OPERATIONS MANUAL

2000AB Plus Home Coffee Roaster
GOURMET COFFEE ROASTER WITH PATENTED SMOKE SUPPRESSION TECHNOLOGY
INCLUDES:
Remember: You control the roaster.
Never leave the Behmor Roaster unattended when in use.
The Behmor Roaster is NOT a set and walk away device!!
Many questions can be answered by visiting our Knowledge Base at:
https://behmor.com/knowledge-base/
Behmor Operations Manual
Part 1: Introduction to the Behmor Roaster
Thank you for purchasing the Behmor Roaster.
This manual is comprised of all the information and advice we can impart for roasting with the Behmor 2000AB Plus. By taking the time to thoroughly read and follow the advice in this manual, you will experience fewer troubles and more enjoyment from your coffee roasting.
Thank you, Joe Behm – Behmor Inventor
About the Behmor:
The Behmor is the world’s first and only one-pound / 454 gram* capacity coffee roasters with built in smoke suppression technology, taking up to a 454* grams of green coffee to second crack without emitting visible smoke through the use of patent pending smoke suppression technology. It is the only small capacity roaster in the world manufactured with a variable speed motor to properly agitate beans, allowing for more efficient cooling and chaff removal.
*The 454 grams capacity is based upon an actual input voltage of 120v. The actual capacity and results may vary according to your power company’s supply. For Full City+ roasts, we recommend you reduce the quantity of the roast.
The Behmor Roaster is not intended to roast coffee to levels known as Vienna, French, or Italian.
The Behmor is designed to provide user options of adjustable roast times, roast profiles, and cooling times, all at your fingertips, on the easy-to-use control panel. The system will roast according to the Profile you have chosen, taking into account how much you are roasting and any additional time you’ve have added. The roast times can be adjusted by using the + / – buttons or using the “C” button- details pages 9, 10, 12, and 13. To provide further options, the system has been designed to allow the user to choose various roast profiles that can alter the nuances of each coffee
Cooling is an equally important aspect of insuring the finest end results when roasting. The Behmor 2000AB Plus is pre-programmed to immediately go into a cooling cycle once the roast cycle has been completed. It can also be controlled manually. Both cooling features utilize a uniquely designed multi-speed motor, and a fan that cools the beans while separating the chaff by pushing it into the chaff tray for easy disposal.
Important Safeguards
The Behmor 2000AB Plus is not a set and walk away device, always stay by the roaster when it is in use.
Never leave the roaster unattended when it is in use. User supervision is required to control the roast. Preset times and programs are merely estimates and a manual cooling button is provided so the user can cease the roast at any time. It is the user’s responsibility to act and use the Behmor in a safe manner as described in all sections of the manual including “Safeguards” and “Warranty.” Like all foods placed close to high heat, coffee beans can ignite.
When using ANY electrical products/devices, basic safety precautions should always be followed, and are the sole responsibility of the user/owner, including the following:
- Never leave the Behmor roaster unattended when in use. Like all food products coffee beans can ignite. The user must always ensure that the chaff collection tray and roaster roasting drum are properly in place when roasting.
- Do not use the Behmor roaster for anything other than its intended use.
- ADULT supervision is absolutely necessary. When the Behmor is being operated near children or in environments where children are present. The Behmor is NOT for use by children!
- Always operate the Behmor roaster in a properly ventilated environment with good clearance around the exhaust outlets. Make sure no objects or obstructions of any kind can impede, obstruct or cover the exhaust outlets. Place the Behmor 2000AB Plus at least 18” inches (46cm) from ALL walls or cabinets and have at least 18” inches (46cm) clearance above and around unit on all sides. This is to include exhaust cover and vent holes.
- Do not allow contact with any objects. A fire may occur if the Behmor 2000AB Plus is covered or is touching flammable material, including curtain, draperies, walls, etc., when in operation
- Use only on a stable, heat-resistant surface.
- Do not use outdoors. The roaster is not intended for outdoor use.
- NEVER operate the Behmor roaster with a damaged cord or plug.
- The Behmor 2000AB Plus comes equipped with a polarized plug (one prong is wider than the other) that will fit only one way in a polarized outlet. If the plug does not fit the outlet properly, turn the plug the other way; if it still does not fit, contact a qualified electrician for assistance.
- Do not immerse cord, plug or the Behmor roaster itself in water or other liquids.
