

INSTRUCTIONS
INTRODUCTION
Congratulations! You have purchased one of the finest automatic 35mm SLR cameras available today. The Canon EF is a complex instrument having a multitude of advanced features, yet it is incredibly simple to use. Just select a shutter speed and the camera adjusts its own ‘ diaphragm for you automatically under all kinds of lighting situations, from bright sunlight at the beach to dim candlelight. You are assured of perfect exposures every time. Now you ‘ can concentrate on picture taking and stop worr.ying about mechanics. But before you actually load any film into your new camera, familiarize yourself thoroughly with the Canon ‘ EF and this instruction manual. Handle the camera, practice focusing, and use the winding lever. And, by all means, refer to the instructions often during this orientation period. When used, correctly, the Canon EF will provide you with perfectly exposed photographs for years to come. We at Canon hope you receive as much enjoyment in using the EF as we had in designing it. And we hope your involvement in photography continues to grow.
NOMENCLATURE

| 1. Frame Counter 2. Shutter Button 3. Shutter Speed Dial 4. Shutter Speed Index Mark 5. Winding Lever 6. Flash Hot Shoe 7. Eye· Level Pentaprism 8. Film Plane Indicator 9. AE Memory Lock Button 10. Light Emitting Diode (LED) 11. Film Rewind Knob with Crank 12. ASA Ring 13. Sync Terminal with Cover | 14. Self Timer Lock Button 15. Multi-Purpose Lever (Self-Timer/Depth of-Field Previewl Stopped-down Metering Lever) 16. L-M Lock Lever 17. CAT System Pin 18. AE Lock Pin and ‘ A’ mark 19. Focusing I ndex Mark with Depth-of·Field Scale 20. Distance Scale (in feet and meters) 21 . Aperture Ring 22. Front Bayonet 23. Focusing Ring 24. Canon Breech·Lock Ring 3 25 . Neckstrap Eyelet |

PICTORIAL OUTLINE FOR USING THE CAMERA


MAIN FEATURES
A Variable Apeture AE (Automatic Ex-posure). Simply select a shutter speed and the aperture is set for you automatically .
B Extremely wide range of shutter speeds using an Electro-Mechanical Shutter. Accurate electronic control from one second down to a full 30 seconds; foolproof mechanical control from onehalf second to 1/1000 second (including B) even if the batteries fail.
C Incredible meter sensitivity and rapid re-sponse to changing light levels by using a Silicon Photocell. At ASA 100, EV – 2 (8 sec. at f/1.4) to EV 18 (1/1000 sec. at f/16)
D Wide range of FD lenses from 15mm full-frame fish -eye to 300mm telephoto for AE photography. Other Canon lenses available from 7.5mm circular fish-eye to 1200mm super-telephoto. 2000mm and 5200mm mirror lenses available . by special order.
E Multiple exposures possible simply by push-ing a button while operating the wind ing lever. Exact registration is possible, and the frame counter does not advance during the procedure.
F Full-information viewfinder displaying large scales for both shutter speeds and f/stops.
G Automatic electronic flash. When using the Canon Speedlite 1330 and -a Flash-Auto Ring, the aperture _is set automatically according to the focused distance of the lens with synchronization at 1/125 sec.
H AE memory lock f or locking-in exposure readings.
I Wide film speed range from ASA 12 to ASA 3200.
J Fast-action winding lever with a short 0 120 throw and comfortable plastic tip.
K Short-stroke, feather-touch shutter button_
L Huge shutter speed dial overhangs the front edge of the camera making a change of shutter speeds quicker than ever.
M Automatic blank shot mechanism. Advanc-ing film to frame one is possible without using the shutter button.
N Cold weather performance ~sured down to – 20 degrees C. (-4 degrees F.)
O Easy battery replacement using two readily available, inexpensive 1.3 volt mercury batteries.
VIEWFINDER INFORMATION

| a. Center Split-Image/Microprism Rangefinder b. Ground Glass with Fresnel Screen c. Shutter Speed Scale d. Shutter Speed Indicator e. Stopped-Down Metering I ndex Mark | f. Underexposure Warning Mark (maximum lens aperture is automatically set) g. Aperture Scale h. Meter Needle i. Overexposure Warning Mark |
TECHNICAL EXPLANATION OF THE CAMERA
The Canon EF is a 35mm single-lens-reflex AE (automatic exposure) camera which is designed for fast handling and precise exposure control . Being mOdularly constructed, it contains many advanced electronic circuits to make picture-taking easier than ever before.
A Electro-Mechanical Shutter
The vertically moving metal focal plane shutter in the EF has speeds from 1/1000 sec. down to a full 30 seconds, plus a “B” (Bulb) setting for anual time exposures. The shutter is electronically con -trolled in its slow range from 1-30 sec . in six discrete steps (1 , 2,4,8,15, and 30) . The red Light Emitting Diode (LED), just to the left of the pentaprism, blinks on and off to indicate when the shutter is open. I n the normal range in which most photography will be performed, the shutter is mechanically controlled from 1/2-1/1000 sec., plus B, in eleven steps (1/2,1/4 , 1/8,1/15,1/30,1/60,1/125, 1/250,1/500,1/1000, and B) . Electronic control of the shutter in the slow range insures high accuracy for long shutter speeds, whereas mechanical control in the normal range permits manual operation of the

camera over a wide range of shutter speeds even if the batteries fail. Another benefit of using mechanical control for the majority of speeds is that the Canon EF uses only two inexpensive 1.3 volt mercury batteries which are available almost anywhere in the world.


B Variable Aperture AE Control Method
Commonly known as ” shutter priority EE,” the Variable Aperture AE control method gives the photographer absolute control over the shutter speed to prevent camera shake. You select a shutter speed appropriate to the action and/or the lens you are using, and the camera automatically adjusts the aperture of the lens to precisely the proper f/stop or fraction thereof.
C Silicon Photocell
The Silicon Photocell is a highly accurate ana extremely stable light measuring cell having a wider range of sensitivity and much faster response to rapidly changing light levels than the conventional CdS cell. At ASA 100, the metering range of the Silicon Photocell is from EV18 (1/1000 sec. at f/16) down to EV -2 (8 sec. at f/1.4) , which is five f/stops more sensitive than the normal CdS cell. At ASA 25 , the range is from 1/1000 sec. at f/8 down to 30 sec. at f/1.4 . This increased sensitivity range is made possible by the development of a special logarithmic amplifier to intensify the low amount of current generated by the photocell in very dim light conditions.

