LA MARCHE P25-LLMP-1 LmPower Series DC Power System

Product Information
The LMPower Series DC Power System is manufactured by La Marche Manufacturing Company. It is designed to provide reliable power supply for various applications. For more information, visit La
Marche’s website at www.lamarchemfg.com.
Important Safety Instructions
- Before using this equipment, read all manuals and related documents.
- Ensure a copy of the power system’s manual is kept in a safe place.
- Be aware of hazardous voltages present at the input of power systems.
- Avoid touching uninsulated parts and always check with a meter before proceeding.
- Follow battery manufacturer’s safety recommendations when working with or around battery systems.
- Avoid smoking or introducing sparks or open flames near batteries.
Before using this equipment read all manuals and other documents related to this power system and other equipment connected to this power system. Always have a copy of a power system’s manual on file nearby in a safe place; if a replacement copy of a manual is needed, it can be found at www.lamarchemfg.com.
Electrical Safety
WARNING: Hazardous Voltages are present at the input of power systems. The output from power systems and from batteries may be low in voltage, but can have a very high current capacity that may cause severe or even fatal injury.
When working with any live battery or power system, follow these precautions:
- Never work alone on any live power system; someone should always be close enough to come to your aid.
- Remove personal metal items such as rings, bracelets, necklaces, and watches.
- Wear complete eye protection (with side shields) and clothing protection.
- Always wear gloves and use insulated hand tools.
WARNING: Lethal Voltages are present within the power system. Parts inside the power system may still be energized even when the power system has been disconnected from the AC input power. Check with a meter before proceeding. Do not touch any uninsulated parts.
- A licensed electrician should be used in the installation of any power system.
- Always disconnect the power system from the supply, batteries, and loads before performing maintenance, replacing parts, or cleaning.
- Always assume that an electrical connection is live and check the connection relative to ground.
- Be sure that neither liquids nor any wet material come in contact with any internal components.
- Do not operate this power system outside the input and output ratings listed on the power system nameplate.
- Do not use this power system for any purpose not described in the operation manual.
Mechanical Safety
- This power system or parts of the power system may get very hot during normal operation, use care when working nearby.
- Do not expose equipment to rain or snow. Always install in a clean, dry location.
- Do not operate equipment if it has received a sharp blow, been dropped, or otherwise damaged in any way.
- Do not disassemble this power system. Incorrect re-assembly may result in a risk of electric shock or fire.
Battery Safety
WARNING: Follow all of the battery manufacturer’s safety recommendations when working with or around battery systems. DO NOT smoke or introduce a spark or open flame in the vicinity of a battery. Some batteries generate explosive gases during normal battery operation.
- To reduce risk of arc, connect and disconnect the battery only when the power system is off.
- If it is necessary to remove battery connections, always remove the grounded terminal from the battery first.
- Remove personal metal items such as rings, bracelets, necklaces, and watches.
- Always wear rubber gloves, safety glasses, and a rubber lined vest/apron when working near a battery.
- Have plenty of fresh water and soap nearby in enclosure the battery electrolyte contacts skin, clothing, or eyes.
- If the battery electrolyte contacts skin or clothing, wash immediately with soap and water.
- If the electrolyte enters the eye, immediately flood the eye with running cold water for at least ten (10) minutes and seek medical attention immediately.
- Do not drop or place any materials on a battery. A spark or short-circuit could cause an explosion.
System Location
- Allow at least 6 inches of free air on all vented surfaces for proper cooling
- Allow sufficient clearance to open the front panel for servicing.
- Do not operate this power system in a closed-in area or restrict ventilation in any way.
- Do not place power system below battery.
- Never allow battery electrolyte to drip on this power system when reading the specific gravity or filling the battery.
- Never place this power system directly above a standard flooded battery. Gases from the battery will corrode and damage equipment.
- A sealed maintenance free or valve regulated lead acid (VRLA) battery may be placed below this equipment.
Check for Damages
Prior to unpacking the product, carefully inspect the shipping container for any damages. If any damage is observed, take pictures and contact the carrier immediately to file a damage claim. Contact La Marche for a Return Material Authorization (RMA) number to have the power system sent back for evaluation and repair.
CAUTION: Failure to properly file a claim for shipping damages or provide a copy of the claim to La Marche may void warranty service for any physical damages reported for repair.
Returns for Service
