NXP RD772BJBTPL8EVB Battery Junction Box

Document Information
| Information | Content |
| Keywords | battery junction box, high voltage, 800 V, measurement, isolation, current, contactor, shunt, accuracy, temperature |
| Abstract | This user manual targets the RD772BJBTPL8EVB board. It is a typical battery junction box (BJB) solution used in high-voltage battery management system (BMS). The RD772BJBTPL8EVB is part of the high-voltage BMS reference design offered by NXP. |
Revision history
| Rev | Date | Description |
| 1 | 20230502 | initial version |
Important notice
IMPORTANT NOTICE: For engineering development or evaluation purposes only
NXP provides the product under the following conditions:
This evaluation kit is for use of ENGINEERING DEVELOPMENT OR EVALUATION PURPOSES ONLY. It is provided as a sample IC pre-soldered to a printed-circuit board to make it easier to access inputs, outputs and supply terminals. This evaluation board may be used with any development system or other source of I/O signals by connecting it to the host MCU computer board via off-the-shelf cables. This evaluation board is not a Reference Design and is not intended to represent a final design recommendation for any particular application. Final device in an application heavily depends on proper printed-circuit board layout and heat sinking design as well as attention to supply filtering, transient suppression, and I/O signal quality.
The product provided may not be complete in terms of required design, marketing, and or manufacturing related protective considerations, including product safety measures typically found in the end device incorporating the product. Due to the open construction of the product, it is the responsibility of the user to take all appropriate precautions for electric discharge. In order to minimize risks associated with the customers’ applications, adequate design and operating safeguards must be provided by the customer to minimize inherent or procedural hazards. For any safety concerns, contact NXP sales and technical support services.
WARNING: Lethal voltage and fire ignition hazard
The non-insulated high voltages that are present when operating this product, constitute a risk of electric shock, personal injury, death and/or ignition of fire. This product is intended for evaluation purposes only. It shall be operated in a designated test area by personnel qualified according to local requirements and labor laws to work with non-insulated mains voltages and high-voltage circuits. This product shall never be operated unattended.
Introduction

The RD772BJBTPL8EVB is a BJB reference design around two NXP MC33772C. The board is ideal to quickly prototyping the hardware and the software of a high-voltage BMS. This document describes the RD772BJBTPL8EVB features.
Getting to know the hardware
Board overview
- The RD772BJBTPL8EVB supports battery current measurement, contactor and fuse monitoring, isolation monitoring, and temperature measurement.
- The battery management unit (BMU) communicates and controls the two MC33772CTC1AE. These ICs provide the necessary features to fulfill the various measurements.

- Figure 2 presents the block diagram of the board and its interaction with the rest of the system.
Board features
The RD772BJBTPL8EVB offers the following features:
- Five positive high-voltage measurement inputs (up to +1000 V)
- Two bipolar high-voltage measurement inputs (from −1000 V to +1000 V)
- Isolation monitoring between high-voltage and low-voltage domains
- Redundant current measurement with a 100 μΩ shunt resistor (from −1500 A to +1500 A)
- Shunt resistor temperature estimation
- Pre-charge resistor temperature measurement with an external sensor
- Two EEPROMs for calibration data storage
- Galvanically isolated electrical transport protocol link (ETPL) for communication
- Printed-circuit board designed according to IEC 60664 (pollution degree 2, material group IIIa)
Kit featured components