AE RANGE OF SILICON PHOTOCELL AT VARIOUS ASAs FD 50mm f/1.4 S.S.C. LENS

D Central Emphasis Metering
After extensive experimentation, it was determined that the Central Emphasis Metering method of exposure measurement used in the Canon EF is the most rei iaJ>le way of obtaining proper exposures in fast moving AE photography . The entire viewfinder screen is read by the Silicon Photocell with more emphasis given to the center portion, where the main subject is likely to be located. I n a typical landscape, even a normal center-weighted system can produce underexposure because of the influence of the bright sky in the upper part of the picture area. The following is a diagram of Canon EF’s Central Emphasis Metering method which also minimizes the effect of skylight when the camera is used horizontally.

CAMERA HANDLING
Proper handling of your Canon EF is a very important technique in picture taking. Probably more pictures are lost through poor handl ing than for any other reason . To take full adva!1tage of the EF’s fast operation, you must learn where each control is instinctively. Before loading f i lm into the camera, practice focusing, releasing the shutter and using the winding lever. A few minutes of practice now will payoff later in fewer missed shots.
A Carrying the Camera
Attach the Canon EF’s neckstrap and adjust it to a length which feels “right” to you when the camera is around your neck. To avoid dropping the camera accidentally, you should always carry the camera by its strap. Carry the EF around your neck, hang it over your shoulder, or wrap the neckstrap around your hand. For comfortable viewing and to keep extraneous light from the viewfinder, the rubber eyecup should be attached and kept on the eyepiece permanently. Use a lens hood at all times to prevent ghost images and flare . Also, you can protect the front surface of the lens from dust or fingerprints by attaching a UV (Ultraviolet) filter . When you are taking pictures, it is a good idea to take the camera

out of its case, so that it will always be ready to use. Between shooting sessions, the camera should be put back into its case to protect it from dust.
B Holding the Camera
The suggested procedure for holding the camera horizontally is as follows : Place the camera across your left palm and grasp the underside of the lens focusing ring between your thumb and first one or two fingers . Hold the right end of the camera firmly, so that your right thumb is behind the tip of the winding lever and your forefinger is on the shutter

button . Press the camera to your forehead while sighting with either your right or left eye. To hold the camera vertically, rotate the camera 90° so that the shutter button is near the top, place the left end of the camera in your left palm and grasp the focusing ring of the lens from the underside. Hold the camera with your right hand in exactly the same manner as in horizontal shooting. The advantage of th is method is that it permits rapid changing of positions from horizontal to vertical with a minimum of fumbling.
C Bracing Yourself and the Camera
To reduce camera shake, brace your elbows against your body and stand flat on your feet. Spread them apart with one foot a little bit in front of the other, and bend your knees slightly . If there is a sturdy support near by, such as a telephone pole, a tree, a door jamb, or wall, lean against it. This is particularly necessary, when you are using shutter speeds of 1/30 sec. and below with the standard 50mm lens on the camera. At shutter speeds of 1/15 sec. and below, it is almost impossible to produce shots free of camera movement without the use of a tripod or .some other camera supporting device. When you change to a lens of different focal length, the above suggestions are not necessarily valid. A good rule of thumb in determining the slowest shutter speed you can safely hand-hold the camera with a particular lens is to make a fraction representing this “safe” shutter speed by putting a “one” over the focal length of the lens . For example, when a 135mm telephoto lens is mounted on the camera, the slowest hand-holdable shutter speed you can use to achieve sharp photographs is 1/135 sec. (135mm = 1/135 sec.). Set the shutter speed dial at 1/125 sec ., wh ich is closest to 1/135 sec. This rule can be applied to all lenses, from moderate wide-angle to super-telephoto.
D Releasing the Shutter
Squeeze the shutter button gently, instead of punching it. Also, try to coordinate your breathing with the release of the shutter. A good time is the instant between exhaling and inhaling (or vice versa) when your diaphragm is at rest. Of course, when shooting fast action, this coordination is not always possible or even desirable. It is more important to concentrate on capturi ng the action rather than on the position of your diaphragm.
BASIC OPERATION
A Loading the Mercury Batteries
Since the Canon EF’s Variable Aperture AE control and the electronic control of slow shutter speeds depend on battery power for their operation, two 1.3 volt mercury batteries (Mallory PX 625 or Eveready EPX 625) must be loaded into the battery compartments located in the bottom of the camera. Turn the camera upside down and unscrew both battery compartment covers with a coin. Load one battery into each compartment making certain that the “+” side of the battery is up. Then replace both covers and screw them back on tightly .
- To insure good electrical contact, clean both surfaces of each mercury battery with a clean dry cloth and handle each by its edges only.
- Be careful to load the batteries properly . Improper loading (with the “-” side up) might cause damage to the camera’s electrical circuits.
- lf the camera will not be used “for a long period of time, the batteries should be taken out of’ the battery compartments to prevent possible damage to the terminals from battery corrosion.
- PX-13 type mercury batteries are not recommended because of their low temperature characteristics.
B Checking the Batteries
After loading the batteries, you should check their power level. This is a simple procedure on the EF . Just hold the red battery check button on the bottom of the camera in for two or three seconds. Watch the LED on the top of the camera. If the LED blinks on and off rapidly, then the power level of the batteries is sufficient. If the LED blinks only once or does not blink at all, then the power level is
insufficient. If this is the case, replace both batteries with two new ones of the same type.
- Since the Canon EF relies heavily on battery power for its operation, check the batteries each time you plan to use the camera and carry spare batteries with you at all times in case of battery failure . Attach the small battery case to the camera strap and carry extra batteries in it.
- If the batteries do fail, the EF can still be used manually from 1/2- 1/1000 sec. The Variable Aperture AE control will not operate, but you can manually adjust the aperture ring of the lens. A basic exposure guide to follow for bright sunl ight (with distinct shadows) is to make a fraction representing the shutter speed needed at f/16 by putting a ” one” over the film’s ASA rating. With a film of ASA 100, use 1/100 sec. at f/16 . Choose the nearest click-stop

·setting, in this case, 1/125 sec. For hazy sunlight (with weak shadows), use f/11 . In cloudy bright conditions (with no shadows), try f/8. On heavily overcast days or in open shade, f/5 .6 is required .
C Turning the Camera On and Advancing the Film
The ON/OFF switch, located on the back of the camera just below the winding lever, controls the operation of the Variable Aperture AE control, the electronically controlled portion of the ElectroMechanical Shutter (from 1-30 sec.), the winding lever, and shutter button . To turn the camera on, push the switch up. This activates the camera’s electric circuit and makes the winding lever spring out to its stand-off position 150 away from the camera body . Now the winding lever can be operated easily with the tip of your thumb. Advancing the film and recocking the shutter for the next shot are accomplished in a single, short 1200 throw to the right.

