

TD250 V9
Six Channel +/-250V Amplifier
Manual and Specifications
Revision History
| Date | Revision | By | Changes |
| 27/04/22 | R1 | KB | Power supply part number added to specs |
Introduction
The TD250 is an ultra-low noise, six-channel voltage amplifier with +/-250V output range. The six channels can be ordered as either independent (TD250-SGL), or as three channels with non-inverting and inverting outputs (TD250-INV), which are ideal for driving piezoelectric tube scanners. The inverting configuration can also be used to obtain +/-500V with a bridged load.
The TD250 can drive unlimited capacitive loads such as piezoelectric tubes, stack actuators, standard piezoelectric actuators, and bender actuators. Applications include nanopositioning, microscopy, electro-optics, and vibration control.
The input and output connectors are industry standard 9-Pin D-Sub connectors. The amplifier is supplied with two DSUB cables and two breakout boxes that include BNC connectors and plug-in screw terminals. OEM and customized versions are also available. Example applications include:
| Compatible Actuators | |
| Piezoelectric tubes | +/-250V |
| Piezoelectric plates and other actuators | +/-250V with a grounded load, or +/-500V in bridged configuration |
| Two wire benders | +/-250V with one electrode grounded (six actuators), or +/-500V in bridged configuration (three actuators) |
| Three wire benders | +/-250V on each electrode (3 actuators), or up to +/-250V on 5 actuators + HV Bias. |
Warnings / Notes
This device produces hazardous potentials and requires qualified personnel and observation of mandatory safety protocols. Do not operate the device with exposed conductors.
Specifications
| Electrical Specifications | |
| Output voltage range | +1-250 V Six Channels |
| RMS current | 28 mA |
| Peak current | 100 mA |
| Gain | 25 V/V |
| Slew rate | 20 V/us |
| Signal bandwidth | 25 kHz |
| Power bandwidth | 15 kHz |
| Noise | 61 uVrms (100 nF Load) |
| Protection | Short-circuit, temperature, under-voltage |
| Input impedance | 1 MOhm |
| Output impedance | 100 Ohm |
| Input connector | 9 Pin D-sub Female |
| Output connector | 9 Pin D-sub Female |
| Power Supply | Meanwell GST120A15-R7B |
| Mechanical Specifications | |
| Environment | 0-40 C (32-104 F) Non-condensing humidity |
| Dimensions | 216 x 108 x 48 mm (8.5 x 4.3 x 1.9 in) |
| Weight | 1 kg (2.2 lb) |
Delivery Contents
- TD250 amplifier
- Two breakout boxes with BNC connectors and plug-in screw-terminals
- Two DSUB9 cables, Male-Male, with straight-through wiring
- Universal power supply 90 Vac to 250 Vac, 15V 3A output, Meanwell GST120A15-R7B
- IEC C13 power cable, suited to the shipping destination
Channel Configurations
The TD250 can be ordered with six independent channels (TD250-SGL) or three non-inverting and inverting pairs for driving piezoelectric tubes and bridged loads (TD250-INV). The connection diagrams are shown below.

Front Panel
The input and output connectors are 9-pin DSUB receptacles. The recommended mating connectors are 9-pin DSUB male cable plugs. The connector pins on the amplifier are listed below.

| Connector Pin | Input Connector | Output Connector |
| 1 to 6 | Inputs 1 to 6 | Outputs 1 to 6 |
| 7 | Signal Ground | Signal Ground |
| 8 | Status | Signal Ground |
| 9 | Disable | Signal Ground |
| Connector shield | Chassis Earth | Chassis Earth |
Table 1. Front panel D-sub connector pin-out
Input Signals
The standard input voltage is +/-10V and the absolute maximum input voltage is +/-20V. Use the signal ground, not chassis earth. The input impedance is 1 MOhm when the amplifier is powered on and approximately 1.5 kOhm when the amplifier is off. For the inverting configuration (TD250-INV), only inputs 1, 3, and 5 are active.
Disable Input
Applying a positive voltage of between 3V and 5V to the disabled pin on the front panel connector will turn off the amplifier. The input impedance is approximately 2 kOhm. The absolute maximum input voltage is +/-10V.
Status Output
A +5V output (relative to signal ground) on the status pin indicates that the high-voltage power supplies are both active and not affected by any overload or disabling conditions. The output impedance is 100 kOhm. The output voltage can be reduced to 3V by shunting the output to signal ground with any 3V Zener diode.
Output Signals
The load should be connected between each output and signal ground. Do not operate the amplifier with exposed conductors.
Status Indicator
Green indicates that the amplifier is on and the high-voltage power supply is active. Red indicates that the amplifier is on but the high-voltage power supplies are less than 240V due to a fault condition. A mixture of red and green indicates that the amplifier is on the verge of overload.
Rear Panel