- The Figure 3 lists the connectors and the LEDs available on the RD772BJBTPL8EVB.
Connectors
Table 1 lists the high-voltage connectors used for high-voltage measurement or isolation monitoring. Section 5 describes the associated cables.
Table 1. High-voltage connectors
| Connector name | Description |
| J11 | chassis connection for isolation monitoring |
| J7 | DCLINK_FUSE input for voltage measurement |
| J3 | primary DCLINK_POS input for voltage measurement |
| J4 | secondary DCLINK_POS input for voltage measurement |
| J10 | CHARGER_FUSE input for voltage measurement |
| J8 | CHARGER_POS input for voltage measurement |
| J13 | CHARGER_NEG input for voltage measurement |
| J2 | DCLINK_NEG input for voltage measurement |
- Table 2 to Table 5 describe the remaining connectors and their pinout.
Table 2. Power supply connector
| Connector name | Pin | Description |
| J12 | 1 | power supply positive input (T30) |
| 2 | do not connect | |
| 3 | do not connect | |
| 4 | power supply negative input (VSS) |
Table 3. Communication connector
| Connector name | Pin | Description |
| J9 | 1 | positive ETPL input |
| 2 | negative ETPL input |
Table 4. Current emulation connector
| Connector name | Pin | Description |
| J5 | 1 | current measurement positive input |
| 2 | current measurement negative input |
Table 5. Pre-charge resistor temperature sensor connector
| Connector name | Pin | Description |
| J1 | 1 | temperature sensor positive input |
| 2 | temperature sensor negative input |
LEDs
Figure 3 highlights two LEDs:
- D1 (powered by the VCOM of the primary MC33772C)
- D4 (powered by the VCOM of the secondary MC33772C)
These components give information on the MC33772C operation mode. If an LED is on, the associated MC33772C is in active mode. If an LED is off, the integrated circuit is either unpowered, in reset, or in sleep.
Schematic, board layout, and bill of materials
- The schematic, board layout, and bill of materials for the RD772BJBTPL8EVB are available at http://www.nxp.com/rd772bjbtpl8evb.
Features description
Power supply
The RD772BJBTPL8EVB usually receives power from the BMU on the connector J12. The power supply must follow the characteristics described in Table 6.
Table 6. Power supply characteristics
| Symbol | Parameter | Conditions | Min | Typ | Max | Unit |
| VT30 | supply voltage | 11 | 12 | 13 | V | |
| IT30 | supply current | RD772BJBTPL8EVB in normal mode; TPL communication active; all high-voltage switches enabled | – | 160 | 200 | mA |
| RD772BJBTPL8EVB not active | – | 20 | – | mA |
The BMU is in the low-voltage domain, whereas the BJB is in the high-voltage domain. Therefore, the RD772BJBTPL8EVB embeds an isolated DC-DC converter to power the MC33772C and the measurement circuitry. This converter is by default an industrial component. The designer must consider using an automotive DC-DC when the board is in an automotive environment.
Current measurement
- The RD772BJBTPL8EVB measures redundantly the battery current with a single shunt resistor.
Current measurement characteristics
- Table 7 describes the characteristics of the current measurement feature.
Table 7. Current measurement characteristics
| Symbol | Parameter | Conditions | Min | Typ | Max | Unit |
| Rshunt | shunt resistor value | – | 100 | – | µΩ | |
| IBAT | battery current under measurement | measurement with shunt resistor | −1500 | – | +1500 | A |
| VISENSE | voltage on ISENSE inputs measurement | measurement with shunt resistor or with voltage across J5 | −150 | – | +150 | mV |
| fISENSE-DIFF | current measurement filter cut‑off frequency | differential voltage; −3 dB attenuation | – | 600 | – | Hz |
| fISENSE-COMM | current measurement filter cut‑off frequency | common-mode voltage; −3 dB attenuation | – | 26.7 | – | kHz |
Current measurement circuit description
The RD772BJBTPL8EVB provides a shunt resistor to measure the battery current (from the battery to the inverter or from the battery to the charger). Typically, the shunt resistor is on the high-voltage battery negative terminal. It serves as a ground for the high-voltage section of the RD772BJBTPL8EVB (MC33772C, measurement circuitry…).
Each MC33772C measures the voltage drop across the shunt resistor to bring redundancy. As the current measurement is bipolar, the user can link the ISENSE+ and ISENSE− measurements pins to any side of the shunt resistor.
- To ease the evaluation of the RD772BJBTPL8EVB, a connector (J5) is available in parallel of the shunt resistor.

- Then, a voltage source can replace a high-current source to validate the current measurement feature. Figure 4 describes the current measurement circuitry.
The resistors placement defines whether the two MC33772C measure the voltage drop across the shunt resistor or across the connector, as explained in Table 8.
Table 8. Resistor placement for current measurement
| Resistor | Placement when using shunt resistor | Placement when using a voltage source on J5 |
| R120 | do not place | 0 Ω |
| R98 | 0 Ω | do not place |
| R96 | 0 Ω | do not place |
| R97 | 0 Ω | do not place |
Current measurement layout guideline
- The layout of the current measurement paths is compatible with the use of an external voltage source. Due to this option, both paths are dependent.