D Loading the Film
The Canon EF uses color or black and white film in standard 35mm cartridges. To load a cartridge into the camera, first open the camera’s back cover. Fold out the rewind crank, grasp it and pull the rewind knob upharply. The back cover will pop open Put the cartridge into the film cartridge chamber, push down and rotate the rewind knob until it drops into its fully-seated position. Pull the film leader across the camera and push the tip into one slot of the multi-slot take-up spool. Advance the film once, making certain the sprocket holes of the film are engaged in the teeth of the film transport sprocket. Close the back cover until it snaps shut. Gently turn the rewind crank clockwise to take up the slack in the film and then fold the rewind crank back in. Operate the winding lever two more times while watching the rewind knob. If it rotates, the film is loaded properly. If the knob fails to rotate, then open the back cover and reload the film.


- The Canon EF has an Automatic Blank Shot Mechanism which frees the photographer from using the shutter button during film loading. The winding lever works independently of the shutter button until frame number one is reached.
- Avoid direct sunlight when loading or unloading the film . If no other shade is available, then turn your back on the sun and use the shadow of your body to shield the camera while loading.
- Commercially available cartridges come in 12, 20 and 36 exposure rolls. One way to save money on the cost of film is to bulk load your own cassettes. Bulk film in 50 or 100-foot rolls, a bulk film loader and some reloadable cassettes are all you need. A darkroom is not necessary. For more information, contact your local camera dealer.

E Setting the ASA
The ASA is a numerical rating of a film’s sensitivity to light. A higher ASA number indicates a faster film which is more sensitive to a given amount of light; a lower ASA number indicates a slower film which is less sensitive to the same amount of light. The relationship between ASA numbers is such that a film of ASA 100 is twice as fast as one rated at ASA 50. The film manufacturer’s recommended ASA rating can be found in the data sheet packed with the film or printed directly on the cartridge itself. To set the ASA, lift up the ASA ring, located underneath the rewind knob, and rotate it in either direction until the proper number is aligned with the white index mark. When the ring is released, it automatically locks into position. The table below indicates the ASA and their corresponding DIN numbers .
- Setting the correct ASA is essential to the proper operation of the camera since the ASA is one of the three bits of information (the other two are the shutter speed setting and the brightness of the scene) which helps the Variable Aperture AE control determine the proper exposure. ·
- When changing to a film of a different ASA, do not forget to reset the ASA ring . Otherwise, your film will be improperly exposed.


F Setting the Aperture Ring and the CAT Switch
The amount of light that is allowed to strike the film is determined by the lens diaphragm . This amount of Iight is represented by “f” numbers or flstops engraved on the aperture ring which clicks into place as it is rotated .The f/stop designations indicate the opening formed by the diaphragm, and this opening is called the aperture. On the standard 50mm lens, the engraved flstops are 1.4, 2, 2.8, 4, 5.6, 8, 11, and 16. At f/l.4, the lens is at its maximum aperture with the diaphragm wide open. For this reason, f/l.4 is said to be a large flstop even though it is small in numefical value. And con-versely, f/16 is the minimum aperture of the lens and is a small f/stop . The relationship between successive flstops is arithmetic : as you close down the dia-phragm, each flstop indicates half as much light as the preceeding one . When operating the aperture ring manually, you may use any aperture setting. For normal AE operation, the aperture ring must be set at the ‘A’ mark . Hold in the AE lock pin while turning the aperture ring from f/16 (or f/22 on some lens.es) to the’ A’ mark. At · this special setting, the aperture ring is disengaged, allowing the cam~r to adjust the lens diaphragm automatically to any flstop setting. Also, to make sure that the camera selects the proper flstop, the CAT switch must be set

at the “NORMAL” position .
- If the preceeding discussion seems complex, keep in mind the following definitions : An f/stop is a number used to represent the amount of light which is allowed to pass through the lens. The diaphragm is the mechanical iris inside the lens which is opened or closed according to the setting of the aperture ring. The aperture is the hole or opening formed by the diaphragm blades.
G Selecting a Shutter Speed
The amount of light striking the film is controlled by the lens diaphram, whereas the length of time that light is allowed to strike the film is controlled by the focal plane shutter. The shutter consists of two opaque “curtains” which travel over the opening and allow the light coming through the lens to reach the film. The length of time the curtains remain open determines the exposure time for your picture. On the shutter speed dial, shutter speeds from 1/1000 1 sec., and B, are marked in white (with the exception of the orange “125” for electronic flash synchronization), while the speeds from 2 – 30 seconds are marked in yellow. To set the shutter speed, rotate the dial in either direction ·until the
- The camera and its FD lenses are designed for automatic exposure with light measurement done at the maximum aperture. Manual stopped-down metering is not recommended with FD lenses_ If you wish to set the aperture manually, take the meter reading before removing the aperture ring from the ‘ A’mark.

desired number clicks into place next to the wh ite index mark. An in-between setting should not be used. When changing shutter speeds, there is no need to remove your eye from the eyepiece, because the selected shutter speed is automatically indicated on the large scale in the viewfinder. With a total of 17 click-stop settings to choose from, the question you might ask is: I’How do I select the right shutter speed?” First of all , you must select a shutter speed which keeps the meter needle somewhere within the white portion of the aperture scale. If you take a picture when the needle is touching either of the red warning marks (underexposure at the bottom of the scale and overexposure at the top), then your photograph will be improperly exposed . Depending on the brightness of the scene, the film’s ASA, and your photographic (ntentions, you can use · the following general guidelines to help you select an appropriate shutter speed when using the standard 50mm lens : When you are shooting outdoors in the open or want to freeze action, choose fast shutter speeds (1/125 – 1/1000 sec.). When photographing in the shade or indoors without a flash, then select slower speeds (1/30 or 1/60 sec.). To take pictures at night (without a flash), use slow shutter speeds (30 – 1/15 sec.), with the camera mounted on a tripod.
- At the “B ” setting, the shutter will remain open as long as the shutter button is depressed. A cable release is a handy device for holding the shutter button in for long periods of time. Also, it allows the shutter to be opened without the photographe r touching the camera or button directly, and therefore keeps camera shake to a minimum , thus insuring a clear picture. At “B,” the aperture ring must be set manually .
- Intentional blur oftentimes can give your photographs a convincing feeling of action . Two types of intentional biur are (1) subject blur and (2) background blur created by panning. Subject blur (1) is created by keeping the camera still while the subject moves across the field of view. The subject becomes blurred while the background remains sharp. Background blur (2) can be created by panning, or following the subject with the camera, keeping the subject bas ically at the same position in the viewfinder. The subject remains relatively sharp while the background blurs into a streaky effect. Experiment by using slow shutter speeds of 1 – 1/60 sec. A neutral density filter (ND4 or ND8) over the Iens will permit using slow shutter speeds even with fast films.

