Lenovo ThinkAgile HX3321 Certified Node for SAP HANA (Xeon SP Gen 1)

Lenovo ThinkAgile HX Certified Nodes for SAP HANA are designed to help you simplify IT infrastructure, reduce costs, and accelerate time to value. These hyper-converged appliances from Lenovo combine industry-leading hyper-convergence software from Nutanix with Lenovo enterprise platforms that feature the Intel Xeon Processor Scalable Family. The ThinkAgile HX Certified Nodes for SAP HANA delivers fully validated and integrated Lenovo hardware and firmware, certified and preloaded with Nutanix software. Nutanix brings the benefits of web-scale technologies to enterprise applications through enterprise storage, data protection, infrastructure resilience, management and analytics, and security.
The ThinkAgile HX3321 Certified Node for SAP HANA is a 1U rack-mount system that supports two processors, up to 3 TB of 2666 MHz TruDDR4 memory, 10x or 12x SFF hot-swap drive bays with an extensive choice of SAS/SATA SSDs and HDDs, and flexible network connectivity options with 1/10 GbE RJ-45, 10 GbE SFP+, and 10/25 GbE SFP28 ports The ThinkAgile HX3321 Certified Node for SAP HANA is certified by SAP for deploying SAP HANA solutions on hyper-converged infrastructure (HCI) in production environments. The ThinkAgile HX3321 Certified Node for SAP HANA is shown in the following figure.
Did you know?
The ThinkAgile HX Certified Nodes for SAP HANA are built on industry-leading Lenovo ThinkSystem servers that feature enterprise-class reliability, management, and security. The ThinkAgile HX Certified Nodes for SAP HANA deliver fully validated and integrated hardware and firmware that is certified with Nutanix software.
Key features
The ThinkAgile HX Certified Nodes for SAP HANA is designed for the industry’s most feature-rich hyper-converged infrastructure from Nutanix. Nutanix brings the benefits of web-scale technologies to enterprise applications through enterprise storage, data protection, infrastructure resilience, management and analytics, and security. The ThinkAgile HX Certified Nodes for SAP HANA offers the following key features: Certified to run SAP HANA in production on hyper-converged infrastructure.
- Built on proven and reliable Lenovo ThinkSystem servers featuring Intel Xeon Processor Scalable Family that provide compute power for SAP HANA workloads.
- Meet workload demands with performance-optimized all-flash storage configurations.
- Deliver fully validated and integrated hardware and firmware that is certified with Nutanix software.
- Preloaded with Nutanix software and ready for out-of-box deployment (software licenses are not included).
- Provide flexibility in using the existing Nutanix term-based software licenses and active support contracts or purchasing new software licenses and support contracts from Nutanix.
- Offer optional Lenovo Professional Services to get customers up and running quickly.
The Nutanix software running on the ThinkAgile HX Certified Nodes for SAP HANA deliver the following key features:
- A natively integrated solution for data protection and continuous availability at VM granularity that gives administrators an affordable range of options to meet the recovery point objectives (RPO) and recovery time objectives (RTO) for different applications.
- A fault-resistant platform, with no single point of failure and no bottlenecks with shared-nothing architecture, where all data, metadata and services are distributed to all nodes within the cluster, that is built to detect, isolate and recover from failures anywhere in the system.
- An intuitive user-centric management experience to simplify every aspect of the IT infrastructure lifecycle and provide a single pane of glass to monitor and control Nutanix clusters, with simplified workflows and rich automation for common administrative tasks.
- Powerful security features, such as two-factor authentication and data-at-rest encryption, with a security development lifecycle that is integrated into product development to help customers meet the most stringent security requirements.
Components and connectors
The following figure shows the front view of the ThinkAgile HX3321 Certified Node for SAP HANA.
Lenovo ThinkAgile HX3321 Certified Node for SAP HANA (Xeon SP Gen 1) (withdrawn product)The front of the ThinkAgile HX3321 Certified Node for SAP HANA includes the following components:
- 6x SAS/SATA and 4x AnyBay 2.5-inch hot-swap drive bays One VGA port
- One USB 2.0 port with XClarity Controller access
- One USB 3.0 port
- A Power button
- Status LEDs
The following figure shows the rear view of the ThinkAgile HX3321 Certified Node for SAP HANA with 10 drive bays.
Figure 3. ThinkAgile HX3321 Certified Node for SAP HANA 10-drive bay rear view The following figure shows the rear view of the ThinkAgile HX3321 Certified Node for SAP HANA with 12 drive bays.