- In a real application, the current measurement paths must be independent. The connection points to the sense element of the shunt resistor have to be redundant as shown in Figure 5.
Current measurement conversion
After a current measurement, both MC33772C return a 19-bit signed value available in the registers MEAS_ISENSE1 and MEAS_ISENSE2. The microcontroller in the BMU computes the result following below equation:

Where
- IMEAS is the result of the current measurement in A
- MEAS_ISENSE is the result of the analog-to-digital converter (ADC) of the MC33772C (19-bit two’s complement signed value, status bit removed)
- V2RES is the resolution of the current measurement ADC in V/LSB (see MC33772C data sheet)
- RSHUNT is the value of the shunt resistor in Ω
- If the current measurement uses the shunt, RSHUNT = 100 μΩ
- If the current measurement uses the connector J5, RSHUNT = 1 and the result unit is V
High-voltage measurement
- The RD772BJBTPL8EVB measures several high voltages in the system. The BMU can compute the result and proceed, for instance, to contactor monitoring.
High-voltage measurement characteristics
- Table 9 describes the characteristics of the high-voltage measurement feature.
Table 9. High-voltage measurement characteristics
| Symbol | Parameter | Conditions | Min | Typ | Max | Unit |
| VHV-MAX | maximum off-state voltage | high-voltage switch disabled | −1500 | – | +1500 | V |
| VHV+ | positive voltage measurement range | high-voltage switch enabled | 0 | – | 1000 | V |
| VHV+/− | bipolar voltage measurement range | high-voltage switch enabled | −1000 | – | +1000 | V |
| ts | voltage measurement settling time | – | 5 | – | ms | |
| fHV+ | positive voltage measurement cut-off frequency | −3 dB attenuation | – | 600 | – | Hz |
| fHV− | bipolar voltage measurement cut-off frequency | −3 dB attenuation | – | 500 | – | Hz |
High-voltage measurement circuit description
- The RD772BJBTPL8EVB measures up to seven high voltages in the system.
- The five positive inputs typically monitor the voltage across the high side contactors and fuses (ex: contactor between battery positive terminal and inverter positive terminal). These inputs accept high-voltages meeting VHV+ (see Section 4.3.1). Two inputs can monitor the same point in order to provide redundancy and increase the overall safety integrity level.
- The two bipolar inputs typically monitor the voltage across the low side contactors (ex: contactor between battery negative terminal and charger negative terminal). These inputs accept high-voltages meeting VHV+/− (see Section 4.3.1).

- Figure 6 describes the circuitry of positive and bipolar high-voltage measurement paths.
- In order to reduce the leakage current in the resistors when there is no measurement, a high-voltage switch can disconnect the bridge. A MC33772C digital output and a level-shifter control this switch.
- A resistor bridge divides the high voltage down to the MC33772C input voltage range. The resistors forming RH must withstand the high voltage.
- For bipolar voltage measurement, a voltage reference shifts the output of the resistor bridge to half of the MC33772C input voltage range.

- An analog antialiasing filter improves the noise performance. Due to the filter and the switch circuitry response time, the BMU must wait ts before starting a voltage measurement (see Section 4.3.1).
- The MC33772C measures the divided voltage. To improve the accuracy, the user should configure the analog input as a single-ended input.
- Table 10 describes the allocation of the MC33772C inputs and outputs for high-voltage measurement.
Table 10. High-voltage measurement channel allocation
| High-voltage switch control signal | High-voltage measurement | MC33772C measurement input |
| Primary GPIO4 | primary DCLINK_POS | primary CT1 |
| DCLINK_FUSE | primary GPIO2 | |
| DCLINK_NEG | primary GPIO0 | |
| Secondary GPIO4 | CHARGER_POS | secondary GPIO1 |
| CHARGER_NEG | primary GPIO1 | |
| Secondary GPIO5 | secondary DCLINK_POS | secondary CT1 |
| CHARGER_FUSE | secondary GPIO2 |
High-voltage measurement conversion
After a voltage measurement, the MC33772C returns a 15-bit signed value available in the register MEAS_ANx or MEAS_CT1 depending on the channel (see Table 10). The microcontroller in the BMU computes the result following below equations:

Where
- VHV is the result of the high-voltage measurement in V
- RL is the low-side resistor of the voltage divider in Ω (see Table 11)
- RH is the high-side resistor of the voltage divider in Ω (see Table 11)
- VREF is the voltage to which the voltage divider is referenced in V (see Table 11)
- VMEAS is the MC33772C input voltage, measured by the ADC, in V
- MEAS_XXX is the result of the ADC conversion (15-bit unsigned value, status bit removed)
- VCT_ANx_RES is the resolution of the ADC in V/LSB (see MC33772C data sheet)
Table 11 describes the conversion parameters depending on the type of measurement.
Table 11. Voltage conversion parameters
| Parameter | Positive voltage measurement channel | Bipolar measurement channel |
| RL | 10 kΩ | 5.1 kΩ |
| RH | 2.01 MΩ | 2.01 MΩ |
| VREF | 0 V | 2.5 V |
Adapting circuitry for low-voltage measurements
- Using a low-voltage source can ease the RD772BJBTPL8EVB evaluation. However, as the board typically measures high voltages, the user should adapt the circuitry.
- The simplest solution is to change the low-side resistor of the voltage divider (RL in Figure 6). By choosing a bigger resistor, the divider ratio increases, allowing to measure smaller voltages.
- The time constant of the antialiasing filter depends on the divider impedance. In order to keep the same cut-off frequency, the user should adapt the capacitor of the filter (CAAF in Figure 6) along with RL.
- Table 12 presents typical values for RL and CAAF to measure low voltage. Following these values ensures meeting the MC33772C measurement range.
Table 12. Component values to measure low voltage
| Low voltage to measure | Positive measurement channel | Bipolar measurement channel | ||
| RL | CAAF | RL | CAAF | |
| +12 V | 1.3 MΩ | 470 pF | 620 kΩ | 1 nF |
| +24 V | 470 kΩ | 1 nF | 240 kΩ | 2.2 nF |
| +48 V | 220 kΩ | 2.2 nF | 100 kΩ | 4.4 nF |
The user must clearly identify the modified RD772BJBTPL8EVB. Applying high voltage to a modified board can lead to injuries and permanent damage to the board.
Isolation monitoring
The RD772BJBTPL8EVB is in between the low-voltage section (car chassis, +12 V battery) and the high‑voltage section (high-voltage battery, inverter) of the car. The board embeds the circuitry to monitor the isolation between the two sections. It helps detecting any isolation failure that could put the car user in danger.
Isolation monitoring characteristics
Table 13 describes the characteristics of the isolation monitoring feature.
Table 13. Isolation measurement characteristics
| Symbol | Parameter | Conditions | Min | Typ | Max | Unit |
| VChassis-MAX | maximum chassis off-state voltage | high-voltage switch disabled | −3000 | – | +3000 | V |
| ts | voltage measurement settling time | – | 10 | – | ms |
Isolation monitoring circuit description

