A7V Nearfield Monitor
User Manual

PURE Frequency Response
The on-axis frequency response shows the sound radiating from the loudspeaker along the acoustical axis (a position on the front panel between the tweeter and woofer). All loudspeakers are band-limited devices so there is a low frequency roll-off and a high frequency roll-off. The low frequencies should extend as deep as possible for the size of the loudspeaker. The high frequency response should extend beyond what one can hear. Between these two frequencies, the line should be as flat as possible, but resonances, edge diffraction and system tuning can stop this from happening. Using the PURE voicing setting, the A7V has a reasonably flat response but there are two features to note:
- A very narrow dip at 650 Hz is caused by the port organ-pipe resonance. This type of dip is commonly seen in many loudspeaker designs, including the previous AX Series. There are ways to remove it but, as with everything in loudspeaker design, it is a trade-off between conflicting performance features. The acoustical cost of removing the resonance is increased wind noise due to higher turbulence in the port. Listening tests have shown the port resonance to be inaudible in most listening environments as the resonance has such a short decay. This is illustrated in the waterfall plot further down.
- The gentle rise toward the very high frequencies is deliberate as it compensates for the narrowing directivity of the tweeter. The result is a flatter in-room response.

UNR Frequency Response
The UNR voicing is typical of the historical ADAM Audio sound and is also found in the AX Series. The bass and treble are significantly boosted, and the 2-5 kHz region has been suppressed slightly. The UNR setting is useful when listening for pleasure and is not recommended for critical listening where accuracy is the highest priority. Port resonance also occurs when using this setting, but as described in the PURE comments, it is insignificant in most listening environments.

Room Adaptation Graphs
Measured using the PURE voicing, this graph shows the frequency response of the various backplate equalization controls for Bass, Desk, Presence and Treble.

Phase Response
The phase response shows how the phase of the loudspeaker varies with frequency. To keep latency to a minimum (1.7 ms), we have decided not to equalize the phase. This is the same in almost all analog loudspeakers and many DSP loudspeakers. Unlike other tweeters, we see that the ADAM Audio AMT tweeter has a naturally flat phase response which leads to a very open and transparent sound as all frequencies from the tweeter arrive to the listener at the same time.

Group Delay
Group delay is a measure of the time it takes for the sound to travel through the loudspeaker system: from input signal to sound out of the drivers. Mathematically it is the negative slope of the phase response. Mid and high frequencies can be seen to pass though the loudspeaker system quickly whereas bass takes longer as the frequency decreases. If the roll-off slope is steeper (e.g. in a vented design vs. a sealed design) and/or at a lower frequency, the group delay peak will be higher. To keep the latency to a minimum (1.7 ms), we have decided not to equalize the phase and thus flatten the group delay. By minimizing any excess increase in the group delay, the loudspeaker sounds fast and tight which is not a common attribute in ported designs.

Horizontal Isobars
The horizontal isobar plot shows how sound is dispersed into space from the loudspeaker in the horizontal plane. Even when moving around, the listening area in a studio typically falls within 30 degrees of the on-axis direction, so this area should
have the same color (red) indicating the sound is evenly reproduced throughout the listening area. More extreme angles (represented by the area above +30 degrees and below -30 degrees on y-axis) are important for reflections. These reflections should have the same sound quality as the on-axis sound but at a lower level, so they have reduced effect on the sound at the listening position and thereby introducing minimal coloration. It is normal for the high frequencies to become quite narrowly dispersed (a function of the size of the driver relative to the wavelength and indicated by a reduced red area width) and for the bass frequencies to be very widely dispersed (red at all angles), with smaller loudspeakers being omnidirectional to higher frequencies than larger loudspeakers.
In the A7V we see the red region is very smooth and controlled, with the only exception being a narrow widening at 750 Hz which will not be very audible. The A7V will therefore have a very consistent sound in many positions in the room (important for multichannel applications) and from one room to another (important as room acoustic properties vary widely).