Figure 4. ThinkAgile HX3321 Certified Node for SAP HANA 12-drive bay rear view The rear of the ThinkAgile HX3321 Certified Node for SAP HANA includes the following components:
- Three (models with 10 drive bays) or one (models with 12 drive bays) PCIe expansion slots Two SFF SAS/SATA hot-swap rear drive bays (models with 12 drive bays)
- One LOM card slot
- One 1 GbE port for XClarity Controller
- One VGA port
- Two USB 3.0 ports
- Two hot-swap power supplies
System specifications
The following table lists the system specifications of the ThinkAgile HX3321 Certified Node for SAP HANA.
Table 1. ThinkAgile HX3321 Certified Node for SAP HANA system specifications

Factory-integrated models
Product availability: The ThinkAgile HX3321 Certified Nodes for SAP HANA that use the first generation of the Intel Xeon Processor Scalable Family are withdrawn and no longer available for ordering. For currently available ThinkAgile HX3321 Certified Nodes for SAP HANA that use the second generation of the Intel Xeon Processor Scalable Family, refer to the Lenovo ThinkAgile HX3321 Certified Node for SAP HANA Certified Node (Xeon SP Gen 2) product guide: http://lenovopress.com/lp1246
Factory-integrated models of the ThinkAgile HX Certified Nodes for SAP HANA are configured by using the Lenovo Data Center Solution Configurator (DCSC):
http://dcsc.lenovo.com During the configuration process, you are selecting one of the base Configure-to-Order (CTO) models first, and then you are adding components (processors, memory, drives, and network adapters) to the selected model according to the output from the Nutanix Sizer tool: http://services.nutanix.com/
The following table lists the CTO base model for the ThinkAgile HX3321 Certified Node for SAP HANA.
Table 2. CTO base model
The following table lists the base chassis for the ThinkAgile HX3321 Certified Node for SAP HANA. Table 3. Base chassis
The ThinkAgile HX3321 Certified Node for SAP HANA ships with the following items:
- Electronic Publications Flyer
- Tool-less Slide Rail Kit with or without 1U CMA (depending on the rack installation option selected)
- With or without two rack power cables or line cords (depending on the power cable option selection)
Memory
The ThinkAgile HX3321 Certified Node for SAP HANA supports Lenovo TruDDR4 memory. TruDDR4 memory uses the highest-quality components sourced from Tier 1 DRAM suppliers and only memory that meets strict requirements is selected. It is compatibility tested and tuned to maximize performance and reliability. The HX3321 for SAP HANA supports 12 or 24 DIMMs. Each processor has six memory channels, and there are two DIMM slots per channel. The following rules apply when selecting the memory configuration:
- The certified node supports RDIMMs, LRDIMMs, or 3DS RDIMMs with rated speed of 2666 MHz, and all DIMMs in the certified node must be of the same type (RDIMMs, LRDIMMs, or 3DS RDIMMs).
- The following memory capacities are supported by the certified node: 192 GB, 288 GB, 384 GB, 576 GB, 768 GB, 1.5 TB, 2.25 TB, and 3 TB.
- In configurations with other than 288 GB, 576 GB, or 2.25 TB of memory capacity, all DIMMs in the certified node must be of the same type, rank, and capacity (the same part number or feature code).
- In the configurations with 288 GB of memory capacity, a combination of 8 GB and 16 GB RDIMMs is allowed.
In the configurations with 576 GB of memory capacity, a combination of 16 GB and 32 GB RDIMMs is allowed. - In the configurations with 2.25 TB of memory capacity, a combination of 64 GB and 128 GB 3DS RDIMMs is allowed.
- All DIMMs in the certified node operate at the same speed up to 2666 MHz, which is determined by the maximum memory speed supported by the specific processor.
- Note: Maximum memory speed can be achieved when Max performance mode is enabled in UEFI.
- Certified node configurations with 2.25 TB or 3 TB of memory capacity per socket require processors that support more than 1 TB per socket (M-suffix).
The following memory protection technologies are supported:
- ECC
- SDDC (for x4-based memory DIMMs)
- ADC (for x4-based memory DIMMs; Gold and Platinum processors only) Patrol scrubbing
- Demand scrubbing
The following table lists the memory options that are available for selection.
Internal storage
The ThinkAgile HX3321 Certified Node for SAP HANA provides 10x or 12x SAS/SATA SFF hot-swap drive bays for configurable storage capacity, and it contains two internal M.2 SATA non-hot-swap SSDs configured in a RAID-1 drive group for software preload. The following table lists the internal storage options for the ThinkAgile HX3321 Certified Node for SAP HANA.
Table 5. Internal storage options
Configuration notes
- One 10-bay drive backplane and one M.2 with Mirroring Enablement Kit are derived by the configurator.
- If more than 10 SSDs are selected, the certified node provides 10 front and 2 rear drive bays (the Rear HDD Kit is derived by the configurator). If 10 or fewer drives are selected, the certified node provides 10 front drive bays only (the rear drive bays are not present).