If the product needs to be returned for service, it should be packaged in its original shipping container. If the original container is damaged or unavailable, make sure to pack the product with at least three inches of shock-absorbing material to prevent shipping damage. La Marche is not responsible for damage caused by improper packaging of returned products. Save the original shipping container. If the product needs to be returned for service, it should be packaged in its original shipping container. If the original container is damaged/unavailable, make sure the product is packed with at least three inches of shock-absorbing material to prevent shipping damage. La Marche is not responsible for damage caused by improper packaging of returned products.
Inspection Checklist
Before installation, conduct a thorough inspection using the following checklist:
- Ensure the enclosure exterior and interior are not marred or dented.
- Check for any visibly damaged components.
- Ensure all internal components are secure.
- Confirm that printed circuit boards are firmly seated.
- Check that all hardware and connections are tight.
- Verify that all wire terminations are secure.
- Ensure all items on the packing list have been included.
- Enclosure exterior and interior is not marred or dented.
- There are no visibly damaged components.
- All internal components are secure.
- Printed circuit boards are firmly seated.
- All hardware and connections are tight.
- All wire terminations are secure.
- All items on packing list have been included.
Handling
Be cautious when handling the equipment as it can be very heavy with uneven weight distribution. Use adequate manpower or equipment for handling. Until the equipment is securely mounted, take care to prevent accidental tipping over or dropping. Equipment can be very heavy with uneven distribution of weight. Use adequate manpower or equipment for handling. Until the equipment is securely mounted, care must be used to prevent equipment from being accidently tipped over or dropped.
Model Scope/General Description
The LmPower Series are compact -48V DC power systems with high-performance rectifiers. The LmPower is offered in 3 different configurations; LMP-100A (1RU), LMP-200A (5RU) and LMP-400A (6RU). LmPower series can be mounted on standard 19” and 23” racks. The LmPower Series utilizes hot-swappable high efficiency LmPower R50 1RU 3000W (50A) rectifiers at 96% efficiency. The LmPower Series offers a robust system controller with an embedded I/O interface equipped with digital inputs, dry contact alarm outputs and temperature sensors input ports. In addition, the system offers intelligent battery management, remote access, and a rectifier hibernation/cycling function for increased efficiency.
Understanding the Model Number
The LMP model number is coded to describe the options that are included. Find the model number on the nomenclature nameplate of the power system. Then follow the chart to determine the configuration of your battery power system.
| Model Number | Description | RUs | Number of Rectifier Slots | Number of Load Connections |
| LMP-100A | -48VDC 100A DC System | 1 RU | 2 | 2 |
| LMP-200A | -48VDC 200A DC System | 5 RU | 4 | 16 |
| LMP-400A | -48VDC 400A DC System | 6 RU | 8 | 20 |
Equipment Handling
Storing the LMP
If the LMP is to be stored for more than a few days after delivery, it should be stored within its shipping container. The location chosen for storage should be within an ambient temperature of -40 to 158°F (-40 to 70°C) with a non-condensing relative humidity of 5 to 95%.
Moving the LMP
After careful inspection and upon verification that the LMP is undamaged, identify the dimensions and weight of the LMP power system. Refer to the table below.
| Model | Output Voltage | Output Amps | Input Voltage | Input Current | RUs | Dimensions (W x D x H) | Weight (w/o rectifiers) |
| LMP-100A | 48VDC | 100A | 176-300VAC (1 Phase) 85-175VAC (Linearly derated) | 36A | 1 RU | 17.32″ x 14″ x 1.73″ | 14.33 lbs. |
| LMP-200A | 48VDC | 200A | 176-300VAC (1 Phase) 208/220/240/380VAC (3 Phase) | 72A (1 Phase) 36A (3 Phase) | 5 RU | 17.32″ x 14″ x 8.75″ | 29.54 lbs. |
| LMP-400A | 48VDC | 400A | 176-300VAC (1 Phase) | 144A (1 Phase) 54A (3 Phase) | 6 RU | 17.32″ x 14″ x 10.5″ | 63.93 lbs. |
Installation
Mounting the LMP
Mounting brackets are provided for 19” and 23” rack mounting. When mounting the LMP, consider the size and weight of the power system. The rack must be able to support the weight of the power system, as well as an additional safety factor. Refer to the table above to verify the weight of the power system. The location chosen for the power system should be within an ambient temperature range of -40˚F to 149˚F (-40˚C to 65˚C) with a non-condensing relative humidity of 5 to 95%. The power system should be mounted in an area free of explosive materials and away from any liquids. Avoid using equipment in location with corrosive gases (e.g. over flooded Lead Acid batteries) and dust. The LMP utilizes fan-assisted cooling, so a clearance of at least 6 inches of free air must be maintained in front and on top for proper cooling. Maintain 12 inches (300 mm) or more of clearance at the rear of the power system when rack mounting in order to allow for operation and maintenance. All hardware should be corrosion-resistant.
Rack-Mounting the LMP
The LMP system can be mounted on a 19” and 23” relay rack. For rack mounting, mount the LMP system to the relay rack and use the hardware provided to secure the LMP to the rack. The 200A and 400A LMP systems should ONLY be center mounted. Refer to figure below.