The rear panel includes a chassis earth connector that can be used to improve shielding, particularly when using an alternative power supply with an isolated output. This connector will accept a wire lug, 4mm plug, or stripped wire. The negative terminal of the power input connector is also connected to the chassis. Since the negative output terminal of the included power supply is connected to earth, the chassis is normally earthed.
The included power supply is Meanwell GST120A15-R7B. The power input connector is CUI PD-40S, which suits a 4-pin DIN male plug,
Grounding and Earthing
The chassis ground of the TD250 is electrically connected to the negative terminal of the power supply inlet. The negative terminal of the included power supply (GST120A15-R7B) is internally connected to earth, which earths the chassis of the TD250. The chassis can also be earthed by the lug on the rear panel, which is required if an isolated AC power supply is used.
The input signals should be connected between an input pin (pin 1-6) and signal ground (pin 7). The load should be connected between an output pin (pin 1-6) and signal ground (pin 7-9). The BNC connector grounds are normally connected to chassis ground, and hence earth.

Breakout Box
The TD250 is supplied with two identical breakout boxes that simplify input and output connections when using BNC cables or free wires. The header installed in the breakout box (Amphenol OQ1032510000G) suits a 10-Way 3.81mm plug-in screw terminal (Amphenol TJ1031530000G) which is also supplied (but not pictured below) Each breakout box is connected to the amplifier with a 9-Pin male-male D-sub cable with one-to-one (straight through) wiring.

| DSUB9 Connector Pin | BNC | Plug-in Screw Terminals |
| 1 to 6 | 1 to 6 | Outputs 1 to 6 |
| 7 | BNC Shields | 7 |
| 8 | 8 | |
| 9 | 9 | |
| Grounded shield | 10 |
Table 2. Breakout box connectivity
Power Bandwidth
The power bandwidth is the maximum frequency sine wave that can be reproduced with a given amplitude and load capacitance. An online tool is available for this purpose. The example screenshot below shows that the maximum frequency is 650 Hz, with a 0.1 uF load and 200 Vpk-pk output.

Pulse Currents
The peak current output of the TD250 is 100 mA. When reproducing step voltage changes in capacitive loads, the peak current will remain above 85 mA for approximately 100 us. The relationship between output current and duration is plotted in Figure 6.

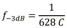
Small Signal Frequency Response
The small-signal bandwidth of the TD250 is approximately 25 kHz with a capacitive load less than 10 nF. For capacitive loads larger than 100 nF, the -3dB bandwidth is approximately
![]()
where is the load capacitance. The bandwidth for a range of capacitive loads is listed in Table 3. The small-signal frequency response is plotted for a range of load capacitances in Figure 7.

Noise
13.1 Noise Spectral Density
The noise density of the TD250 for a range of load capacitances is plotted in Figure 8. The noise density is approximately 0.45 uV/√Hz, with a first-order low-pass response, where the bandwidth is inversely proportional to load capacitance.
The total white noise of the TD250 is equivalent to the voltage noise of a 20 kΩ resistor at the input. Since the equivalent input voltage noise of the TD250 is 18 nV/√Hz, the noise of any driving source should preferably be below 5 nV/√Hz, to avoid degrading performance.
The noise spectrum contains small periodic components at approximately 35 kHz and 70 kHz, which arise from the power supply circuit. The amplitude of these narrowband components are significantly smaller than the white noise, as observed in the time-domain plots in Section 13.3.
Due to the extremely low noise of the TD250, ground loops between the TD250 and driving instruments should be minimized. A ground loop effectively creates a large single turn coil, where any stray magnetic fields will induce a small 50 Hz or 60 Hz voltage that is added to the signal. In cases where large ground loops cannot be avoided, contact PiezoDrive for advice on minimizing interference using isolation.
In critical piezoelectric positioning applications, other techniques are available to reduce positioning noise levels. These applications are dealt with on a case-by-case basis depending on the application requirements.

13.2 RMS Noise
The RMS output voltage noise is listed in Table 3 for a range of load capacitances. Larger capacitances result in smaller bandwidth and hence, smaller RMS noise.
| Load Conditions | RMS Noise | -3dB Bandwidth |
| No Load | 144 uV | 26 kHz |
| 1 nF | 149 uV | 28 kHz |
| 3 nF | 144 uV | 26 kHz |
| 10 nF | 128 uV | 17 kHz |
| 30 nF | 93 uV | 5.3 kHz |
| 100 nF | 61 uV | 1.6 kHz |
| 300 nF | 37 uV | 5.3 kHz |
| 1 uF | 22 uV | 1.6 kHz |
| 3 uF | 13 uV | 530 Hz |
| 10 uF | 8 uV | 160 Hz |
Table 3. Typical output voltage noise and bandwidth versus load capacitance
13.3 Typical Noise Waveforms
An example of typical output voltage noise waveforms is plotted in Figure 9 for a range of load capacitances. All cases share the same noise density but the reduced bandwidth with larger capacitances results in smaller RMS noise, as listed in Table 3.

