NONIN 8000AA Adult Articulated Finger Clip Pulse Oximeter Sensor
Model 8000AA, 8000AA-WO and 8000AA-WO2 Adult Articulated Finger Clip
Pulse Oximeter Sensor
Indications for Use
The Nonin Model 8000AA Adult Articulated Finger Clip Sensor is designed for spot-checking or data collection of adult and adolescent patients
(weighing greater than 30 kilograms) where little sensor motion is expected. If excessive sensor motion is occurring, use the Model 8000J Adult Flex Sensor.
CAUTION: Federal law (USA) restricts this device to sale by or on the order of a licensed practitioner.
Contraindications:
This product is contraindicated for use in the presence of Magnetic Resonance Imaging (MRI) devices.
Warnings
- Use only with Nonin pulse oximeters. These pulse oximeters are manufactured to meet the accuracy specifications for Nonin sensors. Using other pulse oximeters may cause improper sensor performance.
- Inspect the sensor application site at least every 6 to 8 hours to ensure correct sensor alignment and skin integrity. Patient sensitivity to sensors may vary due to medical status or skin condition.
- Avoid excessive pressure to the sensor application site as this may cause damage to the skin beneath the sensor.
Cautions
- To prevent improper performance and/or patient injury, verify sensor and pulse oximeter compatibility before use.
- Do not use a damaged sensor. If the sensor is damaged in any way, discontinue use immediately and replace the sensor.
- Follow local governing ordinances and recycling instructions regarding disposal or recycling of the sensor and any components.
- A functional tester cannot be used to assess the accuracy of a pulse oximeter monitor or probe.
- Refer to the pulse oximeter operator’s manual for additional warnings and cautions.
- Factors that may degrade pulse oximeter performance include the following:
- excessive ambient light
- excessive motion
- electrosurgical interference
- arterial catheters, blood pressure cuffs, infusion lines, etc.
- moisture in the sensor
- improperly applied sensor
- carboxyhemoglobin
- methemoglobin
- residue (e.g., dried blood, dirt, grease, oil) in the light path
- artificial nails
- incorrect sensor type
- poor pulse quality
- venous pulsations
- anemia or low hemoglobin concentrations
- cardiovascular dyes
- sensor not at heart level
- dysfunctional hemoglobin
- fingernail polish
Attaching the Adult Articulated Finger Clip Sensor
- Insert a finger (preferably the index, middle, or ring finger) into the Adult Articulated Finger Clip Sensor (Figure 1) until the end of the finger reaches the finger stop. Keep the fingernail facing the sensor top (as shown in Figure 1). Ensure that long fingernails do not interfere with proper finger position.
- For the best results when using the sensor for data collection, secure the sensor cable independently from the sensor with medical tape, preferably around the base of the finger. Make sure that the tape securing the cable does not restrict the blood flow.
The thumb is not recommended for use with the Adult Articulated Finger Clip Sensor.
Note: Proper sensor placement is critical for good performance. If the sensor is not positioned properly, light may bypass the tissue and result in SpO2 inaccuracies.
Note: The 8000AA-WO2 sensor is compatible with the WristOx2,
Model 3150. It is also compatible with Nonin’s Model 3100 and 4100 oximeters when used with the 3150WI adapter.

Cleaning the Reusable Sensor
Cautions:
- Clean the sensor before applying it to a new patient.
- Unplug the sensor from the pulse oximeter before cleaning.
- Do not sterilize, autoclave, or immerse the sensors in liquid of any kind. Do not pour or spray any liquids into the sensor. Do not sterilize with EtO.
- Do not use caustic or abrasive cleaning agents on the sensors. Do not use cleaning agents containing ammonium chloride or isopropyl alcohol.
- To clean the sensor, wipe all patient contact surfaces with a soft cloth dampened with a mild detergent or a 10% bleach/90% water solution
(household bleach [containing less than 10% sodium hypochlorite]). - Allow the sensor to dry thoroughly before reusing.
Note: Do not open the sensor’s case more than 90°, or the case may be damaged. Figure 2 shows the appropriate opening of the case for cleaning.
Note: To minimize cable deterioration when cleaning the cable, gently wipe away from the plug end towards the sensor end.

Specifications
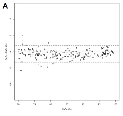
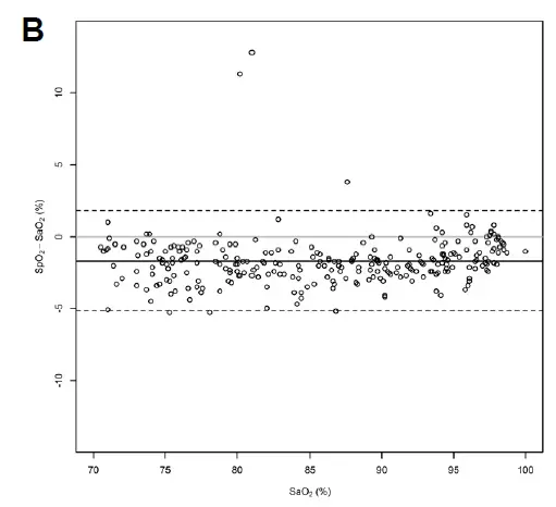
SpO2 Accuracy (Adults/Peds)1, 2:
| Range | Oxygen Saturation (Arms*) (figure A) | Motion Oxygen Saturation (Arms*) (figure B) |
| 70 – 100% | ±2 | ±3 |
| 70 – 80% | ±2 | ±3 |
| 80 – 90% | ±2 | ±3 |
| 90 – 100% | ±2 | ±2 |
SpO2 Low Perfusion Accuracy: 70% to 100% ±2 digits (Arms*)1 Pulse Rate Accuracy: 18 to 300 BPM ±3 digits (Arms*)1
Pulse Rate Low Perfusion Accuracy: 40 to 240 BPM ±3 digits (Arms*)1
- Operating: -20 °C to 50 °C (-4 °F to 122 °F)
- Storage/Transportation: -40 °C to 70 °C (-40 °F to 158 °F)
- Humidity: 3, 4
- Operating: 10% to 95% non-condensing
- Storage/Transportation: 10% to 95% non-condensing
- * ±1 Arms encompasses 68% of the population.
- Additional accuracy and performance information can be found in the sensor accuracy document on the operator’s manual CD.
- Accuracy specifications based on Nonin’s PureSAT® SpO2 technology and PureLight® sensor technology.
- For combined oximeter/sensor specifications, refer to the applicable oximetry system’s operator’s manual.
- Range as tested with Nonin’s PureSAT SpO2 technology.

Measurement Wavelengths and Output Power**
Red: 660 nanometers @ 3 mW nominal
Infrared: 910 nanometers @ 3 mW nominal
** This information is especially useful for clinicians
Compliance
This product complies with ISO 10993.
Not made from natural rubber latex.
Warranty
1 year from the date of delivery.
The device’s expected service life is 1 year.
Nonin reserves the right to make changes and improvements to this Instructions for
Use and the product it describes at anytime, without notice or obligation.
Nonin Medical, Inc.
13700 1st Avenue North
Plymouth, MN 55441-5443 USA
nonin.com
Fax: +1 (763) 553-7807
+31 (0)13 – 79 99 042 (Europe)
E-mail: [email protected]
[email protected]
NONIN 8000AA Adult Articulated Finger Clip Pulse Oximeter Sensor