Installing a Subrack (Left: 100A, Right: 200A/400A)
Installing a Rectifier/Controller
- Step 1: Push the locking latch towards the left.
- Step 2: Draw the handle downwards.
- Step 3: Gently push the LMP-50R rectifier/LMP-SC controller into its slot along the guide rail.
- Step 4: Push the handle upwards.
- Step 5: Push the locking latch towards the right to secure the handle.

Installing a Rectifier/Controller
NOTE: When installing the rectifier modules/controller, gently push it into its corresponding slot and assure it plugs in correctly. Use of excessive force may damage the slot or the rectifier module/controller.
CAUTION: The rectifier module may be hot when removed, take precautions from handling after removal to prevent burning hazards.
Electrical Connections
Before beginning any work on the power system, ensure that all incoming and output power is de-energized. Verify that no voltage is present by using a voltmeter at all input and output terminals. Check that the voltage and frequency match the power system front nameplate specifications. Select wire size using the table below.
| Breaker Size/ Fuse Size – Amps | AWG Minimum Wire Size for AC/DC Connection (mm2) | AWG Minimum Wire Size for Equipment Grounding (mm2) |
| 3 | #14 (2.5) | #14 (2.5) |
| 5 | #14 (2.5) | #14 (2.5) |
| 10 | #14 (2.5) | #14 (2.5) |
| 15 | #14 (2.5) | #14 (2.5) |
| 20 | #12 (4) | #12 (4) |
| 25 | #10 (6) | #12 (4) |
| 30 | #10 (6) | #10 (6) |
| 40 | #8 (10) | #10 (6) |
| 50 | #8 (10) | #10 (6) |
| 60 | #6 (16) | #10 (6) |
| 70 | #6 (16) | #8 (10) |
| 80 | #4 (25) | #8 (10) |
| 90 | #4 (25) | #8 (10) |
| 100 | #4 (25) | #8 (10) |
AC/DC Wire Size Minimum Requirements
(All wires specified in the table are rated at 90 °C or 194 °F)
NOTE: These are recommended sizes per La Marche Standards. The National Electrical Code (NEC) and Local Wiring Codes must be followed.
AC Input Connections

AC Input Connections (200A System)

First, connect an adequate earth ground lead (use table above for sizing) to the terminal marked ground using the provided hardware, if applicable. Run the input AC wiring to terminals as shown

Carefully insert a flat-blade screwdriver into the top end of the terminal to open it.

Refer to the table above for recommended wire size; based on AC protection size. Refer to note below for details.
NOTE: The AC protection used to feed AC power into the LMP system must be sized depending on the number of LMP-50R rectifiers installed in the LMP. 25A of AC protection should be considered per rectifier module.
DC Output Connections
To select the proper size for the DC wiring, use the table below for battery and load protection ratings. Use Table 2 for minimum wire size requirements.
NOTE: The LMP system is a floating system, meaning it is not internally grounded to the positive output. The user must make the connection from ground to positive externally for a positive ground system.
| Model | Output Amps | Battery Connections | Load Connections | Battery Protection | Load Protection |
| LMP-100A | 100A | 1 | 2 for Critical Loads | 40A (2 x 20A Fuses) | Load 1: 80A (2 x 40A Fuses) Load 2: 40A Fuse |
| LMP-200A | 200A | 2 | 8 for Non-Critical Loads* 8 for Critical Loads | 2 x Plug-in Breaker Slots (200A max per double slot) | 16 x Plug-in Breaker Slots (100A max per slot) |
| LMP-400A | 400A | 1 | 10 for Non-Critical Loads* 10 for Critical Loads | None** | 20 x Plug-in Breaker Slots (100A max per slot) |
LMP Connections and Protections
- All load connections are set to critical loads by default. To split loads to critical and non-critical, change the LLVD Enable setting to Yes. Use Section 3.3.5 as a menu structure reference.
- 400A LMP systems require external battery protection.
If the distance between the power system’s DC output and the DC load exceeds 10 feet, use the Power Cable Guide below to minimize the voltage drop across the wire distance.
WARNING: Connecting the battery to the power system may cause a spark at the point of connection. There is a RISK OF EXPLOSION in hazardous areas or locations where explosive gases have accumulated.
Power Cabling Guide
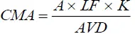
Use the following formulas and table to determine proper wire size for minimal voltage drop.
Table of Conventions
- CMA = Cross section of wire in circular MIL area
- A = Ultimate drain in amperes
- LF = Conductor loop feet
- MaxAmp = Maximum allowable amperes for given voltage drop
AVD = Allowable voltage drop - K = 11.1 for commercial (TW) copper wire
- = 17.4 for aluminum
Calculating Wire Size Requirements
Calculating Current Carrying Capacity of Wire ![]()
| SIZE (AWG) | AREA CIR.MILS | SIZE (MCM) | AREA CIR.MILS |
| 18 | 1620 | 250 | 250000 |
| 16 | 2580 | 300 | 300000 |
| 14 | 4110 | 350 | 350000 |
| 12 | 6530 | 400 | 400000 |
| 10 | 10380 | 500 | 500000 |
| 8 | 16510 | 600 | 600000 |
| 6 | 26240 | 700 | 700000 |
| 4 | 41740 | 750 | 750000 |
| 3 | 52620 | 800 | 800000 |
| 2 | 66360 | 900 | 900000 |
| 1 | 83690 | 1000 | 1000000 |
| 0 | 105600 | 1250 | 1250000 |
| 00 | 133100 | 1500 | 1500000 |
| 000 | 167800 | 1750 | 1750000 |
| 0000 | 211600 | 2000 | 2000000 |
Wire Size/Area Table
NOTE: These are recommended sizes per La Marche Standards. The National Electrical Code (NEC) and Local Wiring Codes must be followed.
DC Connection Procedure (LMP-100A System)
NOTE: Switch off all circuit breakers before installing battery and load cables.
- Step 1: Carefully insert a flat-blade screwdriver into the top end of the battery/load cable jack to open it as shown.