- More than 10 drives can be selected for the ThinkAgile HX3321 Certified Node for SAP HANA only with processors of up to 125 W TDP.
- The M.2 with Mirroring Enablement Kit is connected to the Intel PCH via the PCIe link, and the kit supports two M.2 SATA SSDs configured in a RAID-1 drive group for software preload.
The following table lists M.2 drive selection options for software preload. Table 6. Drive options for software preload
Configuration note: Two M.2 SATA SSDs are required for selection, and they must be of the same model and capacity. The following table lists the storage controllers for internal storage of the ThinkAgile HX3321 Certified Node for SAP HANA.
Table 7. Controllers for internal storage
Configuration note: A low-profile SAS HBA for internal storage is derived by the configurator, and it occupies the PCIe slot 4.
Drives for internal storage
The following tables list the drive selection options.
Table 8. Drive selection options: All Flash configurations
Configuration notes
- For All Flash configurations, the ThinkAgile HX3321 Certified Node for SAP HANA supports from 8 to 12 SSDs in increments of 2 drives.
- All SSDs in the certified node must be of the same model and capacity.
- More than 10 drives can be selected for the ThinkAgile HX3321 Certified Node for SAP HANA only with processors of up to 125 W TDP.
Network connectivity
The ThinkAgile HX3321 Certified Node for SAP HANA provides two- or four-port 1/10 GbE RJ-45 or 10 GbE SFP+ network connectivity with the onboard Intel X722 NIC and a LOM card installed in the certified node. Two, four, or six additional 1/10 GbE RJ-45, 10 GbE SFP+, or 25 GbE SFP28 ports can be selected, if needed. The following table lists the network adapter options that are available for selection. Table 9. Network adapter selection options
The maximum number of expansion adapters supported in the HX3321 12-drive bay certified node is one.
Configuration notes:
- One of the 1/10 GbE RJ-45 or 10 GbE SFP+ LOM cards is required for selection. Additional 1/10 GbE RJ-45, 10 GbE SFP+, or 25 GbE SFP28 ports can be selected for the certified node, if needed.
- Supported transceivers or DAC cables should be purchased for the SFP+ and SFP28 ports, and UTP Category 6 cables should be purchased for the 10 GbE RJ-45 ports.
- The maximum number of transceivers or cables that are supported per adapter equals the quantity of the adapter ports, and all adapter ports must have the same type of transceiver or cable selected.
The following transceiver and cables can be purchased:- UTP cables for 1/10 GbE RJ-45 ports
- Transceivers and cables for 10 GbE SFP+ ports
- Transceivers and cables for 25 GbE SFP28 ports
The following table lists cables for the 1/10 GbE RJ-45 ports. Table 10. Cables for 1/10 GbE RJ-45 ports
Lenovo ThinkAgile HX3321 Certified Node for SAP HANA (Xeon SP Gen 1) (withdrawn product)
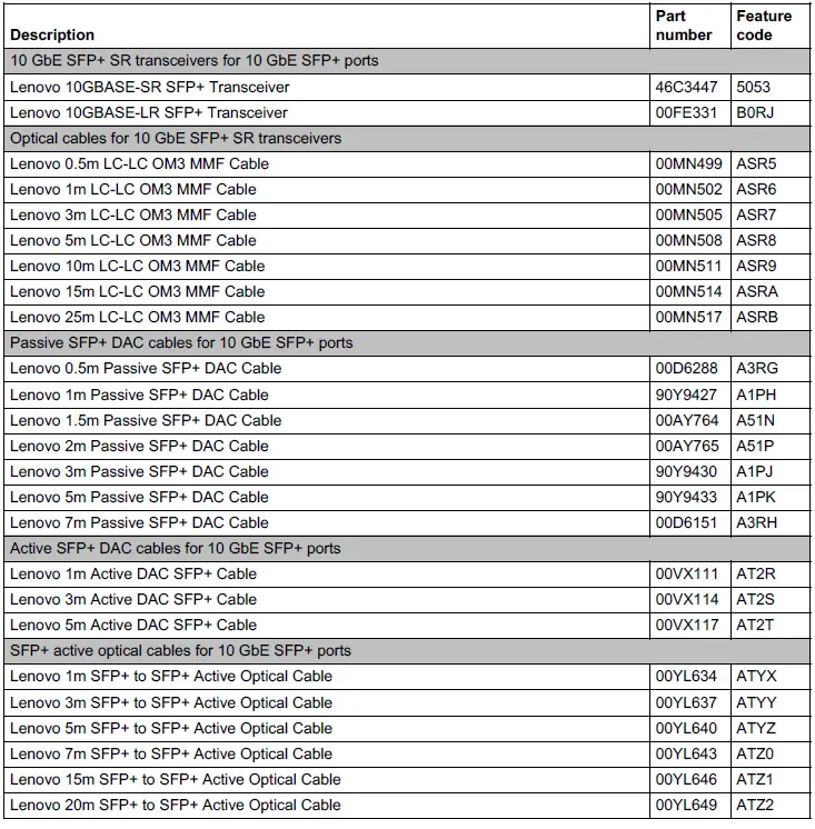
The following table lists transceivers and cables for the 10 GbE SFP+ ports. Table 11. Transceivers and cables for 10 GbE SFP+ ports
The following table lists transceivers and cables for the 25 GbE SFP28 ports. Table 12. Transceivers and cables for 25 GbE SFP28 ports power supplies and cables The ThinkAgile HX3321 Certified Nodes for SAP HANA ship with two power supplies. The following table lists the power supply options that are available for selection.