H Viewing and Focusing
The Canon EF is a single-lens-reflex (SLR) camer8 ~ This means that you view the subject through the same lens as is used to take the photograph. Continuous viewing (except at the moment of exposure) is made possible by the use of an instant-return mirror located inside the body just below the pentaprism. Since the picture you see in the viewfinder is the same as the one recorded on the film, parallax is completely eliminated . The view- finder remains bright during AE operation, because through-the-Iens metering (TTL) is performed with the lens at maximum aperture. Focusing is made easier by a split-image/microprism rangefinder. You rotate the focusing ring while looking through the viewfinder until the point where the divided image of the subject on the split-image focusing screen can be seen correctly matched in the center of the viewfinder. The subject snaps into sharp alignment at proper focus. For a subject not having straight-line forms or with indistinct outlines, you have the choice of using the microprism ring around the split-image focusing screen. The microprism shatters out-of-focus images very well and snaps into sharp-ness at the precise point of focus. When using certain lenses (such as macro or super-telephoto) , the 30 ground glass with the fine -lined Fresnel screen outside the microprism area will aid you in focusing.

- In fast-breaking situations, or in candid shooting, you can prefocus the lens by using the distance scale engraved on top of the lens barrel. Estimate the distance between you and the subject. Then turn the focusing ring until this distance (in feet or meters) is aligned with the focusing index mark. This method is especially useful when there is not enough time for through-the-Iens focusing, or when you do not want to draw attention to yourself by Iifting the camera to eye level.
- Film Plane Indicator – the -e-mark engraved on the camera just to the left of the pentaprism indicates the exact posit ion of the film plane. This is an aid when actually measuring the film-to-subject distance in macrophotography.
- Black and White Infrared Photography : Because infrared light rays focus on a plane slightly behind that of ordinary light rays, it is necessary to modify slightly the ‘ normal method of focusing the lens. First, focus on the main subject as usual. Next, take note of the focused distance (in feet or meters) which appears opposite the focusing index mark. Then , turn the focusing ring slightly, so that the focused distance is aligned with the tiny red dot engraved on the lens barrel just to the right of the focusing index mark. Use a red filter (R 1) over the lens and set the aperture ring manually following the film manufacture’s suggestion for exposure settings.
- Color Infrared Photography: I n color infrared film, two of the film’s layers are sensitive only to visible light, while the third layer is sensitive only to infrared. Therefore, it is not necessary to readjust the focused distance. However, f/stops of f/5.6-16 are recommended to produce sharp pictures. lIseeither a dark yellow (Y3) or orange (01) filter and set the aperture ring manually following the film data sheet.
I Locking-In an Exposure Reading
In the majority of cases, Canon EF’s Central Emphasis Metering system will give correct exposure readings in AE photography. However, occasionally you will encounter picture-taking situations which require a departure from normal AE operation. For example: (1) Your subject is strongly backlighted or contrasts sharply with the background and will not appear in the center of the picture. (2) The entire scene is either extremely light, such as a light colored subject in snow; or it is very dark, such as a dark colored subject in deep shade or against a dark background. I n the above cases, it is necessary to modify the automatic exposure reading which the camera normally sets by itself. The Canon EF provides a convenient way to do this by incorporating an AE memory lock button 6n the left side of the camera between the pentaprism and the ASA ring. By holding in this button, you can lock the meter needle of the camera at a particular f/stop while you change the position of the camera (and hence the view in the viewfinder). To produce a good exposure in the first situation (1) described above, focus on your main subject and center it in the viewfinder. If
the subject appears small, move in closer until it occupies about one-third of the total viewfinder area. Push the AE ‘memory lock button and hold it in. Then you may step back and/or change the position of the subject in the viewfinder to suit your compositional taste, while the correct exposure reading is locked into the camera’ s Variable Aperture AE control. Releasing the shutter will produce a properly exposed photograph. In the second situation (2) above, the scene cannot be metered directly . Most scenes are composed of both Iight and dark areas wh ich usually average out to a medium gray . Because all TTL exposure meters are calibrated to give proper exposure when reading a neutral gray card (of 18% reflectance), they give correct exposure for most scenes. I n ex treme cases in which the scene is predominantly light or predominantly dark, the Variable Aperture AE control must be fooled into providing the correct exposure. One readily available alternate subject is the palm of your own hand held out a foot or so in front of the lens and placed in the same light as your original subject. Focus on your subject normally . Then f ill the viewfinder with the out of focus image of your right palm making absolutely sure that it is in exactly the
same light as your main subject. Push in and hold the AE memory lock button with your left thumb. Return your right hand to the camera body and release the shutter. The exposure you locked in will be close to the proper exposure needed for a very light or very dark subject.
- I n practical terms, thexposu re latitude of both black and white and color negative film (from which prints are made) is inherently large enough to overcome almost all AE maladjustments which occur in day-to-day shooting. Therefore, it is not mandatory to use the AE ‘memory lock button at all. However, color transparency film has extremely small exposure latitude and requires near perfect exposure to produce good results. When taking color slides, the use of the AE memory lock button in the special situations previously described is strongly recommended .
- A standard 18% reflectance gray card is a much ‘I<, more accurate surface to meter than the palm of your hand. It may be purchased very inexpensively from your local camera dealer and carried with you for situations requiring nothing less than perfect exposure.

J Releasing the Shutter
The Canon EF’s shutter button is conveniently located on the right side of the camera and is coaxial with the winding lever and shutter speed dial. The shutter button stroke is very light and short for a Variable Aperture AE camera. As a built-in safety feature, the shutter button is locked automatically when the camera is turned off .


K Making Multiple Exposures
Exposing the same frame of film with two or more images is an exciting technique used by many photographers to create dream-Ii ke scenes, abstract designs, motion studies, or humorous pictures. Your imagination is the only limiting factor in this creative process, because Canon has made multiple exposure photography so easy to perform with the E F camera . A multiple exposure button is located in the center of. the ON/OFF switch. After making your first exposure, hold in this button with your left thumb while operating thewinding lever in the normal way. The movement of the film transport sprocket is stopped, while the winding lever recocks the shutter. Now you are ready for your next shot which will be in perfect registration directly on top of the first shot. This process may be repeated any number of times, and the frame counter is stopped until the film is actually advanced to the next frame .
- The multiple ‘ exposure button need not be depressed during the entire winding operation, but only needs to be held in at the beginning of the stroke
- I n multiple exposure photography, exposures on the same frame of film are additive . In the AE mode of operation, the Canon EF automatically determines the proper exposure needed for a. single frame. When making multiple exposures, less exposure must be given to each shot. One simple way to do this is to reset the ASA ring to a higher setting, which will fool the camera into decreas’ing the exposure reading. Multiply the normal ASA of the film by 2 for a double exposure, by 3 for a triple exposure, by 4 for a quadruple exposure, and so forth. However, when making mUltiple exposures of night lights or a subject against a black background, do not reset the ASA ring, because the black areas in the scene will become overexposed .