- Step 2: Insert the battery/load cable into the corresponding load cable jack.
- Step 3: Remove the screwdriver and assure the battery/load cable is securely connected.

DC Output Connections to Battery/Loads (100A System)
DC Connection Procedure (LMP-200A/400A System)
NOTE: Switch off all circuit breakers before installing battery and load cables.
- Step 1: Route DC output power cables through a cable hole on the rear of the sub rack.
- Step 2: For the loads, take into consideration if the loads are critical or non-critical and make the proper connections. Then, connect the negative load cables to the corresponding load terminal. For 200A systems, connect the negative battery cable to the battery terminals and for 400A systems, connect the battery to the negative battery terminal. Refer to figures below.
- Step 3: For 200A systems, connect the positive battery/load cables to the RTN+ busbar. For 400A systems, connect the positive battery cable to the positive battery terminal.

DC Output Connections to Battery/Loads (200A System)
DC Output Connections to B attery/Loads (400A System)
Monitoring Connections
The RS485/RS232 /SNMP telecom ports are used for remote central monitoring and control. Network ends are used as output terminal for telecom port. For over RS485/RS232 port, connect the network cable to the RS485/RS232 port on the LMP-SC, as shown below. For third-party NMS management (over SNMP), connect the COM port on the LMP-SC by using a network cable, as shown below.

Communication Connections (Left: RS485/RS232 Port, Right: COM Port)
Digital Input / Output Connections
Four alarm dry contact output ports and two digital input ports and are included as a standard feature of the LMP system controller, LMP-SC. The included alarms by default factory designation are as show on below table. Refer to the figure on the following page for alarm contact connections.
User Connections on LMP-SC System Controller
| Alarm Contact No | Factory Default Designation | Relay Logic |
| ALM1 | AC Failure | De-energize on fail |
| ALM2 | Critical | De-energize on fail |
| Major | ||
| ALM3 | Minor | De-energize on fail |
| ALM4 | Warning | De-energize on fail |
Dry Contact Output Ports Assignment
The LMP-SC controller can accommodate up to 2 channels, DIN1 & DIN2, and can monitor digital alarm/control signals from different types of equipment. All digital signals are connected via the LMP-SC front panel, see figure above. DIN1 and DIN2 require 3.3-12VDC input across in order to trigger the digital input. Shorting the two pins is another acceptable method of triggering the digital input.
CAUTION: Ensure the correct polarity is used for all digital input cable terminations.
Operation
Starting the LMP
All equipment is shipped from the factory fully checked and adjusted based on the model number. Do not make any adjustments unless the equipment has been powered up and the settings have been determined to be incorrect. Check with battery manufacturer for recommended settings.
Checking the Installation
Before attempting to start up the LMP, check and verify that all connections are correct. Check that all terminations and contacts are tightened securely. Check for any loose connection or unsecured components in the LMP. Check that the battery/load voltage matches the DC output voltage on the nameplate of the LMP. Verify AC feeder breaker matches power system input protection rating.
Start-Up Sequence
Upon powering up the LMP, a test sequence is activated. After the LMP has completed the startup sequence, the green LED on the front panel will be lit, additional indicators will be lit according to the system’s status. Any rectifiers plugged into the LMP will also have their green LED on the front panel illuminated. The digital meter display will show both the system AC input and DC output voltage, as well as the load current. Pressing the arrow on the controller will change the parameter that is displayed. The auto/manual toggle switch in the front panel allows the user to select the Battery Low Voltage Disconnect, BLVD, contactor modes. Below are the available modes:
- AUTO: The BLVD contactor is dependent on the state of the system.
- MANUAL: The BLVD contactor is always engaged, regardless of the state of the system.
LmPower R50 Rectifier

LMP-R50 Front Panel
The LMP-R50 rectifier converts AC power to DC power and utilizes high performance features, such as high efficiency (>96%), walk-in start, complete protection and low noise. The output voltage of the rectifiers can be adjusted through the LMP-SC controller. The rectifier is hot-swappable, providing easy installation and maintenance.
Indicators
| Name | Color | Normal | Abnormal | Description |
| Run Indicator | Green | On | Off | The power supply is not working, or indicator is broken. |
| Flashing | The control module operates the rectifier module. | |||
| Alarm Indicator | Yellow | Off | On | AC input overvoltage & under voltage, short circuit, over temperature. |
| Flashing | Communication interrupt. | |||
Fault Indicator![]() | Red | Off | On | Rectifier module fault, PFC output overvoltage. |
| Flashing | Rectifier module fan fault. |
LmPower SC Controller

LMP-SC Front Panel
The standard LMP comes with an LMP-SC controller. The LMP-SC features embedded battery and ambient temperature sensor ports, 2 common digital inputs and 4 dry contact alarm outputs. The LMP-SC controller is user-friendly with many additional features.
NOTE: The LMP system can supply power without a controller installed. If controller is removed or is faulty, the output of the system will remain unchanged until replacement controller is installed. If no controller is present, the rectifier modules will have the yellow LED blinking, indicating a communication fault due to the missing controller.