Vertical Isobars
The vertical isobar plot shows how sound is dispersed into space from the loudspeaker in the vertical plane. It is not so likely that one moves up and down when listening, so this direction is somewhat less important than the horizontal plane. However, there can be strong reflections off the ceiling, floor, or desktop placed in front of the loudspeaker, so the off-axis sound quality still has some influence on coloration at the listening position. Similar to the horizontal plane, the ±20 degree region is important and should have the same color (red) indicating the sound is evenly reproduced throughout the typical listening heights. More extreme angles (represented by the area above +20 degrees and below -20 degrees on y-axis) are important for reflections, with the desktop reflection being the strongest one. Normally one sees a significant narrowing of the directivity around the crossover in vertically placed drivers, in this case around 3 kHz. The dispersion from bass to treble will be similar to what is seen in the horizontal plane (omnidirectional in the bass, tending towards a narrowing at high frequencies). It is quite typical that the vertical directivity is not as smooth as the horizontal directivity.

Waterfall Plot
The Cumulative Spectral Decay, more commonly known as a waterfall plot, shows a series of frequency responses of the loudspeaker that are taken later and later in time as one moves from the back of the plot to the front. It is used to visualize resonances. The response at the back is the frequency response shown in the first graph above. It is typical that bass takes longer to decay, hence the decaying ridge is seen near the bottom end of the loudspeaker response. Ported loudspeakers have longer decays than sealed designs, and loudspeakers with a deeper bass response also have longer decays. Other resonances should be very short in comparison and ideally not present at all.
In the A7V we have already seen the organ pipe resonance, however here we see how short it is which explains why it is not audible with audio material.

Spectrogram
A spectrogram is a 2D version of the waterfall plot. Resonances can be seen as splashes of colour extending from the left to the right of the plot. Ideally there should be a red bar only at the left of the plot and blue everywhere else.
In the A7V we see the bass resonance, which is normal, and then some activity around 1 kHz due to the organ pipe resonance, but as this is at such a low level and so short it is inaudible.

Distortions
Distortion is sound output produced by the loudspeaker that is not present at the input. Harmonic distortion is distortion that is a multiple frequency of the original signal, for example if the input signal is 100 Hz, the second harmonic is at 200 Hz, the third harmonic is at 300 Hz, etc. Higher order harmonics are typically produced at a lower level, so if the 2nd and 3rd order harmonics are low, the higher order harmonics will be increasingly inaudible. If all the harmonics are added together, we have the total harmonic distortion (THD) which is, by definition, the highest line on the graph. Second order harmonic distortion is caused by asymmetries in the system and can sound quite warm and pleasing. Vinyl records and valve amplifiers generate a lot of this. Third order harmonic distortion is caused by clipping in the system and never sounds good. Amplifiers played too loud or drivers reaching their maximum excursion suffer from this. Clearly all forms of distortion should be minimized in a studio monitor which has the task to accurately reproduce the input signal and add no extra content to that signal. It is possible to have a high THD and have a nice sounding speaker if the THD is dominated by second order harmonic distortion, therefore THD on its own is not a good indicator of audio quality. As the output level is increased the distortion also increases and eventually, if loud enough, all the audio from the loudspeaker can be distortion (0 dB = 100% on the graph) but the loudspeaker should already be strongly limited by the protection system well before this. Note that -20 dB = 10%, -30 dB = 3%, -40 dB = 1%, -50 dB = 0.3%, etc.
The A7V is a compact loudspeaker so distortion is lower than in smaller loudspeakers.

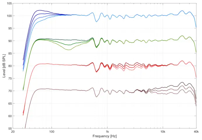
SPL
The max SPL curve shows how loud the loudspeaker can play at each frequency. The goal is to have the highest values possible, not to have a flat curve. Smaller loudspeakers will have lower max SPL at low frequencies. Loudspeakers with small amplifiers and/or drivers with a low sensitivity will also have a lower max SPL. The curve is measured using very short sine bursts that are increased in level until a defined THD (in this case 3% and 10%) is achieved.
The A7V is a compact loudspeaker so max SPL below 70 Hz drops away quickly with reduced frequency. This can be solved in two ways: use a larger loudspeaker or add a subwoofer to take over low frequency reproduction.
ADAM AUDIO GMBH
BERLIN, GERMANY
T +49 30-863 00 97-0
F +49 30-863 00 97-7
[email protected]
WWW.ADAM-AUDIO.COM
© ADAM Audio GmbH 2022
V12/22



















