Viatom ER1 Dynamic ECG recorder

© ViATOM TECHNOLOGY (UNPUBLISHED) ALL RIGHTS RESERVED
This material is the proprietary information of ViATOM Technology. And any use, reproduction, or distribution of the material contained herein, unless specifically authorized by ViATOM Technology, is expressly forbidden and would violate the rights and interests of ViATOM Technology.
The basics
This manual contains the instructions necessary to operate the product safely and in accordance with its function and intended use. Observance of this manual is a prerequisite for proper product performance and correct operation and ensures patient and operator safety.
Safety
Warnings and Cautionary Advice
- Before using this equipment, please read this manual carefully and fully understand the warnings and risks.
- This device is not intended to replace the medical diagnosis of a professional doctor.
- The measurement results of this device are for reference only and cannot be directly used as a basis for clinical treatment.
- We do not recommend the use of this device if you have a pacemaker or other implantable device in your body.Please follow the doctor’s advice if necessary.
- This device cannot be used with a defibrillator.
- This device cannot be used during ct or nuclear magnetic resonance (MRI) procedures.
- This equipment must not be used in a flammable environment (eg oxygen-rich environment).
- This device is not intended for use by infants weighing less than 10 kg.
- Do not swim or submerge the device in the water.Do not immerse the device in water or other liquids.
- Do not use acetone or other volatile solutions to clean the device.
- Do not strongly collide or crush the device. If the casing is broken, stop using it.
- This device cannot be placed in a pressure vessel or gas sterilization equipment.
- Do not disassemble the device at will, otherwise it may cause machine malfunction or affect the normal operation of the device.
- Keep this device out of the reach of children or pets、pests.
- This device should not be used on people with sensitive skin or allergies.
- This equipment cannot be placed in the following environments: direct sunlight, high temperature, high humidity, close to water or fire sources, and high electromagnetic influence.
- Users should try to avoid sweating. The sweat will affect the contact between the electrodes and the skin, affecting the quality of the measurement.
- Users should inspect loosened electrodes, that can degrade performance or cause other problems
- Do not participate in violent or extensive physical activity in order to make appropriate measurements.
- The measurement results of this device cannot distinguish all diseases.If your body feels unwell, you should consult your doctor immediately, in addition to the measurement results of this device.
- Do not self-diagnose and take medication based on the measurements of this device without consulting your doctor.In particular, do not take new medications without prior permission.
- This device is not a substitute for professional heart or other organ function measurement equipment. Medical ECG measurement requires more professional and complete measurements.
- This device cannot be used to diagnose a disease directly.Please consult your doctor.
- We recommend that you record your ECG curve and the results of the measurements and provide them to your doctor if necessary.
- Waste (including the equipment itself is scrapped) is disposed of in accordance with relevant laws and regulations.
- When the ambient temperature is 20 ℃, the minimum and maximum storage temperature from the product to ready for use is 2H(the time required).
- The patient is the expected user.
- Do not pile up the long tubing at the head of the bed,as it may wrap around the head or neck of the patient during sleep.
- Li batteries capacity will decrease after charge discharge for 300 times.
- The electrodes (Applied parts) should not contact other conductive parts including earth
- The product should not be maintained while in use
Introduction
Intended Use
The product is intended to collect, record and store adults’ ECG data at home or in healthcare environment,does not contain auto-analysis function. The product continuously records and stores ECG and activity data for up to 3 days at a time.
Contraindications:
The product is not intended for use in patients with cardiac pacemakers or other implantable devices.
About ER1 
- Right sign
When wearing, the side marked “R” should be on the right hand side of the wearer. - LED indicator
Green light flashes (with the rhythm of the heartbeat): the device is in the normal collection state;
Green light flashes ( 5s intervals): the device is in standby mode;
Yellow light is always on: the device is charging, and the green light is always on when it is full
Yellow light Flash: insufficient power; - Power interface contacts
Used to connect charging cables. - Electrode buckle
Used to connect chest straps, disposable ECG electrodes or\charging cables.
Symbols 

Product structure and composition
This product is mainly composed of Dynamic ECG recorder main unit, OTG adapter, charging cable and Chest strap
(optional).Disposable ECG electrode(optional).