- Operation Indicator
- USB Port
- LCD Display
- Buttons
- COM Port (SNMP)
- RS485/RS232 Port
- Dry Contact Output Ports
- Digital Input Ports
- Ambient Temperature /Battery Temperature Sensor Port
- Handle
- Locking Latch
The parameters viewable on the idle display are as follows (The date and time will alternate on the display):
System DC Output Voltage AC Input Voltage Load Current
Battery Voltage & Charge Mode
Battery & Ambient Temperature
Inverter & Voltage Current
(Currently not available, for future use)
Inverter & System Status
Buttons
| Button | Name | Description |
![]() | Page Up | Scrolls up menus or sets parameter values. |
![]() | Page Right | Scrolls down menus. |
![]() | Back | Returns to the previous menu without saving the settings. |
![]() | Enter |
|
| ||
Indicators
| Name | Color | Status | Description |
| Run Indicator | Green | Off | The LMP-SC is faulty or has no DC input. |
| On | The LMP-SC is running properly. | ||
| Fault Indicator | Red | Off | No critical or major alarm is generated. |
| On | A critical or major alarm is generated. |
Communications Ports
| Communications Port | Communications Parameter | Communications Protocol | Function |
| COM Port | 10/100M Auto-Adaptation | HTTPS and SNMP | Connects to an upper-level NMS |
| RS485/RS232 Port | PORT1 Baud Rate: 1200, 2400, 4800, 9600 bit/s PORT2 Baud Rate: 9600, 19200, 115200 bit/s | PORT1: BMS Protocol PORT2: Modbus Protocol | PORT1 connects to BMS PORT2 connects to upper-level device such as BBU |
RS485/RS232 Port and COM Port Pinout
| Pin | Signal | Description |
| 1 | TX+ | Sends data over the COM port. |
| 2 | TX- | |
| 3 | RX+ | Receives data over the COM port. |
| 6 | RX- | |
| 4, 5, 7, and 8 | Not defined | None |
COM Port Pin Definitions
| Pin | Signal | Description |
| 1 | T232B | RS232 PORT1 can be connected to BMS |
| 2 | R232B | |
| 3 | GND232 | |
| 4 | 485AE | RS485 or RS232 PORT2 |
| 5 | 485BE | |
| 6 | T232E | |
| 7 | R232E | |
| 8 | 485GND2 |
RS485/RS232 Port Pin Definitions
Setting the Date and Time
Set the date and time as required.
| Main Menu | Second-Level Menu | Third-Level Menu | Default Value | Setting Value |
| Setting Wizard | Date and Time | Date Time | No default value | Set to the local date/time. |
Setting Battery Parameters
Set the battery parameters, such as the battery capacity.
| Main Menu | Second-Level Menu | Third-Level Menu | Default Value | Setting Value |
| Setting Wizard | Battery Parameters | Batt1 Connected | Yes | Set parameter to desired value. |
| Batt2 Connected | No | |||
| Battery Type | VRLA | |||
| Rated Capacity | 100 AH |
Set the power system charge settings, such as the charge coefficient.
| Main Menu | Second-Level Menu | Third-Level Menu | Fourth-Level Menu | Default Value | Value Range |
| Settings | Battery | Charge Parameters | Auto. EC Enable | No | Yes, No |
| FC – EC Cur. Coef. | 0.05C10 | 0.01 ~ 0.25 | |||
| FC – EC Cur. Duration | 30Min | 2 ~1440 | |||
| FC – EC Cap. Percent | 80% | 50~ 100 | |||
| Sche. EC Enable | No | Yes, No | |||
| Sche. EC Interval | 30Day | 1 ~365 | |||
| Sche. EC Duration | 9h | 1~ 24 | |||
| EC – FC Cur. Coef. | 0.01C10 | 0.01~ 0.25 | |||
| EC – FC Cur. Duration | 240Min | 2 ~540 | |||
| EC Max Duration | 8h | 5~ 48 | |||
| Main Recovery EC En | No | Yes, No | |||
| AC Fail Duration | 10Min | 0~ 30 | |||
| Fast Charge Coef. | 0.25C10 | 0.25~ 0.50 |
Setting Rectifier Current Limit
| Main Menu | Second-Level Menu | Third-Level Menu | Default Value | Value Range |
| Settings | Rectifier | Max. Limited Current | 1.21 | 1~ 121 |
NOTE: The Rectifier current is the combination of the load current plus the battery charging current.
Setting Communication Parameters
Set the communication parameters, such as the IP address, subnet mask, gateway, and port number for SNMP management.
| Main Menu | Second-Level Menu | Third-Level Menu | Default Value | Setting Value | |
| IP Address | 192.168.001.190 | ||||
| DHCP Enable | No | Set parameter | |||
| Settings Wizard | Network Parameters | based on address assigned by network | |||
| Subnet Mask | 255.255.255.0 | ||||
| administrator. | |||||
| Default | 192.168.1.1 |
LMP Customer Configuration Menu Structure