- In shooting fireworks, the recommended way to record multiple bursts on the same frame is not by using the multiple exposure button, but by mounting the camera on a tripod, setting the shutter speed dial at “B” and holding the shutter open with a cable release. Set the aperture ring manually to the appropriate f/stop, using the following table :
| ASA | 25 | 50 | 100 | 200 | 400 |
| f/stop | 5.6 | 8 | 11 | 16 | 22 |
- Interesting motion studies can be made by mounting the camera on a tripod, using color film, and making a triple exposure through a red, a green and blue filter respectively. Select a scene having both stationary and moving parts, such as a seascape with rocks and surf, a crowded street with many moving cars and people, or a tree whose leaves are rustl ing in the breeze. Set the camera on a sturdy tripod, focus and compose in the normal way. Multiply the film’ s normal ASA by 3 and set this higher rating on the camera’s ASA ring. Put a red filter (R 1) over the lens and make the first exposure in the AE mode of operation . Press the mUltiple exposure button, and operate the winding lever. Replace the red filter with a green filter (G1), making certain not to move the camera at all. Make the second exposure, and again operate the multiple exposure button and winding lever. Replace the green filter with a blue one (CCB12) and make the third exposure. This sounds like an unduly complex method of taking photographs, but the results are well worth the extra effort. The stationary objects in the scene remain motionless and are rendered in their natural colors, whereas the moving objects become a “rainbow” of separate red, green and blue images. In the above method you might have to experiment with manual exposures through the three filters to get perfectly exposed slides. Use the filter factor for each filter in your exposure calculations. Consult your local camera dealer for additional advice.
Notice: If exact registration is required, multiple exposures should not be made on the first few frames of a roll. Film characteristics can cause slight misregistration (about 0.05mm) .

L Taking Pictures by Flash
Even though the Canon EF can take pictures by candlelight, there are certain situations which require using an external I ight source. I n dim light, when you want to stop fast action or take crystal clear snapshots full of vivid colors and fine details, you need flash . If you want to avoid harsh shadows when shooting in bright sunlight, flash can be used as fill-in light. At night, a nearby subject can be illuminated with flash. Since the Canon EF uses a vertically moving metal focal plane shutter, synchronization with electronic flash is possible at all speeds up to and including 1/125 sec. With a flash hot shoe built into the top of the pentaprism, the EF can easily accept any direct mounting electronic flash unit, including the specially-designed Canon Speedl ite 133D. This flash unit (with the Flash-Auto Ring A 2 or 8 2 attached to tile front bayonet of the lens) employs the Canon Auto Tuning (CAT) System to determine the proper exposure in flash photography. The focused distance of the lens and the charging level of the 133D are sent as electrical signals to the camera’s Variable Aperture AE control, which then adjusts the diaphragm automatically to produce

Left: Canon FD 35mm f/2 S .S.C ., B at f/16, ASA 400 . RIght : Canon FD 100 – 200mm f/ 5 .6 S.C., Double Exposure, each shot at 1/ 30 sec., AE, ASA 400.
well-exposed shots. Therefore, the CAT System of electronic flash photography is as easy as normal AE photography. For electronic flash units requiring the use of an external PC cord, a sync terminal with a spring-loaded plastic cover is provided on the left end of the camera. When using flash bulbs, a reflector-type holder, such as the folding Canon Flash V3, can be mounted into the flash hot shoe. M, MF, and FP flash bulbs synchronize at 1/15 sec. and below.

CAT SYSTEM

- When using the CAT System with the EF camera, the shutter speed dial must be set at” 125,” the CAT switch set to the ” ~ ” position, and the aperture ring set at the ‘ A’ mark. With all other types of flash, the switch may be left at its ” NORMAL” position, but the aperture ring has to be set manually.
- At present, the CAT System may be used with four Canon lenses: two standard 50mm lenses, the f/1.4 and f/1 .8 and two 35mm wide-angle lenses, the f/2 and f/3.5 . · Normal AE photography may be performed at any time when using the CAT System by returning the CAT switch to the “NORMAL” position.
- Two electronic flash units, one direct-mounting type inserted in the flash hot shoe and another using a PC cord plugged into the sync terminal, cannot be used simultaneously on the EF. When a PC cord is plugged into the sync terminal, the flash hot shoe is automatically disconnected.
- After using the CAT System for flash photography, turn the camera off and return the CAT switch to the “NORMAL” position. If you leave the switch set to the ~ position and turn the camera back on, your next shots with automatic exposure (AE) control (without flash) will be incorrect.


M Changing Lenses
One of the nice features of an SLR is its lens interchangeability. An SLR is not really a SINGLE LENS reflex at all, because it can use many lenses of various focal lengths. I n the design of an SLR, the type of lens mount and its construction are very important factors . The EF camera uses the Canon Breech-Lock Mount first developed in 1959. This unique mount combines the virtures of sturdine ~ rugged dependability and fast peration. The mount holds the lens securely in place with absolutely no wobble or play and insures that the lens is always exactly the same distance from the film plane. Changing lenses is a rapid procedure requiring a little more than one-eight of a turn of the breech-lock ring on the back of the lens. To remove the lens from the camera, turn the breech-lock ring counterclockwise until it stops and pull the lens away from the camera body. Mounting another lens on the camera body is a simply procedure. Just al ign the red dot on t ~ e breech-lock ring of the lens with the red dot located under the name “Canon” engraved on the front of the camera ‘ s pentaprism. Push the back of the lens into the camera body and turn the breech-lock ring clockwise until it is tight.

- When the camera body and lens are stored separately, a rear lens cap attached to the back of the lens and a body cap on the camera are recommended.
- Avoid direct sunlight when changing lenses.
- On Canon FD lenses without an AE lock pin and on all FL and R lenses, make sure the breech·lock ring is turned to its full counterclockwise position (the red dot on the ring is opposite the focusing index mark) before mounting the lens.

