reverse polarity. The LEDs change to red after a few seconds and indicate that the battery cells are charging.
Attention
When connecting a 2S battery, only the first 2 LEDs (Cell1-2) change to red, LED 3 (Cell 3) will remain green. When 3S batteries are connected, all LEDs are red Cell13. As soon as a the battery cell is full, the corresponding LED changes to green. Because the cells are charged individually in a balanced way, it is possible that one cell is fully charged earlier than the others. Always leave the battery on the charger until all connected cells are fully charged green to allow the charger to balance your battery.
Detecting a full battery.
When you connect a full battery to the charger, the LEDs will turn red for a few seconds and then turn green again. This means that the battery is already fully charged.
Detecting a defective battery.
If the LEDs remain green when an empty battery is connected, there is a defect in the battery (cell defect or deep discharge). In this case, immediately disconnect the battery from the charger and use another battery.
Danger
Always disconnect the battery from the charger immediately after charging. Always disconnect the charger from the power supply immediately after disconnecting the battery. Inserting the rechargeable battery or charger after charging will result in damage to the battery, charger or the power supply fire hazard.
Inserting batteries into the transmitter

Put 4 AA Batteries into the Transmitter.
Battery warning
- Non rechargeable batteries are not to be recharged.
- Do not open.
- Do not dispose of in fire.
- Do not mix old and new batterie.
- Do not mix alkaline batteries, standard carbon-zinc or rechargeable batteries.
- Rechargeable batteries are to be removed from the toy before being charged.
- Rechargeable batteries are only to be charged under adult supervision.
- The supply terminals are not to be short circuited.

Put the battery into the battery holder in the vehicle. Make sure that the battery holder is scured properly with the 2 included clips for the battery holder. Now connect the battery to the speed control in the model. If the plug of the speed control and battery do not match, then you will find a connection lead in your box Turn the radio on and make sure all the trim buttons on the transmitter are in neutral position. Keep the car in the air in case that the motor turns at full power. Switch the speed control on the On / Off switch. We encourage you now to activate your receiver‘s built-in Failsafe unit. On delivery it is turned off. If this is your first rc car, we recommend to drive it on a small test track to familiarise yourself with the control of the vehicle and the controls of the transmitter.
Danger
Always switch off the model immediately after each use. Immediately after each use the battery should be disconnected from the model. The battery can be deeply discharged by leaving it switched on accidentally or leaving it plugged in. Deep discharge causes the battery to lose power or can be damaged to such an extent that charging or discharging is no longer possible or the battery can self ignite during charging or discharging (fire hazard). Never attempt to charge or discharge deep-discharge batteries. The voltage of the LiPo batteries should never be under 6 volt and the NiMh battery never under 4 Volt to avoid a depth discharge. The fully charged LiPo battery has a voltage of approx. 8,4 Volt and the NiMH battery 8,5 Volt. After usage, the intact battery has to be fully charged after a cooling phase of at least 10 min but not longer than 12 hrs. This is to avoid a deep discharge caused by a self-discharge. When not using or storing the battery´s it has to be checked at least every three months for voltage. For LiPo min 8 Volt, for NiMh
min. 7,4 Volt or damage and if necessary charged or disposed.

Attention
Your vehicle has a pivot front suspension. This has a number of advantages. It is very robust and easy to maintain. The set up of the car has been done so the drive shaft will not pop out. As with any model, screws and bolts can losen during break in of the car. This can result in tolerance of the drive shaft. The drive shaft can then pop out if high pressure is applied. The inner ball screw item No 505081 will enable you to adjust the tolerance resulting in fine adjustments of the track width. For best results when
setting up the pivot ball for the first time, please always adjust the upper and lower pivot in the same way. Fasten as far as the pivot can still be pulled up and down easyly but not as far that it will pop out if you give full steering angle. The outer plastic socket screw item No.: 505080 is only used for securing of the steering knuckle. This should not be too tight, otherwise the steering is not smooth and the handling can be adversely affected.
The front and rear bone pan absorbs most of the motor‘senergy and directs it to the front and rear axles. Therefore the hexagon socket screws which hold the bone pans on the
transmission output shafts must be checked and, if necessary tightened before the first use and in regular intervals e.g 5-7 uses. Insert a rubber ring to the front and the back connection cup. Please check the tolerance of the drive shaft. The tolerance should be approx. 1 – 2mm. You may have to move the connection cups to adapt the tolerance. Therefore you need to loosen the grub screws to adapt the connection cup. Afterwards tighten the grub screws. If not, the connection cups will move on the gear output shaft. That might cause the connection cup and the middle drive shaft to get damaged.
Transmitter 2,4 GHz 2CH