Service
All work inside the LMP power system should be performed by qualified personnel. La Marche is not responsible for any damages caused by an unqualified technician.
Before working inside the LMP, ensure the AC power is off at the main breaker box and the battery has been removed from the power system’s DC output terminals, either by removing the battery cables or exercising the battery disconnect. Verify that no voltage is present by using a voltmeter at all input and output terminals.
Performing Routine Maintenance
Although minimal maintenance is required with La Marche power systems, routine checks and adjustments are recommended to ensure optimum system performance.
Yearly
- Confirm air vents are open. Remove dust and debris from interior of unit.
- Verify all connections are tight.
- Perform a visual inspection on all internal components.
- Check front panel meters for accuracy and LED operation.
Troubleshooting Procedure
Troubleshooting should be performed only by trained service personnel or experienced electricians. Before setting up any complicated testing or making any conclusions, inspect the power system using the guide below.
Check the following:
- Check DC output cables, connections, battery type, and number of cells against the power system’s rating.
- Check power system specifications against customer order.
- Check input connections, input voltage and breaker size.
- Check for shipping damage, loose connections, broken wires, etc.
- Certain failures can be caused by defective batteries and customer loads; make sure batteries and loads are free from defects.
NOTE: If the problem is found to be located in the printed circuit boards, the board should be replaced. No attempt should be made to repair circuit boards in the field.
La Marche Service Technicians are available to help with troubleshooting or with scheduling power system service. When calling for a service inquiry or for troubleshooting assistance, be sure to have all of the following information on hand:
- Equipment model number and serial number.
- The measured AC input voltage.
- The measured DC output voltage, with and without the battery.
- Result of the check of the AC and DC breakers.
- The DC output current and voltage, measured with battery and load connected to power system.
NOTE: When ordering replacement parts, drawings, or schematics, provide the model number, serial number, and description of problem, if available.
La Marche Phone Number: (847) 299-1188
24-hour Emergency Number: (847) 296-8939
Troubleshooting Chart
Isolate from all power sources prior to performing any interior verifications or part replacements.
| Symptom | Possible Cause | Action |
| AC Failure | The AC input power cable is faulty. | Check whether the AC input cable is loose. If yes, secure the AC input cable. Check whether the AC input circuit breaker is OFF. If yes, handle the back-end circuit failure and then switch on the circuit breaker. Check whether the AC input voltage is lower than 50VAC. If yes, handle the mains grid fault. |
| The AC input circuit breaker is OFF. | ||
| The mains grid is faulty. | ||
| AC Over Voltage | The AC overvoltage alarm threshold is not set properly on the LMP-SC. | Check whether the AC overvoltage alarm threshold is properly set. If no, adjust it to a proper value. Check whether the AC input voltage exceeds the AC overvoltage alarm threshold (280VAC by default). If yes, handle the AC input fault. |
| The power grid is faulty. | ||
|
AC Under Voltage | The AC undervoltage alarm threshold is not set properly on the LMP-SC. | Check whether the AC undervoltage alarm threshold is properly set. If no, adjust it to a proper value. Check whether the AC input voltage is below the AC undervoltage alarm threshold (180VAC by default). If yes, handle the AC input fault. |
| The power grid is faulty. | ||
| DC Over Voltage | The DC overvoltage alarm threshold is not set properly on the LMP-SC. | Check whether the DC overvoltage alarm threshold (58VDC by default) is properly set. If no, adjust it to a proper value. Check whether the system voltage is set too high in manual mode. If yes, confirm the reason and adjust the voltage to normal after the operation. Remove the rectifiers one by one and check whether the alarm is cleared. If the alarm still exists, reinstall the rectifier. If the alarm is cleared, replace the rectifier. |
| The power system voltage is set too high in manual mode. | ||
| Rectifiers are faulty. | ||
| DC Under Voltage | An AC power failure occurs. | Check whether an AC power failure occurs. If yes, resume the AC power supply. Check whether the DC undervoltage alarm threshold (45VDC by default) is properly set. If no, adjust it to a proper value. Check whether the load current is greater than the current power system capacity. If yes, expand the power system capacity or reduce the load power. Check whether the system voltage is set too low in manual mode. If yes, confirm the reason and adjust the voltage to a proper value after the operation. Check whether the power system capacity is insufficient for the loads due to rectifier failures. If yes, replace the faulty rectifier. |
| The DC undervoltage alarm threshold is not set properly on the LMP-SC. | ||
| The system configuration is not proper. | ||
| The power system voltage is set too low in manual mode. | ||
| Rectifiers are faulty. | ||
| Battery Charge Overcurrent | The rectifier communication is interrupted. | Check whether an alarm is generated for rectifier comm. interruption. If yes, remove the rectifier and reinstall it to check whether the alarm is cleared. If the alarm still exists, replace the rectifier. |
| Poor contact of the LMP-SC. |
| The LMP-SC is faulty. | Remove the LMP-SC and reinstall it to check whether the alarm is cleared. If the alarm still exists, replace the LMP-SC. | |
| LLVD Disconnected | An AC power failure occurs. | Check whether an AC power failure occurs. If yes, resume the AC power supply. Check whether loads are manually disconnected. If yes, confirm the reason of the manual disconnect, and reconnect the loads after the operation. Check whether the load disconnect voltage (44VDC by default) is set too high on the LMP-SC. If yes, adjust it to a proper value. |
| Loads are manually disconnected. | ||
| The load disconnect voltage is set too high on the LMP-SC. | ||
| BLVD Disconnected | An AC power failure occurs. | Check whether an AC power failure occurs. If yes, resume the AC power supply. Check whether batteries are manually disconnected. If yes, confirm the reason of the manual disconnect, and reconnect the batteries after the operation. Check whether the battery disconnect voltage (43.2VDC by default) is set too high on the LMP-SC. If yes, adjust it to a proper value. |
| Batteries are manually disconnected. | ||
| The battery disconnect voltage is set too high on the LMP-SC. | ||
| Battery Loop Trip | The battery circuit breaker trips or battery fuse detection cable is disconnected. | Check whether the battery circuit breaker trips or battery fuse detection cable is disconnected. If yes, reconnect the cable. Check whether the battery circuit breaker trips or battery fuse is blown. If yes, rectify the battery loop fault and then switch on the circuit breaker or replace the fuse. Manually switch on or switch off the battery contactor and check the battery current changes accordingly. If no, replace the contactor. |