- Do not use with extension cords. As with any electrical product the use of extension cords* could adversely affect roaster functions and dramatically extend roast times. Do not place the Behmor 2000AB Plus, on or near hot gas and/or electric burners, in a heated oven or in close proximity to easily flammable material. *Ohms Law – Ohm’s law – Wikipedia
- Do not use high chaff green un-roasted coffee. The use of such items may cause the roaster’s functions such as the smoke suppression feature, safety features and roast times to be negatively impacted. We recommend you use only reputable bean suppliers or those on our approved bean supplier list.
- Never exceed the recommended maximum roast capacity of 1 pound (16 ounces or 454 grams.)
- It is the user’s responsibility to be 100% sure all connections are secure and that the lid and latch to the roasting drum, and door to the roasting chamber have all been closed and secured properly before any use.
- Never roast coffee past 10 seconds into 2 nd crack. Past this point the beans could ignite. If you see heavy smoke, immediately cool the roast.
- If you see a bean fire, turn off and unplug the Behmor roaster. Do not open the door until it has cooled down. To avoid risk of electric shock, never put water in it, or on it, to cool it down or stop it.
- Do not use any attachments, power boosters/ transformers (aka Variacs) and/or similar items or make any modifications that are not explicitly approved by Behmor Inc. in, on, or to the Behmor roaster. Using such items or making modifications is strictly prohibited and automatically voids all warranties and relieves Behmor Inc. of any/all liabilities arising from such misuse and tampering.
- Use extreme caution when working near the hot surfaces and heating elements. This includes: front door, top, back, exhaust, exhaust covers and sides of the Behmor 2000AB Plus. Do not touch hot surfaces without adequate oven mitts or gloves. Use care when removing the chaff tray as it too becomes very hot.
- Never open the Behmor roaster front door when the roasting elements are on.
- Unplug the Behmor roaster from the outlet when not in use or cleaning. To disconnect the Behmor 2000AB Plus, make sure it is not running, then properly/firmly grip the plug and pull from wall outlet. Do not pull or tug on the power cord.
- Make sure the roaster is fully cooled when cleaning. Never spray the quartz heating elements when hot.
Do not clean the quartz heating elements. - Do not clean the interior with any metal cleaning pad or any cleaning solvents containing caustic chemicals or abrasives. Simple Green is our recommended cleaner, however other non-caustic, non-abrasive cleaners can also be used.
- Unplug the Behmor roaster before replacing the interior light bulb.
- Do not place or store any objects or material other than items supplied by Behmor Inc. such as the roasting drum and chaff tray on or in the Behmor roaster.
- The coffee roaster is not intended for use by persons (including children) with reduced physical, sensory or mental capabilities, or lack of experience and knowledge, unless they have been given supervision or instruction concerning use of the coffee roaster by a person responsible for their safety.
- Always UNPLUG the roaster after use, and children should be supervised to ensure that they do not play with the coffee roaster
If the power cord is damaged, it must be replaced by the manufacturer, its service agent or similarly qualified persons in order to avoid a hazard.”
DO NOT ATTEMPT TO ALTER ANY SAFETY FEATURE of the Behmor roaster. To do so voids all explicit and implied warranties /guarantees and relieves Behmor Inc. of any/all liabilities arising from such misuse and tampering.
Remember: You control the roaster.
Never leave the Behmor roaster unattended when in use.
The Behmor roaster is NOT a set and walk away device!!
Never open the Behmor roaster front door when the roasting elements are on.
Preset times and programs are merely estimates and manual cool buttons are provided so the user can cease the roast at any time. It is your responsibility to act and use the Behmor 2000AB Plus in a safe manner as described in all sections of the manual including Safeguards and Warranty.
Online Registration: http://behmor.com/contact-us/
Check Regularly for Manual Updates: http://behmor.com/knowledge-base/
Technical Support: http://behmor.com/contact-us/
IMPORTANT NOTICE: Behmor Inc. reserves the right to make changes to its products or to discontinue any product or service without notice. Further Behmor Inc. advises its customers, distributors and potential customers that it is their responsibility and theirs alone, to obtain the latest version of relevant information via our website (www.behmor.com) or Behmor Inc. agents.
Part 2: Know Your Roaster
Many questions can be answered by visiting our Knowledge Base at: https://behmor.com/knowledge-base/
In the box you should receive a roaster, roasting drum, chaff tray, and cleaning brush.

Roasting Drum: The roasting drum opens at one end to be filled with green coffee beans. One end has a square peg (red arrow- #1), which can only fit into the motor drive (inside right-not shown). The other end has a grooved round peg (blue arrow- #2) that fits into the roasting drum slot (purple arrow- #3).