Table 13. Power supply selection options
Configuration notes
- For N+N power redundancy, the power supplies should provide sufficient power without oversubscription for the selected node configuration. To ensure that the right power supply is chosen, you should always validate your node configuration using the latest version of the Lenovo Capacity Planner:
http://datacentersupport.lenovo.com/us/en/solutions/lnvo-lcp Both power supplies in the certified node must be identical. The power supplies support AC (Worldwide) and HVDC (China only) power sources.
The ThinkAgile HX3321 Certified Nodes for SAP HANA ship with or without power cords depending on the selected option. The following table lists the rack power cables and line cords that are available for selection.
Table 14. Power cables
Configuration note: If the 1100 W AC power supplies in the certified node are connected to a low-voltage power source (100 – 125 V), the only supported power cables are those that are rated above 10 A; cables that are rated at 10 A are not supported.
Rack installation
The ThinkAgile HX3321 Certified Nodes for SAP HANA ship with a rail kit. The following table lists the rail kit options that are available for selection.
Table 15. Rack kit selection options
Configuration note: One of the rail kits is required for selection. The following table summarizes the rail kit features and specifications.
Table 16. Rail kit features and specifications summary
If a 0U PDU is used, the rack cabinet must be at least 1100 mm (43.31 in.) deep if no CMA is used, or at least 1200 mm (47.24 in.) deep if a CMA is used. Measured when mounted on the rack, from the front surface of the front mounting flange to the rear most point of the rail.
Software
The ThinkAgile HX3321 Certified Node for SAP HANA supports the Nutanix AHV hypervisor (bundled with AOS) that is factory-preinstalled on the 2x M.2 SSDs configured in a RAID-1 drive group. The following table lists the hypervisor. Table 17. Hypervisor
The ThinkAgile HX Certified Nodes for SAP HANA are shipped with the Nutanix software preloaded. Nutanix software licenses and software support are not included. Customers can use the existing Nutanix term-based software licenses and active support contracts, or they can purchase term-based software licenses and support contracts from Nutanix.
Configuration notes:
- The ThinkAgile HX Certified Nodes for SAP HANA supports the Nutanix Software Pro and Ultimate editions; the Starter edition is not supported.
- The ThinkAgile HX3321 Certified Nodes for SAP HANA can be deployed as a cluster of 3 or more nodes (AOS 5.9 or later).
SAP HANA software licenses are purchased separately from SAP. Also, SUSE Linux Enterprise Server or Red Hat Enterprise Linux Server licenses are needed for deploying virtual machines for the SAP HANA virtualized environment. Optional Lenovo Professional Services are available to deploy SAP HANA software stack at the customer site.
Systems management
The ThinkAgile HX Certified Nodes for SAP HANA supports the following systems management tools:
- Lenovo XClarity Controller
- Light path diagnostics
- Lenovo XClarity Administrator and XClarity Pro Lenovo XClarity Energy Manager
Lenovo XClarity Controller
The ThinkAgile HX Certified Nodes for SAP HANA contain Lenovo XClarity Controller (XCC) Enterprise, which provides advanced service-processor control, monitoring, and alerting functions.XClarity Controller Enterprise offers the following capabilities for the ThinkAgile HX Certified Nodes for SAP HANA:
- Gathering and viewing system information and inventory
- Monitoring system status and health
- Alerting and notifications
- Event logging
- Syslog alerting
- Configuring security
- Updating system firmware
- Real-time power usage monitoring
- Displaying graphics for real-time and historical power usage data and temperature Capping power usage
- Remotely controlling power (Power on, Power off, Restart)
The XClarity Controller provides remote server management through the following interfaces:
- Intelligent Platform Management Interface (IPMI) Version 2.0
- Simple Network Management Protocol (SNMP) Version 3
- Common Information Model (CIM)
- Data Center Manageability Interface (DCMI) Version 1.5
- Redfish REpresentational State Transfer (REST) API
- Web browser with HTML5 support
- Command-line interface
- Virtual Operator Panel with XClarity Mobile App via the front USB port with XClarity Controller access
Virtual Operator Panel provides quick access to system status, firmware, network, health, and alerts information. With proper authentication, it also allows configuring systems management and network settings and to control system power (Power on, Power off, Restart). The Virtual Operator Panel can be accessed from the XClarity Mobile App running on the Android or iOS mobile device that is connected to the front USB port with XClarity Controller access (See Components and connectors ).