GB Controls
- Programming Box
- Steering Wheel
- Throttle Lever
- Battery Hatch
- Charge Socket
- Simulator Cable Socket. If charging the batteries via the charging socket the battery hatch cover should be removed to ensure sufficient cooling.
Programming Panel
- A. Steering Reverse (changed)
- B. Power LED
- C. Steering Trim
- D. ON/OFF Switch
- E. Throttle Reverse (changed)
- F. Power Check
- G. Binding Button
- H. Dual Rate (maximum steering deflection)
- I. Throttle Trim

Trim
If the wheels do not point straight forward even though the steering wheel on the transmitter is in neutral, you can adjust it with the trim button on the transmitter.Trim L/R steering should the wheels rotate forward or backward, even though no command was given through the transmitter, then also the throttle needs to be trimmed on the transmitter. Trim V/R = forward/backward Insert the batteries. Remove the battery compartment cover. Fit the 4 x AA batteries, observe the correct polarity. Replace the battery hatch.
Binding the receiver to the transmitter

In the delivery state, the transmitter is already bound to the receiver. If the model does not respond to the transmitter, try binding it again. For this purpose, proceed as follows
Put the battery into the model. Now connect the battery to the speed control in the model. Plug the binding plug (included) into the channel 3 socket on the receiver. Switch the receiver system on. The receiver LED will begin to flash indicating that the receiver is in bonding mode. Press and hold down the binding button on the transmitter whilst switching it on. The transmitter will begin to flash indicating that the receiver is in bonding mode. Release the binding button on the transmitter and turn off the controller. Release the binding plug from the receiver. Switch of the transmitter. And remove the binding wire. The system be bound at the next start. If the receiver fails to bond or does not function after bonding repeat the above procedure until a successful bonding is achieved. We encourage you now to activate your receiver‘s built-in Failsafe unit. On delivery it is turned off. Mount the 2.4 GHz antenna vertically as shown in the diagram. Do not allow any metal object to come into contact with the antenna or to shield it as this will reduce the range.
How to setup the fail safe function
- The instruction of function the function of protection of losing control is mainly for r/c boats and cars and keeps them away from damage through throttle channel. When the receiver is out of control signal, the receiver of throttle will automatically return to the initial position which set up before starting to avoid the error action.
- How to set the function
- Switch on the transmitter power and enter into the working condition
- Connect the receiver with power and enter into the working condition, the signal light on receivewill blink all the time.
- Control the throttle of transmitter and keeps the servo or ESC in the neutral position.
- Press the setting button, the LED will be flash for 3 seconds.
- Release the setting button. The setting is finished.
- Testing
- Switch on the transmitter and enter the working condition.
- Contact the receiver with power and enter the working condition.
- Turn off the power of transmitter.
- The throttle of servo will be set automatically.
- Finish these steps above means the setting is ok.
Controller (installed) Version EP
Technical Data
- Operating Voltage 7,2 – 7,4 V
- Battery Pack 2 Lipo | 6 NiCd/NiMh Cells
- Internal Resistance Fwd: 0.002 Ohm, Bwd: 0.004 Ohm
- BEC Voltage BEC 2A/5V (Linear mode BEC)
- Intended use RC-Car 1:10
- Protection Circuit Under voltage cut off
- Continuous load 40 A
- Size ~ 45 x 32 x 26 mm

If you want to disable the backward function just set the jumper to disable. If the jumper is set to enable the backward function is enabled.