Chaff Tray: The chaff tray collects chaff that falls from the roasting drum or is pushed into the tray by the cooling fan. The tray can also be used as a “dust-pan.” Before inserting the chaff tray, check that the flap is in a “roast” position. It should be pointed slightly downward so that as the roasting drum rotates, it will not catch and jam. Next, depress the spring-loaded handle downward (see below). Slide the chaff tray under the roasting drum, releasing the handle after the tray is in place.
Proper Chaff Tray Placement: To ensure the chaff tray does not impede the rotation of the roasting drum, proper placement is critical.
Cleaning the Chaff Tray: Remove the chaff tray by depressing the handle to flatten the vanes and slide the tray out of the chamber. Swing the flap up (shown below in 4b) from its “roast” position (4a) to allow the tray contents to be dumped. Remember to move the flap back into a downward “roast” position (4a) in preparation for your next roast.

Control Panel and Functions:

Roast Cycle: The system will roast according to the Profile you have chosen, taking into account how much you are roasting and any additional time you have added. When the roast time has reached 59 seconds remaining, the digital display will blink on and off. If you desire to add time, you can do so (up to Profile maximums) until the display reads 00:01. If you allow the system to go to 00:00, it will automatically go into it’s pre-programmed cooling cycle.
Roast Weights: Enters the weight of green coffee beans to be roasted. These buttons will also “reset” the system to the default programs at any time before your roast has been started.
Programs- New Features+
Time Increments: Add or subtract time on roast programs prior to Start or at any point during roast cycle. Pressing “+” adds 15 seconds, “–” subtracts 10 seconds. Or with added C Button Feature- See Pages 9, 10, 12 and 13
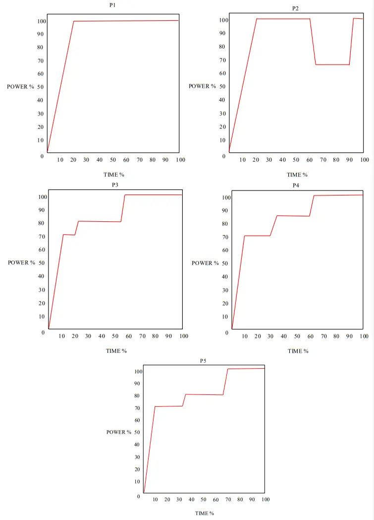
Profiles: Denotes how heat is applied to the beans. P1 is the hottest profile, thus fastest roast time. P5 is the most delicate of the profiles the slowest roast time. See “Profiles” chart for details on heat applications along with “Tips” section for more details. See Page 9 for Manual Mode details Start: Starts the roasting cycle.
Cool: Allows the user to stop a roast at any time and begin cooling the beans.
Light: The switch to turn the roast chamber light on and off.
OFF: Shuts off the roaster. Do not press OFF during the roast cycle except in an emergency situation (such as a bean fire). Pressing OFF before the roast cycle is complete could lead to excessive smoke and create a fire hazard.
Cooling Cycle: The system has two cooling cycle programs, Manual and Automatic. The Automatic cooling cycle starts when the roasting timer goes to 00:00. When cooling begins, the display will show the countdown time for cooling. There is also a manual cooling cycle option available. Should you decide at any time to end a roast, simply press the “Cool” button and cooling will begin. As with automatic cooling, the system timer will reset and show a new countdown for the cooling cycle.
New***Unattended Safety Shutoff Feature (Err7) – See page 9
Each system’s function has been designed for a reason. It is imperative you allow the system to perform as designed for optimal performance and longevity. This is especially true of the cooling cycle. Failure to comply with these recommendations or those listed in the Important Safeguards could result in a potential safety hazard. If you do not understand a function or parts of the system, email us at [email protected] and we will do our best to answer any questions you might have.
Part 3: System Preparation, Start-up and Programming
System Check: To ensure all functions are working properly press each button within each group in the following order:
- Press all “Weight” buttons starting with 1/4, 1/2, to 1, noting time in the display changes.
- Press the “Profiles” buttons starting with P1 through P5, noting changes on the display.
- Press each time increment (+ then -), Light, Cool, then OFF.
- Start will be tested in the next step.
Preparing the Behmor roaster for first Use: Before the first time you use your roaster, please remove the cleaning brush from the roasting drum, and remove stray pieces of packing material from the roasting chamber, and clean the interior with a moist cloth.