| The battery circuit breaker trips or battery fuse is blown. | ||
| The contactor is faulty. | ||
| High Ambient Temperature | The ambient overtemperature alarm threshold is not set properly on the LMP-SC. | Check whether the ambient temperature alarm threshold (55°C by default) is properly set on the LMP- SC. If no, adjust it based on site requirements. Check whether the temperature control system in the cabinet is faulty. If yes, rectify the fault. The alarm is cleared when the cabinet temperature falls within the allowed range. Check whether the ambient temperature sensor is faulty. If yes, replace the temperature sensor. |
| The temperature control system is faulty in the cabinet where the ambient temperature sensor is located. | ||
| The ambient temperature sensor is faulty. | ||
| Low Ambient Temperature (Optional) | The ambient undertemperature alarm threshold is not set properly on the LMP-SC. | Check whether the ambient under temperature alarm threshold (-20°C by default) is properly set on the LMP- SC. If no, adjust it based on site requirements. Check whether the temperature control system in the cabinet is faulty. If yes, rectify the fault. The alarm is cleared when the cabinet temperature falls within the allowed range. Check whether the ambient temperature sensor is faulty. If yes, replace the ambient temperature sensor. |
| The temperature control system is faulty in the cabinet where the ambient temperature sensor is located. | ||
| The ambient temperature sensor is faulty. |
| High Ambient Humidity (Optional) | The ambient overhumidity alarm threshold is not set properly on the LMP-SC. | Check whether the ambient over humidity alarm threshold (95% RH by default) is properly set on the LMP-SC. If no, adjust it based on site requirements. Check whether water intrudes into the cabinet. If yes, wipe the water with dry cotton or other tools and rectify the fault. Check whether the humidity sensor is faulty. If yes, replace the humidity sensor. |
| The humidity is too high in the cabinet where the humidity sensor is located. | ||
| The humidity sensor is faulty. | ||
| Low Ambient Humidity (Optional) | The ambient underhumidity alarm threshold is not properly set on the LMP-SC. | Check whether the ambient underhumidity alarm threshold (5% RH by default) is properly set on the LMP-SC. If no, adjust it based on site requirements. Check whether the humidity inside the cabinet is too low. If yes, adjust the humidity. The alarm is cleared when the humidity returns to the allowed range. Check whether the humidity sensor is faulty. If yes, replace the humidity sensor. |
| The humidity is too low in the cabinet where the humidity sensor is located. | ||
| The humidity sensor is faulty. | ||
| Battery High Temperature | The battery overtemperature alarm threshold is not set properly on the LMP-SC. | Check whether the battery overtemperature alarm threshold (50°C by default) is properly set. If no, adjust it to a proper value. Check whether the battery temperature controlling system is faulty. If yes, rectify the fault. The alarm is cleared when the battery temperature falls within the allowed range. Check whether the battery temperature sensor is faulty. If yes, replace the temperature sensor. |
| The battery temperature controlling system is faulty. | ||
| The battery temperature sensor is faulty. | ||
| Battery Low Temperature (Optional) | The battery undertemperature alarm threshold is not set properly on the LMP-SC. | Check whether the battery undertemperature alarm threshold (-10°C by default) is properly set. If no, adjust it to a proper value Check whether the temperature control system for the battery compartment is faulty. If yes, rectify the fault. The alarm is cleared when the temperature in the battery compartment becomes normal. Check whether the battery temperature sensor is faulty. If yes, replace the temperature sensor. |
| The battery temperature controlling system is faulty. | ||
| The battery temperature sensor is faulty. | ||
| Door Alarm (Optional) | The cabinet doors are open. | Close cabinet doors. Check whether the door status sensor is faulty. If yes, replace the door status sensor. |
| The door status sensor is faulty. | ||
| Water Alarm (Optional) | Water intrudes into the cabinet. | Check whether water intrudes into the cabinet. If yes, wipe the water with dry cotton or other tools and rectify the fault. Check whether the water sensor is faulty. If yes, replace the water sensor. |
| The water sensor is faulty. | ||
| Smoke Alarm (Optional) | There is smoke inside the cabinet. | Check whether there is smoke inside the cabinet. If yes, disconnect the power supply from the cabinet, handle the fault, and then resume system operation and clear the alarm on the LMP-SC. Check whether the smoke sensor is faulty. If yes, replace the smoke sensor. |
| The smoke sensor is faulty. |
| Rectifier Fault | The rectifier is in poor contact. | Check the Fault indicator on the rectifier panel. If it is steady red, remove the rectifier, and then reinstall it after the indicator turns off. If the alarm still exists, replace the rectifier. |
| The rectifier is faulty. | ||
| Rectifier Protection | The rectifier input voltage is too high. | Check whether the AC input voltage exceeds the upper threshold of the rectifier working voltage. If yes, rectify the power supply fault and then resume the power supply. Check whether the AC input voltage is below the lower threshold of the rectifier working voltage. If yes, rectify the power supply fault and then resume the power supply. Check whether the ambient temperature is higher than the normal operating temperature of the rectifier. If yes, check and rectify the temperature unit fault. Remove the rectifier that generates the alarm and reinstall it after the indicator turns off. If the alarm still exists, replace the rectifier. |
| The rectifier input voltage is too low. | ||
| The ambient temperature is too high. | ||
| The rectifier is abnormal. | ||
| Rectifier Communication Fault | The rectifier is removed. | Check whether the rectifier is removed. If yes, reinstall it. If the rectifier is in position, remove the rectifier and reinstall it. If the alarm still exists, replace the rectifier. |
| The rectifier is in poor contact. | ||
| The rectifier is faulty | ||
| Load Fuse Break | The load circuit breaker trips or fuse is blown. | Check whether the load circuit breaker trips or fuse is blown. If yes, rectify the back-end circuit fault and then switch on the circuit breaker or replace the fuse. Check whether the load circuit breaker or fuse detection cable is disconnected. If yes, reconnect the cable. |
| The load circuit breaker or fuse detection cable is disconnected. | ||
| AC SPD Alarm | The AC SPD is faulty. | Check whether the AC SPD indication window turns red. If yes, replace the SPD. Check whether the AC SPD detection cable is disconnected. If yes, reconnect the cable. |
| The AC SPD detection cable is disconnected. |
Appendix A: LMP Specifications