This regulator has two battery modes which will be set with jumpers. If you are using a Lipo battery this jumper has to be set to Lipo. This function protects the lipo battery against deep discharge and possible damage due to deep discharge! At a threshold voltage of 6 V total the esc switches autom. off to safe the battery from under voltage. If you are using a NiMH battery this jumper has to be set to NiMh. The controller allows a voltage less than 6 V down to 4 V.
WARNING
Your controller is Splash proof. Not waterproof. Avoid puddles that are higher than the controller is installed in the vehicle. Do not get the model under water. After each ride in the wet, the complete controller must be thoroughly dried and lubricate the mechanical components. Damage caused by improper use overload or lack of maintenance is
not covered under warranty.
Using your controller
To operate the ESC, proceed as follows
- Switch on your transmitter and ensure that the throw for the throttle channel is in the middle.
- Ensure that the receiver switch is in the OFF position and connect a battery pack ensuring the correct polarity + and –
- Switch the receiver system ON.
- Once a battery is connected the system is ‘live‘ and extreme caution must be exercised to prevent injury due to the motor suddenly starting to turn.
- Do not connect the battery pack until directly before operating the model and disconnect the pack immediate after use.
- Conduct a range test before running the model for the first time.
- This test should be carried out at full, half and low throttle and if the servos jitter or make uncontrolled movements do not operate the model until the reason for the interference has been established and corrected.
- When the vehicle is being driven forwards, pulling the throttle back past the neutral position will cause the vehicle to brake.
- To make the vehicle then reverse, the throttle stick must first be moved back to the neutral position for a short period and then the model will reverse.
- If you want to disable the backward function just set the jumper to disable.
- If the jumper is set to enable the backward function is enabled.
Configuring your controller
The speed controller automatically calibrates itself to the transmitter signal. For this, the trim button of the gas channel at the transmitter is in the middle. Turn on the transmitter and then the speed controller. The speed controller signals the calibration with a short melody and is ready for use. In case the speed controller has no clear signal or the trim control is not set to neutral, the speed controller will not initialize. When using the controller please observe the following safety notes
- Use only batteries which not exceed the max. operating voltage 2 Lipo cells 6 NiCd/NiMh cells.
- Allow the ESC to cool down completely before operating it again.
- Remove the battery from the model when not in use.
- Always switch off the receiver first and then the transmitter.
- On switching on, switch on the transmitter first and then the receiver.
- Only use top quality cables and connectors.
- Make sure that the ESC is adequately cooled and never wrap the unit in anything that insulates.

Controller (installed) Version BL
Technical data
- Max. Current 60 A.
- Burst Current 390 A Internal Resistance 0,0012 Ohm For Use With Cars or Trucks scale.
- Battery packs max. 2 LiPo cells.
- BEC Voltage 6,0 V.
- BEC Current 3A.
- Motor Types Sensorless Brushless motors.
- Protective Circuits Temperature cut off.
- Size ~ 48,5 x 38 x 32 mm with fan
- Weight 90 g without cable.
- Programmable 5 Programming steps Break, Low Voltage, Start Mode etc.
Using Your ESC

Connecting the Receiver, Battery Pack and Motor
Connect the ESC, motor, receiver, battery and servo according to the diagram. Ensure that you observe the correct polarity of the battery pack. The red cable should be connected to the + Plus Pole and the black cable to the – Minus Pole. The #A, #B and #C plugs are connected to the motor. The SET button initiate the pro- gramming mode. The ESC should be plugged into the throttle channel of your re- ceiver which is normally channel 2. If in doubt, check your Radio- Control System’s instructions. The 3 Motor wires #A #B’und #C can now be connected, these connectors can be plugged in any order, and if the motor rotates
in the wrong direction any 2 of the wires should be swapped.
Note
You can use the servo reverse function of your transmitter to reverse the motor direction but the ESC will have to be re calibrated afterwards.