Using Instructions
Before use
Warnings and Cautionary Advices
Before taking measurements, please pay attention to the following points to ensure the accuracy of the measurement data.
- Use only the cables and accessories specified in this manual.
- This device has no alarm function and therefore does not generate an audible alarm for the result of the measurement.
- Ungrounded equipment next to the patient and interference from electrosurgery can cause waveform instability.
Open-box to check
Please check the box carefully before unpacking.If you find any damage, please contact the carrier or the company immediately If the package is complete, unpack the package in the correct way and carefully remove the device and other components from the box. Check the device for any mechanical damage and complete items.
If you have any questions, please contact us immediately.
Warnings and Cautionary Advices
- Please save the box and packing materials for future transportation or storage.
- When handling packaging materials, you must follow local regulations or the hospital’s waste disposal system and place the packaging materials out of reach of children.
- The device may be contaminated by microorganisms during storage, transportation and use. Please confirm that the packaging is in good condition before use. that the packaging is in good condition before use.
- The date of manufacture and the date of use of the product are listed on the label.
Boot
When the device is shipped from the factory, it is completely inactive by default.The device should be charged to activate the device before it is used for the first time.
Measuring process
Measurement methods
- ECG electrode wearing method:
Remove the packaging of the single-use ECG electrode, install the ECG electrode on the device through the electrode buckle, and wear the Dynamic ECG recorder with the ECG electrode on the chest as shown in the figure
- Chest Strap measurement method:
Attach the main unit to the strap and then wear the Chest strap with the main unit attached to the precordium (The marked with the English letter “R” is on the right hand side of the wearer.) as shown below.
Precautions: - Before use, please check whether the single-use ECG electrode is within the validity period.
- The ECG electrode must be in direct contact with the skin.
- Before wearing, if necessary, remove the hair on the electrode part, then clean the skin with clean water, and dry it before attaching the ECG electrode
- When using the Chest strap measurement method, if necessary, remove the hair from the electrode part, then clean the skin with water, and then apply the electrode after drying.
- Do not speak and remain still during the measurement. Any movement will affect the measurement results.
- Please sit when measuring possible.
Measuring step
- After selecting a measurement method, the device detects that the ECG signal is automatically turned on, the signal light changes to the green and flash(with heart rate),the device starts to measure.
- The duration of a measurement is 5 minutes to 72 hours. If you want to end the measurement, please remove the Disposable ECG electrodes or unfasten the chest strap to remove the device. After 1 minute, the device completes data storage.
- When the test is less than 5 minutes, there is no data to save, and more than 5 minutes will be saved. When the continuous measurement time is 72 hours, the measurement will be ended and the data will be saved.
Data view
After the measurement is completed, the data measured in the device can be transmitted to the mobile equipment for viewing by Bluetooth.
Steps for data export by Bluetooth:
- Turn on the Bluetooth function of the mobile equipment to ensure that the Bluetooth function is turned on.
- Use OTG adapter and charging cable by pairing on the mobile equipment;According to the prompts of the mobile equipment, data export is implemented. as shown below.
Precautions:
The device can store up to 10 part measurement data and up to 80h of measurement data .In order to ensure that every data you collect is able to be viewed smoothly, please export the data in time after each measurement is completed.
Charging
This device uses a rechargeable lithium battery.charged by connecting a laptop or a power adapter with charging cable. Charging specific steps:
- Place the main connect the charging base through the charging cable.As shown below.
- Connect the charging cable to the usb port with 5v output voltage for charging.After entering the charging state, the indicator light will turn yellow and steady; when the charging is completed, the indicator light will turn green and steady;.

Warnings and Cautionary Advices
- The device cannot be used during charging, and if choosing a third party charging adaptor (Class II ), select one that complies with IEC60950 or IEC60601-1.
- Keep out of reach when charging.
- When the long-term storage is not in use, it is necessary to periodically charge the device to maintain battery performance.
Maintenance
Warnings and Cautionary Advices
Have the device repaired by authorized service centers only, otherwise its warranty is invalid
Warranty
The product is warranted to be free from defects in materials and workmanship within warranty period when used in accordance with the provided instructions.