- Figure 8 describes the isolation monitoring circuitry.
This feature aims to evaluate the value of the equivalent resistance between:
- • The battery positive terminal and the chassis (RISO+)
• The battery negative terminal and the chassis (RISO−)
A high-voltage switch (SW3) connects the chassis to the circuit prior doing the measurement. As the measurement resistors are high enough, closing SW3 does not lead to an isolation failure and does not put the car user in danger. Another high-voltage switch (SW1) disconnects the resistor bridge to reduce the leakage current on the high‑voltage battery when there is no measurement. The circuit has to measure two resistors (RISO+ and RISO−). Two voltage measurements are necessary to solve this two-unknown equation. The first measurement involves R1, R2, and RL. Enabling R3 (with SW2) allows getting a second voltage measurement. Section 4.4.3 describes the measurement sequence.
The output voltage (VSENSE) depends on the measurement circuitry (R1, R2, RL, and R3 if enabled), the battery voltage, and the isolation resistors. The MC33772C measures this voltage. To improve the accuracy, the user should configure the analog input as a single-ended input.
Table 14 describes the allocation of the MC33772C inputs and outputs for isolation monitoring.
Table 14. Isolation monitoring channel allocation
| Function | Channel |
| SW1 control | secondary GPIO6 |
| SW2 control | primary GPIO6 |
| SW3 control | primary GPIO5 |
| VSENSE measurement | secondary GPIO0 |
- Due to the switch circuitry response time, the BMU must wait ts before starting each voltage measurement (see Section 4.4.1).
- After running the sequence, the BMU computes the voltage measurements to determine the isolation resistors as explained in Section 4.4.4.
Isolation monitoring sequence
Table 15 describes the steps of the isolation monitoring sequence.
Table 15. Isolation monitoring sequence
| Step | Description |
| 1 | measure the battery voltage (ex: DCLINK_FUSE), as explained in Section 4.3 |
| 2 | convert the high-voltage measurement (as explained in Section 4.3.3); name the result VBAT |
| 3 | close SW3 |
| 4 | close SW1 |
| 5 | wait ts (see Section 4.4.1) |
| 6 | measure VSENSE |
| 7 | convert the voltage measurement (as explained in Section 4.4.4); name the result V1 |
| 8 | close SW2 |
| 9 | wait ts (see Section 4.4.1) |
| 10 | measure VSENSE |
| 11 | convert the voltage measurement (as explained in Section 4.4.4); name the result V2 |
| 12 | open SW1, SW2, and SW3 |
| 13 | to calculate the isolation resistors, compute the VBAT, V1, and V2 (as explained in Section 4.4.4) |
Isolation monitoring conversion
During the isolation monitoring sequence, the MC33772C proceeds to voltage measurements. The IC returns a 15-bit signed value available in the register MEAS_ANx. The microcontroller in the BMU computes the result in V following below equation:
![]()
Where
- VMEAS is the MC33772C input voltage, measured by the ADC, in V
- MEAS_XXX is the result of the ADC conversion (15-bit unsigned value, status bit removed)
- VCT_ANx_RES is the resolution of the ADC in V/LSB (see MC33772C data sheet)
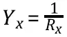
Once the sequence is over, the BMU computes the measurements to calculate the isolation resistors. To ease the calculation, the formula uses the conductance instead of the resistance. Below equation describes the relationship between resistance and conductance.

Where
- YX is the conductance in S
- RX is the resistance in Ω
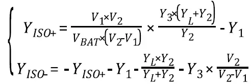
The formula expressing the isolation resistances in function of the measurements is as follows:
Where:
- YISO+ is the conductance of the positive isolation resistance in S
- YISO- is the conductance of the negative isolation resistance in S
- VBAT is the converted high-voltage measurement of the battery in V
- V1 is the first converted voltage measurement of the sequence in V
- V2 is the second converted voltage measurement of the sequence in V
- YL, Y1, Y2, and Y3 are the conductances of the measurement resistors in S
Table 16 describes the conversion parameters of the RD772BJBTPL8EVB.
Table 16. Isolation measurement conversion parameters
| Parameter | Value |
| RL | 24 kΩ |
| R1 | 4.03 MΩ |
| R2 | 4.03 MΩ |
| R3 | 685 kΩ |
Temperature measurement
- The RD772BJBTPL8EVB measures up to two temperatures with negative temperature coefficient (NTC) resistors.
- The board embeds one sensor close to the shunt resistor. It allows estimating the shunt resistor temperature in order to proceed to temperature compensation of the current measurement.
- The board offers the possibility to use an external NTC. This sensor could measure, for instance, the pre-charge resistor temperature.
Temperature measurement characteristics
- Table 17 describes the characteristics of the temperature measurement feature.
Table 17. Temperature measurement characteristics
| Symbol | Parameter | Conditions | Min | Typ | Max | Unit |
| RNTC-board | onboard NTC resistor | value at 25 °C (B57232V5103F360, TDK) | – | 10 | – | kΩ |
| RNTC-ext | external NTC resistor | value at 25 °C | – | 10 | – | kΩ |
Temperature measurement circuit description

- Figure 9 describes the temperature measurement circuitry.
The regulated output voltage of the MC33772C (VCOM) powers the voltage divider with the NTC resistor. To improve the accuracy of the measurement, the user should configure the analog input as ratiometric input.
Table 18 describes the allocation of the MC33772C inputs for temperature measurement.
Table 18. Temperature measurement channel allocation
| Function | Channel |
| Temperature measurement with external NTC | primary GPIO3 |
| Temperature measurement with onboard NTC | secondary GPIO3 |
Temperature measurement conversion
After a temperature measurement, the MC33772C returns a 15-bit signed value available in the register MEAS_ANx. The microcontroller in the BMU computes the NTC resistor value following below equation:

Where:
- RNTC is the result of the NTC resistor measurement in Ω
- R1 is the pullup resistor, R1 = 6.8 kΩ in the RD772BJBTPL8EVB
- MEAS_ANx is the result of the ADC measurement (15-bit unsigned value, status bit removed)
After computing the NTC resistor value, the BMU can calculate the temperature with below equation:

Where
- T is the result of the temperature measurement in K
- RNTC is the NTC resistor measurement in Ω
- β in K, T0 in K, and R0 in Ω are the NTC parameters available in the NTC data sheet
Communication
The RD772BJBTPL8EVB communicates with the BMU with ETPL. A transformer galvanically isolates both boards. The ETPL lines between the two MC33772C do not require isolation as the two IC share the isolated ground. The MC33772C data sheet describes the required circuitry for the communication.
Kit accessories
Table 19. Available kit accessories
Table 19. Available kit accessories
| Part number | Description |
| 600-77574 | ETPL cable, 2 positions, 2000 mm |
| 600-77576 | power supply cable, 4 positions, 500 mm |
| 600-77763 | high-voltage measurement cable, 1 kV isolation, 1 position, 300 mm |
| 600-77776 | external NTC resistor cable, 1 kV isolation, 2 positions, 300 mm |
| 600-77765 | chassis cable, 1 position, 1 kV isolation, 300 mm |
References
- Data sheet MC33772C http://www.nxp.com/MC33772C
Legal information
Definitions
Draft: A draft status on a document indicates that the content is still under internal review and subject to formal approval, which may result in modifications or additions. NXP Semiconductors does not give any representations or warranties as to the accuracy or completeness of information included in a draft version of a document and shall have no liability for the consequences of use of such information.
Disclaimers
Limited warranty and liability: Information in this document is believed to be accurate and reliable. However, NXP Semiconductors does not give any representations or warranties, expressed or implied, as to the accuracy or completeness of such information and shall have no liability for the consequences of use of such information. NXP Semiconductors takes no responsibility for the content in this document if provided by an information source outside of NXP Semiconductors.
In no event shall NXP Semiconductors be liable for any indirect, incidental, punitive, special or consequential damages (including – without limitation – lost profits, lost savings, business interruption, costs related to the removal or replacement of any products or rework charges) whether or not such damages are based on tort (including negligence), warranty, breach of contract or any other legal theory. Notwithstanding any damages that customer might incur for any reason whatsoever, NXP Semiconductors’ aggregate and cumulative liability towards customer for the products described herein shall be limited in accordance with the Terms and conditions of commercial sale of NXP Semiconductors.
Right to make changes: NXP Semiconductors reserves the right to make changes to information published in this document, including without limitation specifications and product descriptions, at any time and without notice. This document supersedes and replaces all information supplied prior to the publication hereof.
Applications: Applications that are described herein for any of these products are for illustrative purposes only. NXP Semiconductors makes no representation or warranty that such applications will be suitable for the specified use without further testing or modification. Customers are responsible for the design and operation of their applications and products using NXP Semiconductors products, and NXP Semiconductors accepts no liability for any assistance with applications or customer product design. It is customer’s sole responsibility to determine whether the NXP Semiconductors product is suitable and fit for the customer’s applications and products planned, as well as for the planned application and use of customer’s third party customer(s). Customers should provide appropriate design and operating safeguards to minimize the risks associated with their applications and products.
NXP Semiconductors does not accept any liability related to any default, damage, costs or problem which is based on any weakness or default in the customer’s applications or products, or the application or use by customer’s third party customer(s). Customer is responsible for doing all necessary testing for the customer’s applications and products using NXP Semiconductors products in order to avoid a default of the applications and the products or of the application or use by customer’s third party customer(s). NXP does not accept any liability in this respect.
Terms and conditions of commercial sale: NXP Semiconductors products are sold subject to the general terms and conditions of commercial sale, as published at http://www.nxp.com/profile/terms, unless otherwise agreed in a valid written individual agreement. In case an individual agreement is concluded only the terms and conditions of the respective agreement shall apply. NXP Semiconductors hereby expressly objects to applying the customer’s general terms and conditions with regard to the purchase of NXP Semiconductors products by customer.
Suitability for use in automotive applications: This NXP product has been qualified for use in automotive applications. If this product is used by customer in the development of, or for incorporation into, products or services (a) used in safety critical applications or (b) in which failure could lead to death, personal injury, or severe physical or environmental damage (such products and services hereinafter referred to as “Critical Applications”), then customer makes the ultimate design decisions regarding its products and is solely responsible for compliance with all legal, regulatory, safety, and security related requirements concerning its products, regardless of any information or support that may be provided by NXP.