Throttle range calibration
To ensure that your ESC operates correctly it has to be calibrated. During this process the full throttle, stop and brake positions will be set. There are 3 occasions when the unit must be calibrated.
- Before using the ESC for the first time
- If you change to a new transmitter
- If the neutral point or servo throw is changed within your transmitter.
To calibrate the system, please proceed as follows
- Ensure that the receiver is switched OFF and switch ON the transmitter. If you are using a Futaba transmitter. The throw should be set to neutral. If the transmitter is fitted with an ABS function this must be de-activated.
- Press and hold down the SET button on the ESC and switch the receiver switch ON.
- This will switch the ESC into Calibration’ mode and the LED will begin to blink.
- If you fail to release the SET button as soon as the LED blinks, the ESC will enter Programming mode.
- If this happens, you will have to switch the ESC off and start again to enter Calibration mode.
- Parameters can be set here:
- Neutral point.
- Full throttle forwards.
- Full throttle reverse.
The procedure for setting these 3 points is outlined below
- Ensure that the throttle control is in the neutral position and press the Set button.
- The green LED will flash once and the motor will omit a beep. Move the throttle control to the full throttle forwards position and press the green Set button.
- The green LED will flash twice and the motor will omit 2 bleeps. Move the throttle control to the full reverse position and press the Set button.
- The green LED will flash 3 times and the motor will omit 3 bleeps. 3 Seconds after this procedure has been followed, the motor is ready for use.
LED’s errors and protection
In normal use the LED will illuminate as follows
- If the throttle control is in the neutral position, neither the red or green LED will illuminate.
- The red LED will illuminate if the vehicle is driving forwards or in reverse.
- If the vehicle is braking, the red LED will flash rapidly.
- When the car moves forward, the red
- LED solidly lights; the green LED also lights up when the throttle stick is at the top position 100% throttle.
- The green LED will illuminate when the vehicle is at full throttle either forwards or in everse.
- In certain circumstances the ESC will omit an acoustic tone to warn you of a problem.
- On switching on, the ESC will check the battery pack voltage and if it falls outside the correct values it will omit double signals followed by a 1 second pause: “beep-beep-, beep-beep, beep-beep.
- If the ESC does not receive a signal from the transmitter it will omit single signal followed by a 2 second pause beep , beep, beep.
- The ESC has ben equipped with a series of protective circuits to ensure safe operation.
- Low voltage cut off
- If the voltage drops below the set value for more than 2 seconds the ESC will switch the motor off.
- Please note that the motor cannot be started again if the voltage is below the choosen value per cell.
- Temperature cut-off If the internal temperature of the ESC rises above 95°C for more than 5 seconds the motor will switch off.
- After the ESC switches off it has to cool down before operating again.
- Otherwise the ESC will be damaged. This function should not be disabled!
- Signal loss If the signal is lost for more than 0.2 seconds the ESC will switch the motor off.
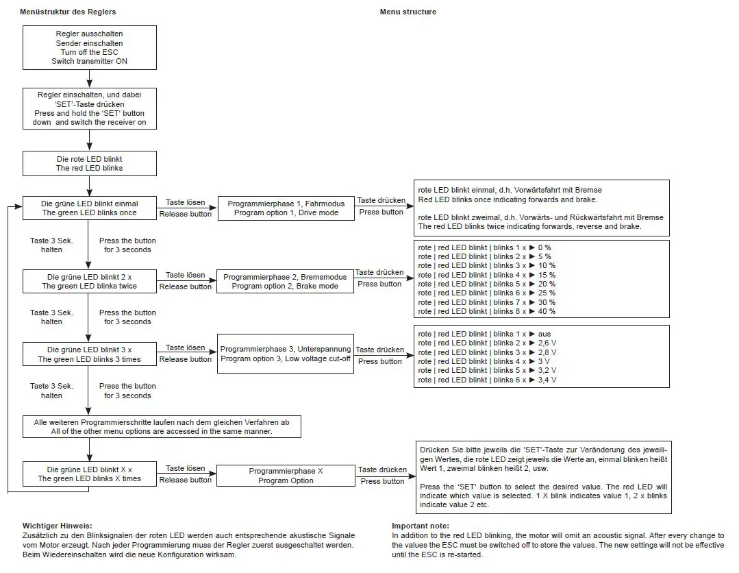
Programming the ESC
| Programmierphase Program Mode | Programmwerte Program Value | |||||||
| 1 | 2 | 3 | 4 | 5 | 6 | 7 | 8 | |
| Fahrmodus Drive Mode | vorwärts, Bremse an Forwards, brake on | vor- / rückwärts, Bremse an forwards / reverse, brake on | ||||||
| Zugbremse Drag Brake Force | 0 % | 5 % | 10 % | 15 % | 20 % | 25 % | 30 % | 40 % |
| Unterspannung Low Voltage | aus OFF | 2,6 V/Zelle 2,6 V/cell | 2,8 V/Zelle 2,8 V/cell | 3,0 V/Zelle 3,0 V/cell | 3,2 V/Zelle 3,2 V/cell | 3,4 V/Zelle 3,4 V/cell | ||
| Start Modus Start Mode | sanft soft | normal normal | aggressiv aggressive | sehr aggressiv very aggressive | ||||
| Bremskraft max. Brake Max | 25% | 50% | 75% | 100% | ||||