N Using the Self-Timer
The self-timer on the EF provides a delay of approximately 10 sec. from the time the shutter button is pressed until the picture is actually taken. The self-timer can be used in place of a cable release to gently and smoothly release the shutter when slow speeds are used. Also, it allows the photog· rapher to include himself in his own pictures. Depress the self-timer lock button, located on the front right side of the camera, while turning the mUlti-purpose lever counterclockwise to unlock it. Cock the lever by continuing to turn it counterclockwise until it stops. Activate the self-timer by pressing the shutter button .
- The camera is usually placed on a tripod or other sturdy support when using the s.elf-timer.
- When taking a self-portrait, the exposure is automatically determined at the instant the shutter button is pressed and not when the picture is actually taken. Therefore, do not stand directly in front of the lens, as the Variable Aperture AE control might be fooled into producing an improper exposure. To prevent stray light from entering the viewfinder from the rear· and possibly affecting the meter reading, it is a good idea to cover the eyepiece with your hand just before pressing the shutter button. Or you can take off the rubber eyecup and close off the viewfinder complelely by slipping the plastic eyepiece/hot shoe cover over the eyepiece.
- After using the self-timer, the mUlti-purpose lever should be reset to its vertical , locked position.

O Previewing Depth-of-Field
If you focus on a particular subject and take a picture, some objects in front of and behind the main subject will be “in focus” in the final photograph. The distance between the nearest and farthest objects, which appear sharp, is called “depth-offield.” Three factors influence depth-of-field: the f/stop at which the picture is taken, the focal length of the lens, and the focused distance between the camera and subject. Depth-of-field decreases as the lens is opened-up. At fIlA, the maximum aperture of the standard 50mm lens, depth-of-field is very shallow permitting quick and easy focusing on the main subject. At the same f/stop and focused distance, lenses with short focal length (wide-angle lenses) have inherently greater depth-of-field than long lenses in the telephoto range. Also , at very close distances between the camera and subject, any lens has shallow depth-of-field . To preview depth-of-field in the viewfinder of the EF, follow this procedure : First operate the winding lever to cock the shutter. After you have focused and composed your picture in the normal way , check the aperture scale in the viewfinder and note the f/stop selected by the camera. Unlock the aperture ring and manually set it at this f/stop . Push the multi-purpose lever in toward


the lens until it stops. The viewfinder screen will darken offering you a visual preview of the depth-of-field. Another way of determining the depth-of-field is to check the depth-of-field scale engraved on the lens barrel. The f-numbers appear at both sides of the focusing index mark indicating the ~ear and far limits of depth for any given focused distance and lens opening. For example, with the standard 50mm lens focused at 15ft. (5m), depth-of-field at f/16 extends from 8ft. (2.5m) to infinity (00) . This method is particularly useful at small f/stops, when a visual preview of the depth-of-field becomes difficult, because the view- finder screen gets too dark.
- Selective focus is a creative technique used by many photographers to throw a distracting or unimportant background (or foreground) out of focus . Try using a slow film (ASA 100 or below) and a normal or telephoto lens. Focus on a subject close to the camera. Then choose a fast shutter speed which will permit the camera’s AE control to select a large f/stop, such as f/1.4 – 4.

- For those shots which demand almost unlimited depth-of-field, where every object in the photograph appears sharp, use your standard 50mm lens (or better yet, a wide-angle) and focus about half-way in between the nearest and farthest object. Adjust the shutter speed dial until the meter needle in the viewfinder points to f/16. If necessary , mount the camera on a tripod when slow shutter speeds are required .
P Taking a Stopped-Down Meter Reading
When you use Canon FL lenses or interpose bellows units, extension tubes etc. between the lens (either FL or FD lens) and the camera, it is necessary to take a stopped-down meter reading. First, operate the winding lever to cock the shutter. Unlock the aperture ring from the ‘A’ mark and push the multi-purpose lever in toward the lens until it stops. The method then is not to check that the needle on the right of the viewfinder screen is in the white part of the scale, but to bring the needle, by operation of the aperture and/or shutter speed control to the center of the index mark in the viewfinder. Release the multi-purpose lever and press the shutter button to take a perfectly exposed photograph.
- During stopped-down metering at small apertures, it is very difficult to focus properly, because depth-of-field is very deep, and the viewfinder screen is dark. Therefore, focus first before taking a stopped-down reading.
- Stopped-down metering should not be used with FD lenses (except in the case of interposing accessories such as bellows units between the lens and the camera) since the Canon EF and its FD lenses are designed for automatic exposure with light measurement done at the maximum aperture.

The above photo shows the lever locked to stopped down position for your convenience.
- On manual lenses and accessories, it is not necessary to push the multi-purpose lever in toward the lens. Simply adjust the f/stop or shutter speed until the meter needle is aligned with the stopped-down metering index mark. When using manual accessories between the camera body and an FD lens, lock the automatic/manual aperture lever in the manual position before installing the lens. On all FD lens except few, this is accomplished simply by pushing the largest lever on the back of the lens counterclockwise until it stops and locks into place. On the other lens which has a manual aperture lock lever, the largest lever must be pushed to the manual lock position and the manual aperture lock lever to the “L” position .
- You cannot make a meter reading with the 7.5mm fish-eye lens mounted on the EF, because the aperture scale is not visible. Use a hand-held meter instead.

Q Locking the Mirror Upward
Whenever it is imperative to completely eliminate all camera movement, you can lock the mirror in the “up” position before taking a picture . This is particularly necessary when the EF is mounted on a microscope or a bellows unit, where the slightest vibration of the camera is magnified many times in the final photograph. After you have focused, 10’ck the multi-purpose lever in its stopped-down position and take a meter reading. Then, turn the L-M lock lever to the orange “M” position, which. will flip the mirror up and lock it there. Take the shot by using a cable release to trip the shutter.

R Rewinding the Film
The winding lever will stop suddenly before the end of its stroke when you have reached the end of the roll of film . Don’t try to complete the stroke, as the film sprocket holes may be torn. To rewind the film, push in the rewind button located on the bottom of the camera. Next, fold out the crank from the rewind knob and turn it in the direction of the small arroW until you feel the tension in the film lessen. This .indicates that the film has left the multi-slot take-up spool. Turn the rewind crank one or two more revolutions to completely rewind the tip of the film, leader back into the cartridge. Then, pull up the rewind knob to open the camera back and lift out the cartridge.
- Avoid direct sunlight when unloading the film.
- Keep your exposed cartridges in a cool , dry and shady place and have them processed as soon as possible.
- Do not leave the same roll of film in your camera for months on end, since black and white film may become fogged, and color film may experience a definite color-shift.

S Turning the Camera Off
After you finish using the Canon EF, you should turn off the battery current flowing to the camera’s electrical circuits. Move the ON/OFF switch to the “OFF” position, and push the winding lever from its stand-off position back in toward the body to its locked position.
Reminder: To prevent unnecessary current drain from the batteries, be sure to turn the camera off after you are fin ished taking pictures.