Press:![]()
This procedure, also referred to as a dry burn, is necessary to help eliminate any residue left in the roaster during the manufacturing process while also serving to “season” the roaster and door gasket. During the first few roasts you may see some very faint smoke from the exhaust or gasket area, but this should cease as the system selfcleans, seasons and fine-tunes itself. This same procedure is used for periodic system self-cleaning coupled with Simple Green or other non-caustic, non-abrasive cleaner, as described later in “Part 6: Maintenance.”
Getting Started: Insert ¼ lb. of green coffee beans in the roasting drum, close and make sure the roasting drum clasp is securely in place.
Next, carefully place the roasting drum into the roasting chamber as shown above, inserting the right end (square peg – red arrow in diagram) into the motor drive while laying the left end (round peg with groove – blue arrow in diagram) onto the holder. You may find the square peg requires slight rotation of the roasting drum for it to slide fully into place. You will know it is place when the left (round) side’s groove drops into the holder’s cut away. Always double-check to ensure the roasting drum is closed and properly in place.
Install the chaff tray by gently depressing the spring-loaded handle downward, slide it into the roasting chamber until it goes no further, and release the handle. Improper placement can prevent the roasting drum from rotating properly, causing a jam. (See Chaff Tray Instructions above for further details)
Close the roaster door ensuring it is closed tightly.
Preheat: We’ve found through testing, a more robust roast can be achieved by doing a 1:30 minute preheat** of the system. Press any weigh and then Start. Allow the system to run for up to 1:30 minutes. Press OFF, insert roasting drum, tray and start your roast. Remember to use caution while working around hot surfaces. Preheat for a maximum 1:30 minutes. Longer times can activate a safety feature that will prevent starting the roast!
*Whether new to, or experienced with roasting coffee, start off by roasting at least four ¼ lbs batches on P1 to begin developing an understanding of the subtle nuances of roasting coffee with the Behmor, including the snapping sounds and aromas associated with a completed roast described in “Section 4: Roasting Coffee.” Once comfortable with the roaster, migrate to a few 1/2lb roasts and finally to 1 lbroasts if you desire. Always remember to think about where your roast will be in 15 seconds as well use our Key Tip (#3) found in “Part 5: Tips.”
NEVER START with quantities above ¼ lbs. when first getting to know the roaster!!!
*** New running out of time Beeper Feature- :15 left you will hear a loud “BEEPING” 5-times to warn you the roast is about to end.
Many questions can be answered by visiting our Knowledge Base at: https://behmor.com/knowledge-base/
Select and Set Roasting Profile (All First-time Users and Beginners):
Auto Mode Profiles:
Profile P1 (Default) – Hard Bean (Highest Heat Profile)
All Centrals, Peruvian and Colombians
Press appropriate weight button (1/4, 1/2, to 1), then press Start button
Profile P2 – Hard Bean
All Centrals, Peruvian and Colombians
Press appropriate weight button (1/4, 1/2, to 1), then press P2 button, then press Start button
Profile P3 – Soft Bean, Low Grown, Espresso Blend
Brazilians, Africans, Southeast Asians, Malabar*, Jamaican Blue Mountain and Yauco Selecto (Puerto Rican)
Press appropriate weight button (1/4, 1/2, to 1) then press P3 button, then press Start button
Profile P4 – Soft Bean, Low Grown, Espresso Blends
Kona and other low grown island coffees (P4 just into 2nd crack, and P5 for shy of 2 nd crack)
Press appropriate weight button (1/4, 1/2, to 1), then press P4 button, then press Start button
Profile P5 – Hawaiian/ Island Coffees- City/City+ (Lowest Heat Profile)
Kona and other low grown island coffees (P4 just into 2nd crack, and P5 for shy of 2 nd crack)
Press appropriate weight button (1/4, 1/2, to 1), then press P5 button, then press Start button
Examples:
![]()
Roasting times will vary according to voltage, profile setting. When using settings P3-P5 users will need to add time via either the “C” or +/- buttons.
We strongly urge users to utilize the
button (pages 9, 10, 12 and 13), as it allows the user to reset and extend time in larger increments, and addresses the unattended feature as well.
See further data on Pages 11, 12 and 13 – “Part 5: Tips” on voltage/ time and FAQ, pages 16 and 17
Behmor Control Panel Features, Beeper & Auto-Safety Shutoff (Err 7)
The New Program, once a roast cycle is begun, gives you the ability to:
- Read thermistors by pressing
A (exhaust channel temp once exhaust fan is active mid-roast) or B (chamber wall temp) **These temps ARE NOT bean temps and for information /correlation purposes only. Never gauge degree of roast based on these temps. - Reset time to Rosetta Stone times (Part V Paragraph 3 manual) – C button
- Change motor speed (D button)
- Change power to the elements in increments:
P1 P2 P3 P4* P5* 0% 25% 50% 75% 100% - Auto Safe / Unattended switch – a safety feature that requires user interaction otherwise an err7 message will appear.