This ESC is fitted with many useful functions and to help you to be able to make the most of the various options they are explained below. Please use the programming table together with these explanations to program your ESC quickly and effectively:
- Drive mode: If option 1 is selected in Drive mode, the vehicle will only drive forwards and the brake is active which make this mode the best choice for racing. In mode 2 the vehicle can be driven forwards or in reverse and the brake is also active. This mode is useful for general use and training.
- Note: When option 2 is selected, moving the throttle control back past the neutral point will initially activate the brake. If the throttle control is then moved back to the neutral position briefly the ESC will switch over to reverse. Moving the ESC forwards will make the vehicle drive forwards regardless of whether it was braking or moving in reverse.
- Drag Brake force: In this option the drag braking force can be set. The value is set as a percentage and the values are from 0 to 40%
- Low voltage: In this option you can set the low voltage cut-off value. The cut-off voltage can be set between 3.4 and 2.6 Volts per cell. Once the cut-off voltage has been reached the motor will stop.
- Start Mode: With this option you can choose how the vehicle will accele rate when full throttle is applied and you can set the value between Soft and Very Aggressive.Please note that if you select one of the 2 Aggressive modes that you will need to have batteries with a very low internal resistance otherwise the voltage will drop due to the high current draw and the motor may stutter. Also ensure that your motor and gearing are capable of carrying the high loads.
- Brake Max.: The ESC is equipped with a braking system which works proportionally to the throttle control. This means that the further the throttle control is moved rearwards the more braking force will be applied. A higher value here will mean that the vehicle will brake harder but more strain will be placed on the components, for example, the gearing. To avoid the programming procedere with the set up botton, you can all so use the seperatly available Programmcard (Ord.No. 081454).

Connecting the programming card
To connect the programming card to the speed controller, disconnect the fan cable 1 from the connector between the motor cables. Connect the cable to the programming
card, making sure that the cable is connected correctly. Be sure to reinsert the fan cable after completing the programming.


Front gear assembly

Steering assembly

Rear shaft assembly

Shock assembly


Buffer assembly


Front & rear assembly


Cage assembly

Front & rear assembly

The LED´s are not connected on delivery under certain circumstances.
The LED connector is stored in the receiver box.
Open the receiver box and take out the LED connector and the receiver.
Put the LED connector into the receiver to channel 3 (CH3). The black line (minus) belongs to the right side.
Put the receiver and the wiring back to the receiver box and take care to install the wiring proberly. Dont squeeze the wiring.
Close again the receiver box with the two pins.
If you activate the model now, the LED´s are active.