INTERCHANGEABLE LENSES

Canon offers the widest selection of interchangeable lenses for any Variable Aperture AE camera being manufactured today. The FD series of lenses permit full AE operation and range from an incred bl 15mm full frame fish-eye which “sees” a full 180 to a 400mm telephoto having only a 6° angle of view . Included in this series is a 28mm wide-angle lens having a bright f/2 aperture, a 85mm f/1 .2 ASPHERICAL lens employing an aspherical element to completely eliminate flare, a 100mm f/4 macro lens focusing down to 40cm (1-.3 ft.l with the Ex-tension Tube FD 50, and a 300mm f/2J3 FLUORITE lens functioning as a 600mm f/5.6 lens with the Extender 2X. The FL and manual series, although not designed for AE photogtaphy, can be used on the Canon EF in the stopped· down metering mode. Lenses from a 7.5mm circular fish-eye lens all the way up to a 1200mm super-telephoto are available from Canon. Two special FL telephoto lenses each use one or more artificial flourite elements to help combat chromatic aberration, a universal problem present in telephoto lens designs. (Even a fantastic 5200mm f/14 mirror lens is available from the factory by special order.) All Canon lenses are world-famous for their incredible resolving power, high image contrast,
superior color balance, and lack of aberrations. Most lenses are now multilayer coated with Canon’s exclusive process, called “Super Spectra Coating.” S.S.C. indicates multi -layer coating, whereas S.C . (Spectra Coating) indicates single layer coating . Each Canon FD lens has an easy to hold diamontue rubber focusing grip and is supplied with a leather carrying case . I n addition, most lenses have either a built-in or special bayonet mounting lens hood. The latter can be easily stored on the lens in the reversed position . To produce pictures of the highest quality, always use Canon interchangeable lenses with your Canon EF.
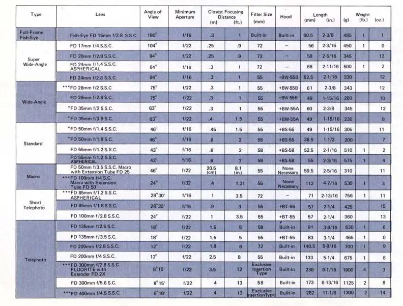
FD SERIES (FOR AE OPERATION)

![]()
FL AND MANUAL SERIES (FOR STOPPED-DOWN METERING)
![]()
* Equipped with a coupling pin for Canon Automatic Tuning System.
** Front component interchangeable type. Focusing adapter (2 elements, 1 group. F L automatic diaphragm, with A ·M ring!.
*** New Lenses +
* FO lens hoods are of bayOflet mount.
** Filter is of insertion type with holder .
***Macro focusing capability to .3m (Ht.) from the film plane.
Subject to change with oul notice.
ACCESSORIES
Practically anything you can conceive, your Canon EF can photograph . With a comprehensive line of accessoiesto choose from, you can take pictures of crystal structures by attaching the camera directly to a microscope via the Photomicro Unit F. Use the Magnifier S (plus Adapter S) over the eyepiece to enlarge the center microprism for critical focusing . You can duplicate your favorite color slides by using the Bellows FL, the FD 50mm f/3.5 S.S .C. Macro lens, and the Slide Duplicator. Or you can easily copy pages from books or magazines with the camera securely mounted on either of Canon’s two copy stands – the larger Copy Stand 4, or the less expensive Handy Stand F. The Angle Finder A2 or B can . be attached to the camera’s eyepiece for convenient viewing when the camera is not at eye level. Close-up focusing may be accomplished in a number of ways, either by using a macro lens, by using Canon Close-up Lenses, by using the Extension Tubes FL 15 or F L 25, by using the Bellows F L or Bellows M, or by using the standard 50mm lens in the reverse position with the aid of the Macrophoto Coupler FL55. If you wear eyeglasses, there are ten strengths of Dioptric Adjustment Lenses for eyesight correctio·n. Canon also makes its own electronic flash units, cable releases, scores of filters and two gadget bags .

| 1. Eyecup 2. Dioptric Adjustment Lenses 3. Angle Finders A2 and B 4. Magnifier S 5. Magnifier Adapter S 6. Canon Speed lite 1330 and Flash-Auto Ring A 2 or B2 7. Bellows FL | 8. Bellows M 9. Macro photo Coupler FL 55 and FL 58 10. Slide Duplicator 11. Extension Tube M Set 12. Micro photo Hood 13. Photo micro Unit F 14. Canon Release 30 and 50 |

| 15. 58mm Close-up Lenses 16. 55mm Close-up Lenses 17. 55mm/58mm Filter 18. Lens Hood | 19. Handy Stand F 20. Copy Stand 4 21 . Camera Holder F2 22. Gadget Bag 4 and G-l |