Light path diagnostics
The ThinkAgile HX3321 Certified Node for SAP HANA Certified Nodes include basic light path diagnostics, which provides the system LEDs on the front of the certified node (see Components and connectors ) and the LEDs near the monitored components (for example, the DIMM error LEDs on the system board).
Lenovo XClarity Administrator and XClarity Pro
Lenovo XClarity Administrator is a centralized systems management solution that helps administrators deliver infrastructure faster. This solution integrates easily with Lenovo x86 servers, appliances, certified nodes, Top-of-Rack Ethernet switches, and storage systems, providing automated agent-less discovery, inventory, monitoring, and alerts across multiple systems. In addition, some managed endpoints support firmware updates and configuration management. Lenovo XClarity Administrator is an optional software component for the ThinkAgile HX Certified Nodes for SAP HANA which can be used to manage firmware upgrades outside of the Nutanix Prism software.
Notes:
- Lenovo XClarity Administrator can be downloaded and used at no charge to discover and monitor ThinkAgile HX Certified Nodes for SAP HANA and manage firmware upgrades for them.
- An optional Lenovo XClarity Pro subscription license that can be selected in the configurator provides software support for XClarity Administrator for the duration of the selected warranty period.
- If Lenovo XClarity software support is required, the XClarity Pro option must be selected
The XClarity Pro license can be added during the initial purchase by selecting one of the software options listed in the following table.
Table 18. XClarity Pro selection options
Also, XClarity Pro licenses can be added after the initial deployment by purchasing one of the software license options listed in the following table.
Table 19. Lenovo XClarity Pro license options
NA = North America; AP = Asia Pacific.
EMEA = Europe, Middle East, Africa; LA = Latin America.
Lenovo XClarity Administrator is available from Lenovo at no charge, and it offers the following features:
- Auto-discovery and monitoring of ThinkAgile HX Certified Nodes for SAP HANA
- Firmware updates and compliance enforcement
- External alerts and notifications via SNMP traps, syslog remote logging, and e-mail
- Secure connections to managed endpoints
- NIST 800-131A or FIPS 140-2 compliant cryptographic standards between the management solution and managed endpoints
- Integration into existing higher-level management systems such as cloud automation and orchestration tools through REST APIs, providing extensive external visibility and control over hardware resources
- An intuitive, easy-to-use GUI
- Scripting support with Windows PowerShell, providing command-line visibility and control over hardware resources
For more information, refer to the Lenovo XClarity Administrator Product Guide:
http://lenovopress.com/tips1200
Lenovo XClarity Energy Manager Lenovo XClarity Energy Manager provides a stand-alone, web-based agent-less power management console that provides real-time data and enables customers to observe, plan and manage power and cooling for Lenovo servers and appliances. Using built-in intelligence, XClarity Energy Manager identifies power consumption trends and ideal power settings, and it performs cooling analysis so that customers can define and optimize their power-saving policies.
Lenovo XClarity Energy Manager offers the following capabilities:
- Monitors room, row, rack, and device levels in the data center
- Reports vital system information, such as power, temperature and resource utilization Monitors inlet temperature to locate hot spots, reducing the risk of data or device damage Provides finely-grained controls to limit platform power in compliance with IT policy Generates alerts when a user-defined threshold is reached
Lenovo XClarity Energy Manager license is included in the XClarity Controller Enterprise upgrade. For more information, refer to the Lenovo XClarity Energy Manager web page:
http://datacentersupport.lenovo.com/us/en/solutions/lnvo-lxem
Physical specifications
The ThinkAgile HX3321 Certified Nodes for SAP HANA have the following dimensions and weight (approximate):
- Height: 43 mm (1.7 in.)
- Width: 434 mm (17.1 in.)
- Depth: 715 mm (28.1 in.)
- Weight (maximum): 18.8 kg (41.4 lb)
Operating environment
The ThinkAgile HX Certified Nodes for SAP HANA comply with ASHRAE class A2 specifications. The node performance might be impacted when the operating temperature is outside the ASHRAE A2 specifications. Depending on the hardware configuration, some ThinkAgile HX3321 Certified Nodes for SAP HANA comply with ASHRAE class A3 and class A4 specifications. To comply with ASHRAE class A3 and class A4 specifications, the nodes must meet the following hardware configuration requirements at the same time:
- Processors with TDP more than or equal to 150 W not installed. Intel Xeon 6126, 6132, 6134, and 6134M processors not installed.