Setting points

Toe in
The responsiveness of the steering is less direct and the vehicle tends to oversteer, but it has better directional stability.
Toe out
More direct steering response and understeer, but has a worse directional stability. Turn the Turnbuckle shorter = Toe-out. Turn the Turnbuckle more = Toe-in
Front caster high / low
Less caster
Less caster has a worse directional stability, but provides a better steering on corner entries.
High caster
A higher caster has a better directional stability, but can result in worse corner turn in.

Negative / positive camber front and rear
You can adjust the front camber by turning one of the inner screws on the pivot front suspension. Turn both screws equally inwards or outwards to adjust the track width.
To adjust the rear camber, turn the rear track rod.
Negative camber
Better grip on terrain, as the edge of the wheels stem into the ground allowing higher cornering speed. We recommend approx. imately 1.5 degrees negative front and an ave rage of 0 degree to the rear. An excessive negative camber angle can deteriorate the ride quality.
Positive camber
Positive camber should be avoided in your vehicle due to poorer ride quality.

Damper angle soft / firm front and rear
To adjust the damper angle, remove the screw on the suspension arm, adjust the angle and tighten it again.
- Soft = More direct steering.
- Firming = Less direct steering.

Spring tension hard / soft front and rear
To adjust the spring preload, pull the spring down a little and insert the desired clip´s.
Harder
More direct response of the suspension but reduced grip.
Softer
Less direct response of the chassis but more grip.
Spare parts