As such, customer assumes all risk related to use of any products in Critical Applications and NXP and its suppliers shall not be liable for any such use by customer. Accordingly, customer will indemnify and hold NXP harmless from any claims, liabilities, damages and associated costs and expenses (including attorneys’ fees) that NXP may incur related to customer’s incorporation of any product in a Critical Application.
Export control: This document as well as the item(s) described herein may be subject to export control regulations. Export might require a prior authorization from competent authorities.
Evaluation products: This product is provided on an “as is” and “with all faults” basis for evaluation purposes only. NXP Semiconductors, its affiliates and their suppliers expressly disclaim all warranties, whether express, implied or statutory, including but not limited to the implied warranties of noninfringement, merchantability and fitness for a particular purpose. The entire risk as to the quality, or arising out of the use or performance, of this product remains with the customer. In no event shall NXP Semiconductors, its affiliates or their suppliers be liable to customer for any special, indirect, consequential, punitive or incidental damages (including without limitation damages for loss of business, business interruption, loss of use, loss of data or information, and the like) arising out the use of or inability to use the product, whether or not based on tort (including negligence), strict liability, breach of contract, breach of warranty or any other theory, even if advised of the possibility of such damages.
Notwithstanding any damages that customer might incur for any reason whatsoever (including without limitation, all damages referenced above and all direct or general damages), the entire liability of NXP Semiconductors, its affiliates and their suppliers and customer’s exclusive remedy for all of the foregoing shall be limited to actual damages incurred by customer based on reasonable reliance up to the greater of the amount actually paid by customer for the product or five dollars (US$5.00). The foregoing limitations, exclusions and disclaimers shall apply to the maximum extent permitted by applicable law, even if any remedy fails of its essential purpose.
Safety of high-voltage evaluation products
The non-insulated high voltages that are present when operating this product, constitute a risk of electric shock, personal injury, death and/or ignition of fire. This product is intended for evaluation purposes only. It shall be operated in a designated test area by personnel that is qualified according to local requirements and labor laws to work with non-insulated mains voltages and high-voltage circuits.
The product does not comply with IEC 60950 based national or regional safety standards. NXP Semiconductors does not accept any liability for damages incurred due to inappropriate use of this product or related to non-insulated high voltages. Any use of this product is at customer’s own risk and liability. The customer shall fully indemnify and hold harmless NXP Semiconductors from any liability, damages and claims resulting from the use of the product.
Translations
A non-English (translated) version of a document, including the legal information in that document, is for reference only. The English version shall prevail in case of any discrepancy between the translated and English versions.
Security
Customer understands that all NXP products may be subject to unidentified vulnerabilities or may support established security standards or specifications with known limitations. Customer is responsible for the design and operation of its applications and products throughout their lifecycles to reduce the effect of these vulnerabilities on customer’s applications and products. Customer’s responsibility also extends to other open and/or proprietary technologies supported by NXP products for use in customer’s applications. NXP accepts no liability for any vulnerability. Customer should regularly check security updates from NXP and follow up appropriately.
Customer shall select products with security features that best meet rules, regulations, and standards of the intended application and make the ultimate design decisions regarding its products and is solely responsible for compliance with all legal, regulatory, and security related requirements concerning its products, regardless of any information or support that may be provided by NXP.
NXP has a Product Security Incident Response Team (PSIRT) (reachable at [email protected]) that manages the investigation, reporting, and solution release to security vulnerabilities of NXP products.
NXP B.V.: NXP B.V. is not an operating company and it does not distribute or sell products.
Trademarks
Notice: All referenced brands, product names, service names, and trademarks are the property of their respective owners. NXP — wordmark and logo are trademarks of NXP B.V.
Please be aware that important notices concerning this document and the product(s) described herein, have been included in section ‘Legal information’.
For more information, please visit: http://www.nxp.com
© 2023 NXP B.V.
All rights reserved.
Date of release: 2 May 2023
Document identifier: UM11847
All information provided in this document is subject to legal disclaimers.



