Battery
When the remaining battery power is low, the indicator light will turn yellow and flash, and the device needs to be charged. \
Warnings and Cautionary Advices
- The built-in rechargeable lithium-ion battery cannot be replaced.Non-professionals cannot open the enclosure and modify or replace the battery.
- Do not expose the main unit to high temperatures such as ovens,water heaters and microwave ovens.Overheat ing of the battery may explode.
- Do not contaminate or modify the battery. Doing so may cause the battery to leak, overheat, ignite or explode.
- If the battery leaks, keep your skin and eyes free from leaking liquids.If skin or eyes come into contact with leaking liquid, rinse your skin or eyes immediately and go to hospital for treatment.
- Do not throw the battery into a fire. Doing so may cause an explosion.
- When the battery exceeds the service life or no longer holds the power, you should contact the manufacturer for disposal.To dispose of the battery, follow local laws for proper disposal.
Cleaning
Dynamic ECG recorder and straps need to be cleaned regularly;clean the device per week. carefully swabbing the device with a clean, soft cloth or cotton ball with 70% medical alcohol or water. Do not use petrol, thinners or similar solvent.
Warnings and Cautionary Advices
Before using another patient, the device must be cleaned with 70% medical alcohol or water. At the same time, disposable ECG stickers cannot be mixed and must be replaced.
Recycling
Disposal of waste, residues, etc., as well as device and accessories at the end of their useful life shall not be disposed of at random and shall be in accordance with local regulations. When it is intended to discard this device, it must be sent to the appropriate facility for recycling and recycling.
Problem solving
| Problem | Possible Cause | Recommended Action |
| The device cannot perform normal acquisition | 1. The battery is low 2. Equipment damage | 1. Please charge the device 2. Please contact your local agent |
| 1. Please re-measure | ||
| ECG waveform is disordered, and the clutter is large | 1. Measurement method is incorrect 2. Poor contact of ECG electrode | according to the recommendations of the manual 2. Please clean the ECG electrode according to the |
| method described in the manual. |
accessories
| Serial number | Accessory name | Quantity |
| 1 | Charging cable | 1 |
| 2 | OTG adapter | 1 |
| 3 | Chest Strap (optional) | 1 |
| 4 | Disposable ECG electrodes (optional) | 2 |
Warnings and Cautionary Advices
- Use only the accessories specified in this manual, and using other accessories may damage the device.
- Check if the disposable ECG electrode has expired before use.
- The disposable ECG electrode used with this device is user-purchased device, which must be a formal device with a medical device registration certificate
- Disposable ECG electrodes should not be attached to patients with traumatized or scarred skin.
- Disposable ECGelectrodes should be in close contact with the skin. If itching or skin irritation or ulceration occurs, stop using it immediately.
Specifications
| Classification | ||
| EC Directive | MDD, 93/42/EEC | |
| R&TTE, 2014/53EU | ||
| ROHS 2.0, 2011/65/EU | ||
| Degree protection against electrical shock | Type BF | |
| Environmental | ||
| Item | Operating | Storage |
| Temperature | 5 ~ 45°C | -25 ~ 60°C |
| Relative humidity (non-condensing) | 10% ~ 95% | 10% ~ 95% |
| Atmospheric pressure | 700 ~ 1060 hPa | 700 ~ 1060 hPa |
| Degree of dust&water resistance | IP22 | |
| Drop test | 1.0 m | |
| Power supply | ||
| Type of battery | Rechargeable lithium polymer battery | |
| Battery specification | 3.7Vdc, 90mAh | |
| Battery run time | 80 hours (full state) | |
| Charging input voltage range | 4.5 ~ 5.5v DC voltage | |
| Charging time | 2 hours (to 90% power) | |
| ECG | ||
| Lead type | single-use ECG electrode | |
| Lead | Lead I | |
| Input impendence | ≥10MΩ, 10Hz | |
| Linearity and dynamic range | 10mV (peak-to-valley) | |
| Common mode rejection | ≥60dB | |
| Frequency response | 0.67 ~ 40 Hz | |
| Gain error | Maximum error ±10% |
| Physical | |
| Size | 100×23×8.5 mm |
| Packing size | 172×113×59mm |
| weight | <20 g (with battery) |
| Wireless connectivity | Bluetooth connection support Built-in Bluetooth 4.0 BLE |
| EXPECTED SERVICE LIFE | 5 year |
FCC Warning
FCC ID:2ADXK-3613
Any changes or modifications not expressly approved by the party responsible for compliance could void the user’s authority to operate the equipment.