- The ThinkAgile HX Certified Nodes for SAP HANA are supported in the following environment:
- ASHRAE Class A4: 5 °C – 45 °C (41 °F – 113 °F); for altitudes above 900 m (2,953 ft), decrease the maximum ambient temperature by 1 °C for every 125-m (410-ft) increase in altitude
- ASHRAE Class A3: 5 °C – 40 °C (41 °F – 104 °F); for altitudes above 900 m (2,953 ft), decrease the maximum ambient temperature by 1 °C for every 175-m (574-ft) increase in altitude
- ASHRAE Class A2: 10 °C – 35 °C (50 °F – 95 °F); for altitudes above 900 m (2,953 ft), decrease the maximum ambient temperature by 1 °C for every 300-m (984-ft) increase in altitude
- ASHRAE Class A4: 8% – 90% (non-condensing); maximum dew point: 24 °C (75 °F) ASHRAE Class A3: 8% – 85% (non-condensing); maximum dew point: 24 °C (75 °F) ASHRAE Class A2: 8% – 80% (non-condensing); maximum dew point: 21 °C (70 °F)
The following table lists the maximum system power load, rated inlet current, and system heat output based on the power supply and source voltage.
Table 20. Rated system power, inlet current, and system heat output
Regulatory compliance
The ThinkAgile HX Certified Nodes for SAP HANA conform to the following regulations:
- United States FCC Part 15, Class A
- Canada ICES-003/NMB-03, Class A
- UL/CSA 60950-1
- Mexico NOM-019
- Argentina IEC60950-1
- Japan VCCI, Class A
- Australia/New Zealand AS/NZS CISPR 22, Class A
- China CCC GB4943.1, GB9254 Class A, GB17625.1
- Taiwan BSMI CNS13438, Class A; CNS14336-1
- Korea KN22, Class A; KN24
- Russia/GOST ME01; IEC-60950-1; GOST R 51318.22, 51318.24, 51317.3.2, and 51317.3.3 IEC 60950-1 (CB Certificate and CB Test Report)
- Europe CE Mark (EN55022 Class A, EN60950-1, EN55024, EN61000-3-2, EN61000-3-3) CISPR 22, Class A
- Germany TUV-GS (EN60950-1/IEC60950-1, EK1-ITB2000)
- Reduction of Hazardous Substances (ROHS)
- Energy Star 3.0
Warranty and support
The ThinkAgile HX Certified Nodes for SAP HANA can be configured with a three-, four, or five-year hardware warranty and various levels of service coverage with a well-defined scope of services, including service hours, response time, term of service, and service agreement terms and conditions. The base warranty provides 9×5 Next Business Day response with parts delivered. Lenovo’s additional support services provide a sophisticated, unified support structure for a customer’s data center, with an experience consistently ranked number one in customer satisfaction worldwide. The following Lenovo support services are available for selection:
- Warranty service level upgrades (Preconfigured Support) are available to meet the on-site response time targets that match the criticality of customer’s systems:
- 3, 4, or 5 years of service coverage.
- 1-year or 2-year post-warranty extensions.
- Foundation Service: 9×5 service coverage with next business day onsite response, with optional YourDrive YourData.
- Essential Service: 24×7 service coverage with a 4-hour onsite response or 24-hour committed repair (available only in select regions), bundled with YourDrive YourData.
- Advanced Service: 24×7 service coverage with 2-hour onsite response or 6-hour committed repair (available only in select regions), bundled with YourDrive YourData.
Managed Services
Lenovo Managed Services provide continuous 24×7 remote monitoring (plus 24×7 call center availability) and proactive management of a customer’s data center using state of the art tools, systems, and practices by a team of highly skilled and experienced Lenovo services professionals Quarterly reviews check error logs, verify firmware and operating system device driver levels, and software as needed. Lenovo will also maintain records of latest patches, critical updates, and firmware levels, to ensure customers’ systems are providing business value through optimized performance.
Technical Account Management (TAM)
A Lenovo Technical Account Manager helps customers optimize the operations of their data centers based on a deep understanding of customers’ business. Customers gain direct access to a Lenovo TAM, who serves as their single point of contact to expedite service requests, provide status updates, and furnish reports to track incidents over time. Also, a TAM helps proactively make service recommendations and manage service relationships with Lenovo to make certain that customers’ needs are met.
Enterprise Software Support
Lenovo Enterprise Software Support is an additional support service that provides customers with software support on Microsoft, Red Hat, SUSE, and VMWare applications and systems. Around-the-clock availability for critical problems plus unlimited calls and incidents helps customers address challenges fast, without incremental costs. Support staff can answer troubleshooting and diagnostic questions, address product compatibility and interoperability issues, isolate causes of problems, report defects to software vendors, and more.