Tuning parts and accessories

Troubleshooting
The motor will not rotate after switching on. No signal is present. The battery pack or battery pack connectors are faulty. Check all of the connectors and the battery pack.
After switching on, the motor does not start, a signal is emitted. The input voltage is too high or too low.
Check the battery pack voltage.
The motor will not turn after switching on, a signal is emitted at No or a poor receiver signal.
Check both the transmitter and receiver as well as the ESC conn
The motor turns in the wrong direction. The motor connecting cables are swapped. Swap 2 of the ESC/motor connecting cables
The motor suddenly stops turning
- The battery voltage is too low.
- Charge the battery pack.
- No signal.
- Check the transmitter, receiver and all of the cables only steeri
- The motor stutters or runs irregularly.
- One of the connectors is loose.
- Carefully check all of the connectors.
- The receiver has intermediate interference.
- Switch the system off and then on If the interference persists,location.
Model does not respond
- Battery or batteries empty or defective.
- Charge battery or replace.
- Motor broken.
- Replace motor.
- Loose or damaged cable.
- Reconnect cable or replace.
- Transmitter turned off, lost or damaged binding.
- Transmitter back on, bind or replace.
- Defective receiver.
- Replace receiver.
- Speed controller is defective or connection issue.
- Connect properly or replace.
Model react uncontrolled
- Transmitter turned off, lost or damaged binding.
- Transmitter back on, bind or replace.
- Controller not calibrated or programmed incorrectly
- Recalibrate or reprogram
- Defective receiver.
- Replace receiver.
- Engine is running when you turn on inadvertently.
- Incorrectly set Failsafe.
- Failsafe program to neutral.
- Throttle trim on the transmitter is not in neutral.
- Throttle trim set to neutral.
Model moves forward only
Controller not calibrated or programmed in correctly.
Recalibrate or reprogram
Only steering response. Regulator or Motor is defective or not Calibrated. Calibrate speed controller or replace motor.
Steering does not respond
Power steering defect.
Replace servo
Dual Rate on the transmitter set too low or to 0.
Dual rate increase
Very dirty steering lever or steering knuckle.
Clean and lubrcate well
Loud noise from the drive. Main gear, pinion or differential damage. Do not continue! affected part needs to be replaced. Incorrect gear mesh. Reset gear mesh.
Speed controller shuts off while driving
- Low voltage cut off.
- battery voltage too low.
- Charging the battery.
Overtemperature
Let speed controller cool.
Front drive shafts fall out
- Too large track width.
- Track width reduction.
Security instructions
This product is not intended for use by individuals (including children) with reduced physical, sensory or mental capabilities or lack of experience and / or knowledge, unless they are supervised by a person responsible for their safety and is able to give instructions about how the product should be used. Children should be supervised to ensure that they do not play with the product.
- The User is fully responsible for the correct use of the model.
- The model should not be changed in any way, doing so will invalidate the guarantee.
- Protect the model from strong sunlight, moisture and dust.
- Be aware that some parts of the model may get hot.
- If R/C unit, motor, or battery get wet, clean and dry thoroughly in a dry shaded area.
Operating
- Keep the model away from Children in case it is not appropriate to be used by a Child.
- Do not operate your model near radio stations, power lines, transformer boxes or similar facilities.
- This can result in radio interference, causing loss of control over the model.
- Avoid driving the model to busy places. Never drive on public roads.
- Keep hands, hair and loose clothing away from rotating and heated parts.
- Drive the models only in good weather. Do not drive this models in wind, rain or thunder storms.
- Inspect the model before and after every drive for damage and loosing screws and plug connections. Please ensure that only an intact model is used.
- Your model is made from such materials as plastic and rubber and as such is inflammable.
- Keep it away from any open flame, or high temperatures.
- Always ensure that the throttle stick is in the low position before you switch on.
Safety precausions for battery
Because of the high power compactivity (up to 150Wh/kg) the cells are quite dangerous and need special care. The company Jamara excludes explicitly, all types of liability for damages, that can occure when using the Lithium-Polymer-Cells indequate. When using the battery incorrect there is a risk of getting fire or acid-injuries. Overcharging, too high power, or discharging at low level destroys the cell. Protect from mechanical stress squeezing, pushing, bending, drilling. Never open or cut batteries, do not throw into fire, keep away from children. Handle damaged or leaking battery with care. Injuries or damages to the product can occure. Under no circumstance short-circuit the device and always watch out for correct polarity. Protect batteries from heat above 65 °C , mount away from hot objects for example exhaust pipe. Before storing batteries (for example in the winter charge the battery. Do not store in fully chargedor in non charged state.The contents of the cell is harmfull for skin and eye. If the content comes into contact with skin, clean with plenty of water and take off moisted clothes. If the content comes into contact with the eyes, clean with plenty of water and consult a doctor. If the ce overheats, swells, burns or smoke is coming from it, do not touch it under any circumstances. Keep away in a safe distance and prepare adequate extinguishing agents such No water explosion, well dry sand, fire extinguishers, fire blanket, salt water.
Disposal restrictions
Batteries and accumulators must not be disposed of in domestic waste. You are obliged to dispose of batteries seperate collection appropriately. After use you can return batteries free of charge to the retail store. As batteries contain substances that can be irritant, can cause allergy and are highly reactive, separate collections and proper recycling is important to the environment and to your health. If the batteries are marked with a chemical symbol Hg, Cd or Pb below the crossed-out waste bin on wheels it refers to that more than 0.0005% of mercury (Hg), more than 0.002% of cadmium (Cd) or more than 0.004% Lead Pb is included.
Disposal restrictions
Electrical appliances must not be disposed of in domestic waste and must be disposed of separately. You are obliged to take out the batteries, if possible, and to dispose of the electrical equipment at the communal collection points. Should personal data be stored on the electrical appliance you must remove them by yourself.
References
jamara.com
Naslovnica
Bygg din unike bokhylle ved å kombinere ulike seksjoner.
JAMARA - DoC (Declarations of Conformity)
JAMARA - DoC (Declarations of Conformity)
jamara.com
Janus Trade
Modellbau Zentral - Peter Hofer - Altdorf UR
Reitter Modellbau & Robotics - Zubehör, Ersatzteile, Bausätze
e-dite.cz
Veleprodaja informatičke, foto, dječje i ugostiteljske opreme te konzumne elektronike

Technical data
Front caster high / low


