SPECIFICATIONS
Type: 35mm single-lens-reflex AE (Automatic Exposure) camera with focal plane shutteL
Format: 24 x 36mm.
Standard Lens:
Canon FD 50mm f/l.4 S .S.C.,
Canon FD 55mm f/l .2 S.S.C., or
Canon FD 50mm f/l.8 S.C.
Interchangeable Lenses: FD series for AE photog
raphy; FL series for stopped-down metering.
Viewfinder: Fixed eye-level pentaprism.
Viewfinder Information: Aperture scale with meter needle, over and underexposure warning marks, stopped-down metering index mark, shutter
speed scale and indicator.
Focusing Screen: Split-image/microprism surrounded by ground glass with Fresnel screen. Field of View: 92% vertical and 93% horizontal coverage of actual picture area.
Magnification: 0 .82X at infinity with the standard 50mm lens.
Eyepiece Accessories: Angle f inders, magnifier, 4 strengths of eyesight correction lenses, and an eye-cup can be attached.
Mirror: Instant-return type.
Electro-Mechanical Shutter: Vertically moving metal focal plane shutter. 1/2 sec . – 1/1000 sec. and B in 11 steps (mechanically controlled); 30
-1 sec. in 6 steps (electronically controlled).
Shutter Speed Dial:
B, 1-1/1000 sec . white marking
1/125 sec . (X sync) orange marking
30- 2 sec. yellow-marking
Slow Shutter Speed Indicator: Light Emitting Diode (LED) flashes when shutter speeds from 1- 30 sec. are used.
Self-Timer: The built-in self-timer is activated by the shutter button with a time lag of approximately 10 sec. A self-timer lock button prevents unintentional operation.
Exposure Adjustment: Variable Aperture AE with F D series lenses. The aperture is adjusted automatically after shutter speed and ASA are set.
Central Emphasis Metering gives an average reading of the screen brightness with more emphasis on the center portion utilizing a wide range Silicon Photocell. Stopped-down metering is possible with FL lenses.
Exposure Meter Coupling Range: EV -2 to EV 18 at ASA 100 with F D 50mm f/l.4 lens: 8 sec. at f/l.4 to 1/1,000 sec. at f/16. At ASA 25 : 30 sec. at f/l.4 to 1/1000 sec . at f/8 .
Film Speed Range: ASA 12 – ASA 3200.
Power Source: Two 1.3 volt mercury batteries (Mallory PX625, Eveready EPX625).
Battery Check: LED flashes when battery check button is depressed if power is sufficient.
AE Memory Lock: The f/stop set by the Variable Aperture AE control may be locked-in by pressing a button.
Flash Synchronization: X synchronization at 1/125 sec. and below; M, MF, and FP bulb synchronization at 1/15 sec . and below.
Flash: Built-in hot shoe has direct contacts (for Canon Auto Tuning System) . The sync terminal with a built-in cover is on the left end of the camera body.
Canon Auto Tuning (CAT) System: Possible by combination of the Flash Auto-Ring A2 or B2 and the Speed lite 133D. According to the ASA
and focused distance, the aperture is adjusted automatically with the selected f/stop indicated in the viewfinder.
Multiple Exposures: Possible by depressing the multiple exposure button while operating the winding lever. Operation may be repeated any number of times. The frame counter is stopped during multiple exposures.
Lens Mount: Canon Breech Lock: FD, FL and R lenses can be used.
Depth·of-Field Preview: Possible by pressing the multi-purpose lever, after manually setting the aperture ring and cocking the shutter.
Automatic Blank Shot Mechanism: Film may be advanced to frame No. 1 simply by using the winding lever. Use of the shutter button is not
needed when making blank shots.
Film Loading: Performed by pulling up the rewind crank to open the back cover. Easy film loading with multi-slot take-up spool.
Winding Lever: Single stroke 120 0 0 throw. 15 stand-off. The lever moves to the stand-6ft position when the camera is turned on.
Film Rewinding: Performed by the rewind button and crank.
Frame Counter: 5-1-38, automatically resets when back cover is opened.
Dimensions: Body Only – 151 x 96 x 48mm. (5-15/16″ x 3-3/4″ x 1-7/8″). With f/1.4 Lens-151 x 96 x 100mm. (5-15/16″ x 3-3/4″ x 3-15/16″) .
Weight: Body Only-740g (1 lb. 100zs.). With f/1.4 Lens- 1045g (2 Ibs. 50zs.).
PROPER CARE OF THE CAMERA
A Cleaning the Camera and Lens
Use a camel hair or blower brush to clean the film cartridge chamber and the area around the multi-slot take-up spool before loading film into the camera. Also, use the brush to whisk away dirt and dust from the eyepiece and the front and rear surfaces of the lens. If salt water spray or fingerprints inadvertently get on the lens, they should be cleaned off as soon as possible using commercially-available cleaning tissue and a good quality lens cleaning liquid . Put one or two drops of cleaning liquid on the tissue , and lightly wipe the lens in a .circular motion from the center toward the outer edges. Do not use a handkerchief or other cloth, as the lens elements may be permanently scratched. If you cannot remove dust particles from the surface of the instantreturn mirror simply by brushing, you should not attempt to clean the mirror yourself with tissue and cleaning liquid. Only an authorized serviceman should undertake this delicate task. Actually dirt on the mirror has absolutely no effect on the quality of your photographs.
B Storing the Camera
If the camera will not be used for an extended length of time, leave the shutter uncocked and remove the mercury batteries. Take the camera out of its eveready case and wrap it up in a clean, soft towel together with silica gel or some other desiccant to keep it dry .
C Using the Camera in Extremely Cold Conditions
In severely cold weather (down to _20° C or _4° F), you should keep the Canon EF inside your coat and expose it to the outer air only when you are ready to take a picture. This procedure is necessary primarily to keep the mercury batteries warm. Since the film gets brittle at low temperatures, perform film winding and rewinding as slowly as possible.
D Having the Camera Serviced
You should never attempt to disassemble or repair the Canon EF yourself! If the camera ceases to function properly, it should be serviced by an authorized Canon repair facil ity . See your local camera dealer for further details.
Fold out both front and back nomenclature pages for easy reference when reading the instructions.

NOMENCLATURE

| 26. CAT Switch 27. Eyepiece 28 . Metal Focal Plane Shutter 29. Multiple Exposure Button 30. ON/OFF Switch 31 . Film Roller 32. Pressure Plate 33. Film Cartridge Chamber | 34. Battery Check Button 35. Battery Compartments with Covers 36. Tripod Socket 37. Film Plane Rails 38. Film Transport Sprocket 39. Film Rewind Button 40. Multi-Slot Take-Up Spool 41. Ba.ck Cover 42. Cartridge Stabil izer |
FILTERS
CANON FILTERS (Screw-in type)
| For B lack and White Film | ||
| Type | Factor | Use and Effect |
| ‘ UV | IX | Recommended especially for high mountain areas and where ultra-violet rays are strong. |
| Yl | 1 .5X | For landscapes and portraits with low sun. Darkens the blue of the sea and sky and brings out the whiteness of the clouds. |
| Y3 | 2X | For landscapes and stilllife. This filter is similar to the Y 1, but the effects are stronger. |
| Gl | 2X | For portraits against the sky. Natural reproduction of foliage. |
| 01 | 3X | For haze penetration, contrast in marine scenes, distant landscapes, aerial photography and sky/cloud contrast. |
| ···R1 | 6X | For distant landscapes. Exaggerated sky/cloud contrast with a very dark sky. Gives dramatic and interesting effects. |
| ‘NO-4 | 4X | Neutral gensity filters are used only to control exposure and have no effect on colors. |
| ‘NO-8 | 8X | E specially used with high speed black and white film in bright daylight. |
| ‘For Color Film | ||
| Type | Factor | Use and Effect |
| Sky-light | IX | For distant snow or mountain scenes on an overcast day and for open shade photos under a clear sky to reduce ex-cessive bluish results. |
| CCA4 (Amber) | 1.5X | Used with daylight type film for shoot-In9 in cloudy , or rainy weather or in the shade. Eliminates bluish tinge. |
| CCA8 (Amber) | 2X | Used with tungsten type film for shoot~ing in the morning or evening. |
| CCA12 (Amber) | 2X | Used with tungsten type film for shoot-ing in sunlight to obtain normal color tones. |
| CCB4 (Blue) | 1.5X | Used with daylight type film for shoot ing in the morning or evening to elim-inate reddish tinge. |
| CCB8 (Blue) | 2X | Used with daylight type film for shooting at night or indoors with clear flash bulbs. |
| CCB12 (Blue) | 3X | Used with daylight type film for shooting under artificial lighting to obtain normal color rendition. |
* Also can be used with color film
** For color infrared film.
*** For black and white infrared film.


PUB. IE lOO8 P
0576D6
PRI NTED IN JAPAN