This device complies with part 15 of the FCC Rules. Operation is subject to the following two conditions:
- This device may not cause harmful interference, and
- this device must accept any interference received, including interference that may cause undesired operation.
Note: This equipment has been tested and found to comply with the limits for a Class B digital device, pursuant to part 15 of the FCC Rules. These limits are designed to provide reasonable protection against harmful interference in a residential installation. This equipment generates uses and can radiate radio frequency energy and, if not installed and used in accordance with the instructions, may cause harmful interference to radio communications. However, there is no guarantee that interference will not occur in a particular installation. If this equipment does cause harmful interference to radio or television reception, which can be determined by turning the equipment off and on, the user is encouraged to try to correct the interference by one or more of the following measures:
- Reorient or relocate the receiving antenna.
- Increase the separation between the equipment and receiver.
- Connect the equipment into an outlet on a circuit different from that to which the receiver is connected.
- Consult the dealer or an experienced radio/TV technician for help.
The device has been evaluated to meet general RF exposure requirement. The device can be used in portable exposure condition without restriction.
Electromagnetic compatibility
The device meets the requirements of IEC 60601-1-2.
Warnings and Cautions
- This device should not be used in the vicinity or on the top of other electronic equipment such as cell phone, transceiver or radio control products. If you have to do so, the device should be observed to verify normal operation.
- The use of accessories and power cord other than those specified, with the exception of cables sold by the manufacturer of the equipment or system as replacement parts for internal components, may result in increased emissions or decreased immunity of the equipment or system.
| Guidance and manufacturer’s declaration – electromagnetic emissions | ||
| The model Dynamic ECG recorder is intended for use in the electromagnetic environment specified below. The customer or the user of the model Dynamic ECG recorder should assure that it is used in such an environment. | ||
| Emissions test | Compliance | Electromagnetic environment – guidance |
| RF emissions CISPR 11 | Group 1 | The model Dynamic ECG recorder uses RF energy only for its internal function. Therefore, its RF emissions are very low and are not likely to cause any interference in nearby electronic equipment. |
| RF emissions CISPR 11 | Class B | The model Dynamic ECG recorder is suitable for use in all establishments, including domestic establishments and those directly connected to the public low-voltage power supply network that supplies buildings used for domestic purposes. |
| Harmonic emissions IEC 61000-3-2 | n.a. | |
| Voltage fluctuations/ flicker emissions IEC 61000-3-3 | ||
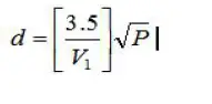
Recommended separation distances between portable and mobile RF communications equipment and the A&D unit
| Recommended separation distances between portable and mobile RF communications equipment and the A&D unit | |||
| The model Dynamic ECG recorder is intended for use in an electromagnetic environment in which radiated RF disturbances are controlled. The customer or the user of The model Dynamic ECG recorder can help prevent electromagnetic interference by maintaining a minimum distance between portable and mobile RF communications equipment (transmitters) and The model Dynamic ECG recorder as recommended below, according to the maximum output power of the communications equipment. | |||
| Rated maximum output power of transmitter (W) | Separation distance according to frequency of transmitter (m) | ||
| 150kHz to 80MHz
| 80MHz to 800MHz
| 800MHz to 2.7GHz
| |
| 0.01 | 0.12 | 0.04 | 0.07 |
| 0.1 | 0.37 | 0.12 | 0.23 |
| 1 | 1.17 | 0.35 | 0.70 |
| 10 | 3.70 | 1.11 | 2.22 |