Appendix B: LMP-R50 Specifications


Appendix C: Manufacturer’s Warranty
All La Marche Manufacturing Co. equipment has been thoroughly tested and found to be in proper operating condition upon shipment from the factory and is warranted to be free from any defect in workmanship and material that may develop within two years from date of purchase.
Should a piece of equipment require major component replacement or repair during the first year of the warranty period, these can be handled in one of two ways:
- The equipment can be returned to the La Marche factory to have the inspections, parts replacements and testing performed by factory personnel. Should it be necessary to return a piece of equipment or parts to the factory, the customer or sales representative must obtain authorization from the factory. If upon inspection at the factory, the defect was due to faulty material or workmanship, all repairs will be made at no cost to the customer during the first year. Transportation charges or duties shall be borne by purchaser.
- If the purchaser elects not to return the equipment to the factory and wishes a factory service representative to make adjustments and/or repairs at the equipment location, La Marche’s field service labor rates will apply. A purchase order to cover the labor and transportation cost is required prior to the deployment of the service representative.
In accepting delivery of the equipment, the purchaser assumes full responsibility for proper installation, installation adjustments and service arrangements. Should minor adjustments be required, the local La Marche sales representative should be contacted to provide this service only. All sales are final. Only standard LaMarche units will be considered for return. A 25% restocking fee is charged when return is factory authorized. Special units are not returnable. In no event shall La Marche Manufacturing Co. have any liability for consequential damages, or loss, damage or expense directly or indirectly arising from the use of the products, or any inability to use them either separately or in combination with other equipment or materials, or from any other cause. In addition, any alterations of equipment made by anyone other than La Marche Manufacturing Co. renders this warranty null and void. La Marche Manufacturing Co. reserves the right to make revisions in current production of equipment, and assumes no obligation to incorporate these revisions in earlier models. The failure of La Marche Manufacturing Co. to object to provisions contained in customers’ purchase orders or other communications shall not be deemed a waiver of the terms or conditions hereof, nor acceptance of such provisions. The above warranty is exclusive, supersedes and is in lieu of all other warranties, expressed or implied, including any implied warranty of merchantability or fitness. No person, agent or dealer is authorized to give any warranties on behalf of the Manufacturer, nor to assume for the Manufacturer any other liability in connection with any of its products unless made in writing and signed by an official of the manufacturer.
Appendix D: Document Control and Revision History
Part Number: 142884
Instruction Number:P25-LLMP-1
Issue ECN: 22586 – 05/20
| 22864 – 04/21 | 22687 – 09/20 | 22586 – 05/20 | |
