YourDrive YourData
Lenovo’s YourDrive YourData service is a multi-drive retention offering that ensures that customer’s data is always under their control, regardless of the number of drives that are installed in their Lenovo server. In the unlikely event of a drive failure, customers retain possession of their drive while Lenovo replaces the failed drive part. Customers’ data stays safely on customer premises, in their hands. The YourDrive YourData service can be purchased in convenient bundles with Foundation, Essential, or Advanced services.
Health Check
Having a trusted partner who can perform regular and detailed health checks is central to maintaining efficiency and ensuring that customer systems and business are always running at their best. Health Check supports Lenovo-branded server, storage, and networking devices, as well as select Lenovo-supported products from other vendors that are sold by Lenovo or a Lenovo-Authorized Reseller.
Some regions might have different warranty terms and conditions than the standard warranty. This is due to local business practices or laws in the specific region. Local service teams can assist in explaining region-specific terms when needed. Examples of region-specific warranty terms are second or longer business day parts delivery or parts-only base warranty. If warranty terms and conditions include onsite labor for repair or replacement of parts, Lenovo will dispatch a service technician to the customer site to perform the replacement. Onsite labor under base warranty is limited to labor for the replacement of parts that have been determined to be field-replaceable units (FRUs).
Parts that are determined to be customer-replaceable units (CRUs) do not include onsite labor under base warranty. If warranty terms include parts-only base warranty, Lenovo is responsible for delivering only replacement parts that are under base warranty (including FRUs) that will be sent to a requested location for self-service. Parts-only service does not include a service technician being dispatched onsite. Parts must be changed at the customer’s own cost and labor and defective parts must be returned following the instructions supplied with the spare parts.Lenovo support services are region-specific. Not all support services are available in every region. For information about Lenovo support services that are available in a specific region, refer to the following resources:
- Service part numbers in Data Center Solution Configurator (DCSC): http://dcsc.lenovo.com/#/services
- Lenovo Services Availability Locator https://lenovolocator.com/
For service definitions, region-specific details, and service limitations, refer to the following documents:
- Lenovo Statement of Limited Warranty for Infrastructure Solutions Group (ISG) Servers and System Storage
- http://pcsupport.lenovo.com/us/en/solutions/ht503310
- Lenovo Data Center Services Agreement
- http://support.lenovo.com/us/en/solutions/ht116628
SAP HANA support
Lenovo solution support team works closely with SAP and is dedicated to troubleshooting the SAP HANA software and hardware issues and can coordinate any cross-company support functions (SAP, SUSE, Red Hat, Nutanix) that may be necessary to resolve the problem as soon as possible.
Deployment services
The following optional Lenovo Professional Services are available for the ThinkAgile HX3321 Certified Nodes for SAP HANA to get customers up and running quickly:
- Conducting remote preparation and planning
- Verifying firmware versions and performing firmware updates, if needed Installing and configuring hypervisor and Nutanix controller VM Creating Nutanix cluster
- Configuring storage
- Configuring Nutanix containers and Acropolis (AHV) clusters Transferring knowledge
- Nutanix deployment services – Advanced Installing Lenovo XClarity
- Installing system updates
- Unpacking and inspecting the systems
- Mounting the systems in a rack cabinet
- Connecting the systems to electrical power and network Checking and updating the firmware to the latest levels Verifying operations
- Disposal of the packaging materials (within the customer site)
The SAP HANA onsite deployment that is provided by Lenovo Professional Services is optional for the ThinkAgile HX Certified Nodes for SAP HANA. For more information, refer to the Data Center Deployment Services web page: http://www.lenovo.com/us/en/data-center/services/deployment
Related publications and links
For more information, see these resources:
- Lenovo ThinkAgile HX Series
http://www3.lenovo.com/us/en/p/WMD00000326 - Lenovo Data Center Solution Configurator (DCSC):
http://dcsc.lenovo.com - Nutanix documentation
http://portal.nutanix.com/#/page/docs - Lenovo ThinkAgile HX Series Best Recipes
http://datacentersupport.lenovo.com/us/en/solutions/ht505413 - Lenovo Data Center Support
http://datacentersupport.lenovo.com
Related product families
Product families related to this document are the following:
- ThinkAgile HX Series for Nutanix Nutanix Alliance
- Hyperconverged Infrastructure
- Hyperconverged Infrastructure
Notices
Lenovo may not offer the products, services, or features discussed in this document in all countries. Consult your local Lenovo representative for information on the products and services currently available in your area. Any reference to a Lenovo product, program, or service is not intended to state or imply that only the Lenovo product, program, or service may be used. Any functionally equivalent product, program, or service that does not infringe any Lenovo intellectual property right may be used instead. However, it is the user’s responsibility to evaluate and verify the operation of any other product, program, or service. Lenovo may have patents or pending patent applications covering the subject matter described in this document. The furnishing of this document does not give you any license to these patents. You can send license inquiries, in writing, to:
Lenovo (United States), Inc.