| 100 | 11.70 | 3.50 | 7.00 |
| For transmitters rated at a maximum output power not listed above, the recommended separation distance d in metres (m) can be estimated using the equation applicable to the frequency of the transmitter, where p is the maximum output power rating of the transmitter in watts (W) according to the transmitter manufacturer. NOTE 1 At 80 MHz and 800 MHz, the separation distance for the higher frequency range applies. NOTE 2 These guidelines may not apply in all situations. Electromagnetic propagation is affected by absorption and reflection from structures, objects and people. | |||
Recommended separation distances between RF wireless communications equipment
| Recommended separation distances between RF wireless communications equipment | ||||||
| The device is intended for use in an electromagnetic environment in which radiated RF disturbances are controlled. The customer or the user of the device can help prevent electromagnetic interference by maintaining a minimum distance between RF wireless communications equipment and the device as recommended below, according to the maximum output power of the communications equipment. | ||||||
| Freque ncy MHz | Maxim um Power W |
Distan ce | IEC 60601 Test Level | Compl iance Level | Electromagnetic Environment – Guidance | |
| 385 | 1.8 | 0.3 | 27 | 27 | RF wireless communications equipment | |
| should be used no closer to | ||||||
| 450 | 2 | 0.3 | 28 | 28 | any part of the device, | |
| including cables, than the | ||||||
| 710 | recommended separation distance calculated from the | |||||
| 745 | 0.2 | 0.3 | 9 | 9 | equation applicable to the frequency of the transmitter. | |
| Recommended separation | ||||||
| 780 | ||||||
| distance | ||||||
| 810 | ||||||
| 870 | 2 | 0.3 | 28 | 28 | Where P is the maximum | |
| output power rating of the | ||||||
| 930 | ||||||
| ransmitter in watts (W) | ||||||
| according to the transmitter | ||||||
| 1720 | manufacturer and d is the![]() | |||||
| distance in meters (m). | ||||||
| 1845 | 2 | 0.3 | 28 | 28 | Field strengths from fixed RF transmitter, as | |
| determined by an | ||||||
| 1970 | electromagnetic site survey, | |||||
| 2450 | 2 | 0.3 | 28 | 28 | should be less than the compliance level in each | |
| frequency range. | ||||||
| 5240 | ||||||
| Interference may occur in | ||||||
| the vicinity of equipment | ||||||
| 5500 | ||||||
| 0.2 | 0.3 | 9 | 9 | marked with the following | ||
symbol:![]() | ||||||
| 5785 | ||||||
| Note 1: These guidelines may not apply in all situations. Electromagnetic propagation is affected by absorption and reflection from structures, objects and people. | ||||||
Guidance and manufacturer’s declaration – electromagnetic immunity
| Guidance and manufacturer’s declaration – electromagnetic immunity | |||
| The model Dynamic ECG recorder is intended for use in the electromagnetic environment specified below. The customer or the user of The model Dynamic ECG recorder should assure that it is used in such an environment. | |||
| Immunity test | IEC 60601 test level | Compli ance level | Electromagnetic environment – guidance |
| Portable and mobile RF communications | |||
| equipment should be used no closer to | |||
| any part of The model Dynamic ECG | |||
| recorder, including cables, than the | |||
| Conducted RF IEC61000-4-6
Radiated RF IEC61000-4-3 | 3Vrms 150kHz to 80MHz 10V/m 80MHz to 2.7GHz | N/A
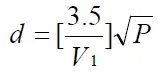
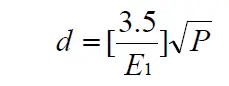
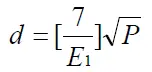
10V/m | recommended separation distance calculated from the equation applicable to the frequency of the transmitter. Recommended separation distance
|
80MHz to 800MHz | |||
800MHz to 2.7GHz | |||
| where P is the maximum output power rating of the transmitter in watts (W) according to the transmitter manufacturer and d is the recommended separation distance in metres(m). Field strengths from fixed RF transmitters, as determined by an electromagnetic site survey, a should be less than the compliance level in each frequency range b Interference may occur in the vicinity of equipment marked with the following symbol:
| |||
| NOTE 1 At 80 MHz and 800 MHz, the higher frequency range applies. NOTE 2 These guidelines may not apply in all situations. Electromagnetic propagation is affected by absorption and reflection from structures, objects and people. | |||
| a The ISM (industrial, scientific and medical) bands between 0,15 MHz and 80 MHz are 6,765 MHz to 6,795 MHz; 13,553 MHz to 13,567 MHz; 26,957 MHz to 27,283 MHz; and 40,66 MHz to 40,70 MHz. The amateur radio bands between 0,15 MHz and 80 MHz are 1,8 MHz to 2,0 MHz, 3,5 MHz to 4,0 MHz, 5,3 MHz to 5,4 MHz, 7 MHz to 7,3 MHz, 10,1 MHz to 10,15 MHz, 14 MHz to 14,2 MHz, 18,07 MHz to 18,17 MHz, 21,0 MHz to 21,4 MHz, 24,89 MHz to 24,99 MHz, 28,0 MHz to 29,7 MHz and 50,0 MHz to 54,0 MHz. b The compliance levels in the ISM frequency bands between 150 kHz and 80 MHz and in the frequency range 80 MHz to 2,7 GHz are intended to decrease the likelihood that mobile/portable communications equipment could cause interference if it is inadvertently brought into patient areas. For this reason, an additional factor of 10/3 has been incorporated into the formulae used in calculating the recommended separation distance for transmitters in these frequency ranges. c Field strengths from fixed transmitters, such as base stations for radio (cellular/cordless) telephones and land mobile radios, amateur radio, AM and FM radio broadcast and TV broadcast cannot be predicted theoretically with accuracy. To assess the electromagnetic environment due to fixed RF transmitters, an electromagnetic site survey should be considered. If the measured field strength in the location in whichThe model Dynamic ECG recorder is used exceeds the applicable RF compliance level above, | |||
The model Dynamic ECG recordershould be observed to verify normal operation. If abnormal performance is observed, additional measures may be necessary, such as re-orienting or relocating The model Dynamic ECG recorderd Over the frequency range 150 kHz to 80 MHz, field strengths should be less than 3 V/m.
Guidance and manufacturer’s declaration – electromagnetic immunity
| Guidance and manufacturer’s declaration – electromagnetic immunity | |||
| The model Dynamic ECG recorder is intended for use in the electromagnetic environment specified below. The customer or the user of The model Dynamic ECG recorder should assure that it is used in such an environment. | |||
| Immunity test | IEC 60601 test level | Compliance level | Electromagnetic environment – guidance |
| Electrostatic discharge (ESD) IEC 61000-4-2 | ± 8 kV contact ± 2 kV,± 4 kV,± 8 kV,± 15kV air | ± 8 kV contact ± 2 kV,± 4 kV, ± 8 kV,± 15kV air | Floors should be wood, concrete or ceramic tile. If floors are covered with synthetic material, the relative humidity should be at least 30%. |
| Electrical fast transient/ burst IEC 61000-4-4 | ± 2 kV for power supply lines ± 1 kV for input/ output lines | n.a. | n.a. |
| Surge IEC61000-4-5 | ± 1 kV line to line ±2 kV line to earth | n.a. | n.a. |
|
Voltage dips, short interruptions and voltage variations on power supply input lines IEC 61000-4-11 | 0% UT 0,5cycle At 0°,45°,90°,135°,18 0°,225°,270°and 315°,
0% UT 1cycle and 70% UT 25/30 cycles Single phase:at 0° |
n.a. |
n.a. |
| Power frequency (50/60 Hz) magnetic field IEC 61000-4-8 |
30A/m, 50/60Hz |
30A/m,50/60H z | Power frequency magnetic fields should be at levels characteristic of a typical location in a typical commercial or hospital environment. |
| NOTE : UT is the AC mains voltage prior to application of the test level. | |||
ER2 Dynamic ECG recorder
Shenzhen Viatom Technology Co., Ltd
4E, Building3, Tingwei Industrial Park,NO.6 Liufang Road,Block 67 Xin’an Street,Baoan District Shenzhen 518101 Guangdong China www.viatomtech.com
MedNet GmbH
Borkstrasse 10 · 48163 Muenster · Germany TEL: +49 251 32266-0 FAX: +49 251 32266-22
PN:255-01918-00 Version: A
Contents of this manual are subject to changes without prior notice.
©Copyright 2018 Shenzhen Viatom Technology Co., Ltd. All rights reserved.
Model: ER1
Revision date: April 2020


Precautions:
Precautions:






80MHz to 800MHz
800MHz to 2.7GHz


