13.4 Noise Test Conditions
The output noise of the TD250 was measured with the standard DSUB cables and breakout boxes (as supplied). All inputs on the input breakout box were directly connected to signal ground using the screw terminal connector. A test capacitor was connected between the output of interest and ground using the screw terminals on the breakout box. The output voltage was directly connected to an SRS560 low-noise amplifier with a gain of 1000 and bandwidth of 0.03 Hz to 1 MHz. This signal is of sufficient amplitude that it can be recorded with an oscilloscope and spectrum analyzer.
Overload Protection
The overload protection mechanisms are listed below:
| Overload | Behaviour | Vindicator |
| Peak current Short circuit | If the peak current limit is exceeded for any reason, the output current is limited to 14 mA DC. | None — distorted waveform |
| Average current | If the RMS output current is exceeded for more than 10 ms, the output current will be limited to 14 mA DC or 28mA RMS. | None — distorted waveform |
| Total current | The internal high-voltage supply is limited to a total current limit of 60 mA average and 300 mA peak. If this is exceeded, the supply voltage will be reduced. | Status signal drops below 1V and front panel LED glows red |
| Temperature | If the heatsink temperature exceeds 70 C, the high-voltage supply will be disabled until the temperature reduces. | Status signal drops below 1V and front panel LED glows red |
Table 4. Overload conditions and behavior
14.1 Status Signal
The Status signal on the front panel connector is nominally 5V during normal operation. The Status signal drops below 1V when either of the HV supplies drops below 240V due to a fault condition. The output impedance of this signal is 100 kOhm, it should be measured with a high impedance. If the Status signal is pulled low due to a fault condition or disable command, the front panel LED glows red. During startup, the LED will glow red for approximately 1 s.
14.2 Disable Command
Applying a positive voltage of between 3V and 5V to the disabled pin on the front panel connector will turn off the amplifier. The input impedance is approximately 2 kOhm. The absolute maximum input voltage is +/-10V.
Driving Piezoelectric Tubes
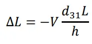
Piezoelectric tube scanners are thin cylinders of radially poled piezoelectric material with four external electrodes and a continuous internal electrode. When a voltage is applied to one of the external electrodes, the actuator wall expands which causes a vertical contraction and a large lateral deflection of the tube tip. A circumferential electrode can be used for vertical or radial extension and contraction. Piezoelectric tube scanners are used extensively in scanning probe microscopes and applications such as fiber stretching and beam scanning. Read more online.

![]()
where Δ and Δ are the and axis deflection, 31 is the piezoelectric strain constant, is the length of the tube, is the outside diameter, ℎ is the tube thickness, and and are the electrode voltages, which are applied oppositely to either side of the tube. The vertical elongation due to a voltage applied on all four quadrants is
![]()
The diameter expansion due to a voltage applied on all four quadrants or the internal electrode is
![]()
The expansion range in the vertical and radial directions can be doubled by driving the internal and external electrodes with opposite voltages, so long as the maximum permissible voltage is not exceeded.
The TD250 is optimized for driving piezoelectric tube scanners in applications that require the lowest possible electronic and mechanical noise. Although many configurations are possible, the driven internal electrode configuration shown in Figure 11 provides the maximum X, Y, and Z travel range [1].
This configuration is also referred to as the “Full Length” configuration [1]. The performance of this method is compared to other configurations in reference [1].
In the driven internal electrode configuration, the X and Y electrodes are driven in the standard way with equal and opposite voltages, as shown in Figure 11. By applying a negative voltage to the internal electrode, a contraction equal to half the vertical scan range can be obtained. That is, the vertical deflection is
![]()
where is a strictly negative voltage applied to the internal electrode.
This method exploits the higher positive electric field strength of the piezoelectric material, which is usually five times the negative electric field strength. Care must be taken not to apply positive voltages to the internal electrode since this can lead to depolarization. For example, when using a non-inverting channel, the input is enforced to be negative as shown in Figure 11. Alternatively, an inverting channel can be used and the input is enforced to be positive.

Figure 11. Driving piezoelectric tubes with the TD250-INV (driven internal electrode configuration)
Piezoelectric tubes with prewired connections are available from PiezoDrive. Prewired tubes can also be supplied with D-sub connectors for direct connection to the TD250 output cable.
References
[1] Electrode Configurations for Piezoelectric Tube Actuators with Improved Scan Range and Reduced Cross-Coupling; D. S. Raghunvanshi, S. I. Moore, A. J. Fleming, and Y. K. Yong; IEEE/ASME Transactions on Mechatronics, 2020, Available Online.
Bridged Load Configuration
To obtain an output voltage range of +/-500V, the TD250-INV can use with a bridged load, as illustrated below. Note that the negative side of the load is now driven and cannot be connected to the ground. The voltage across the bridged load is
![]()
where is the voltage applied to inputs 1, 3, or 5 and has a maximum value of +/-10 V. In the bridged configuration, the power bandwidth can be assessed by using the full peak-to-peak load voltage in the calculator.

Warranty
The TD250 is guaranteed for 12 months. The warranty does not cover damage due to misuse.
TD250 V9 Manual
Modifed 27/04/2022



