8001 Development Drive
Morrisville, NC 27560
U.S.A.
Attention: Lenovo Director of Licensing
LENOVO PROVIDES THIS PUBLICATION ”AS IS” WITHOUT WARRANTY OF ANY KIND, EITHER EXPRESS OR IMPLIED, INCLUDING, BUT NOT LIMITED TO, THE IMPLIED WARRANTIES OF NON-INFRINGEMENT, MERCHANTABILITY OR FITNESS FOR A PARTICULAR PURPOSE.
Some jurisdictions do not allow disclaimers of express or implied warranties in certain transactions, therefore, this statement may not apply to you. This information could include technical inaccuracies or typographical errors. Changes are periodically made to the information herein; these changes will be incorporated in new editions of the publication. Lenovo may make improvements and/or changes in the product(s) and/or the program(s) described in this publication at any time without notice. The products described in this document are not intended for use in implantation or other life support applications where malfunction may result in injury or death to persons. The information contained in this document does not affect or change Lenovo product specifications or warranties. Nothing in this document shall operate as an express or implied license or indemnity under the intellectual property rights of Lenovo or third parties. All information contained in this document was obtained in specific environments and is presented as an illustration. The result obtained in other operating environments may vary. Lenovo may use or distribute any of the information you supply in any way it believes appropriate without incurring any obligation to you.
Any references in this publication to non-Lenovo Web sites are provided for convenience only and do not in any manner serve as an endorsement of those Web sites. The materials at those Web sites are not part of the materials for this Lenovo product, and use of those Web sites is at your own risk. Any performance data contained herein was determined in a controlled environment. Therefore, the result obtained in other operating environments may vary significantly. Some measurements may have been made on development-level systems and there is no guarantee that these measurements will be the same on generally available systems. Furthermore, some measurements may have been estimated through extrapolation. Actual results may vary. Users of this document should verify the applicable data for their specific environment. Copyright Lenovo 2022. All rights reserved. This document, LP1217, was created or updated on April 14, 2020. Send us your comments in one of the following ways:
Trademarks
Lenovo and the Lenovo logo are trademarks or registered trademarks of Lenovo in the United States, other countries, or both. A current list of Lenovo trademarks is available on the Web at
https://www.lenovo.com/us/en/legal/copytrade/.
The following terms are trademarks of Lenovo in the United States, other countries, or both:
- Lenovo®
- AnyBay®
- Lenovo Services
- ThinkAgile®
- ThinkSystem®
- TruDDR4
- XClarity®
The following terms are trademarks of other companies:
- Intel® and Xeon® are trademarks of Intel Corporation or its subsidiaries.
- Linux® is the trademark of Linus Torvalds in the U.S. and other countries.
- Microsoft®, PowerShell, Windows PowerShell®, and Windows® are trademarks of Microsoft Corporation in the United States, other countries, or both.
- Other company, product, or service names may be trademarks or service marks of others.
Lenovo ThinkAgile HX3321 Certified Node for SAP HANA (Xeon SP Gen 1) (withdrawn product)
References
Home - Data Center Support - Lenovo Support US
ThinkAgile HX - Best Recipes - Lenovo Support US
Lenovo Capacity Planner (LCP) - Lenovo Support US
Lenovo XClarity Energy Manager (LXEM) - Lenovo Support US
DCSC - Data Center Solution Configurator
DCSC - Data Center Solution Configurator
Lenovo ThinkAgile HX3321 Certified Node for SAP HANA (Xeon SP Gen 2) Product Guide > Lenovo Press
Lenovo XClarity Administrator Product Guide > Lenovo Press
Lenovo Statement of Limited Warranty for Data Center Group (DCG) Servers, System Storage and Networking - Lenovo Support US
Nutanix Support & Insights
Nutanix Sizer
Lenovo Data Center Services Agreement - Lenovo Support US
As-a-Service | Lenovo US
Lenovo ThinkAgile HX Series | Software Defined Infrastructure | Lenovo US
Services Availability Locator
Lenovo ThinkAgile HX3321 Certified Node for SAP HANA (Xeon SP Gen 1) Product Guide (withdrawn product) > Lenovo Press
Hyperconverged Infrastructure > Lenovo Press
ThinkAgile HX Series for Nutanix > Lenovo Press
Nutanix Alliance > Lenovo Press
Hyperconverged Infrastructure > Lenovo Press
Copyright and Trademark Information | Lenovo US | Lenovo US



