Auto Safety/Unattended Shutoff Feature (Err 7)
At 75% into any roast, based on standard system default times* the timer will start blinking un:30..29..28 etc., with loud BEEPING sound to advise the user they have 30 seconds to press START otherwise it will automatically go into cool flashing err7. This is a required safety feature in both Automatic or Manual Modes.
Rosetta Stone “C” Button Feature (for more details and Tips see pages 10, 13 and 14)
Press C (for crack as in first) and it will reset the timer according to weight as per our “Rosetta Stone” times which are associated with approximate time it takes to go from the first crack of 1C to start of 2C. It is merely an approximation but provides users better understanding of where they are in the final stages of a roast cycle. It also can be used to add time in larger increments.
Manual Mode
Begin a roast (Weight – desired, then Press Start), once a roast has begun at any point press either P1 – P5 to go into Manual mode
- Press P1 – P5 to change power- whatever is pressed “blinks” to denote which setting
a) P1 – P3 recommended settings for finishing a roast
b) P4 – P5 recommended for use ONLY in early (drying) phases of a roast, using P4 – P5 after beginning
of 1C (first crack) when combined with bean mass heat will possibly lead to bean scorching - Change Motor speed – press D (drum)
- Reset time to weight (Rosetta Stone) – press C
- Press 1 at any time to return to Auto Mode (Auto mode runs simultaneously with Manual Mode- should you toggle back to Auto the time left/ roast cycle will be the same as when you left Manual mode)
Recap- NEW features activate ONLY once a roast cycle has begun:
In Auto (default) all buttons act the same as in current system except ABC, for temp readings and time reset.
In Manual (only functional after starting a roast)
Button 1: Returns system from Manual mode to Auto (defaults).
Buttons A – C A- Exhaust Temp B- Side Wall Temp (page 9) C- Resets timer (see pages 9 and 13)
Button D – drum / cylinder motor speed toggle from standard (16 rpm) to high (32 rpm)
Buttons P1 – P5 power to elements: P1- 0, P2-25%, P3-50%, P4*-75%, P5*-100%
All other buttons ¼, ½, +, -, Cooling, Light, Off remain the same in either program.
Standard Default times are 18:00 for 1 lb. 12:00 for ½ lb. and 8:30 for ¼ lb.
NOTE: A System Self-Test can be performed by unplugging the roaster; press and hold START, plug in and release START. The Self-Test will display Program version, check all functions to include display. It will run a full check once.
Part 4: Coffee Roasting
About Roasting:
For those new to roasting coffee, you will find it is not simply done by pushing buttons on a piece of equipment. It is an interactive process that relies heavily on the senses and decisions of the user. First, you must use your sense of sight to recognize the transition of the beans changing from a green to brown color and the presence of light colored smoke to determine you are finished when taking the roast to a darker level. Then, you must use your sense of hearing to identify the sounds the beans make as they roast. Coffee beans possess a natural “pop up thermometer” in the form of different cracking sounds at defined points in the roasting process Lastly, you must use your sense of smell to recognize distinct changes in aroma from green and grassy to a roasted coffee smell as the internal temperature rises in the beans just prior to first crack, and light smoke aroma when taking the beans into second crack for darker roasts.
The terms “First Crack” and “Second Crack” are terms frequently used in coffee roasting and defined as:
First Crack: These are the first distinct popping sounds indicating that roasting is beginning to occur as the bean structure changes with expansion, and they emit their water content via steam. These sounds may be sporadic or may occur continuously for around one minute. This is the point at which the sugars within the bean start to caramelize.
Second Crack: The second distinct set of sounds will also be initially sporadic, but usually more rapid, pronounced and higher pitched than the sounds of the first crack. If allowed to continue into second crack the interval between cracks will become increasingly rapid, creating a crackling sound similar to rice cereal after milk has been added. Extreme Care must be taken at this point to be ready to press the “Cool” button, as smoke levels will rise rapidly. Never roast past 10 seconds into 2nd crack. If heavy smoke is seen, begin cooling immediately.
The Progression from First Crack to Second Crack:
The first series of cracks will last somewhere between 1 and 1.5 minutes depending upon on bean type and quantity of beans being roasted. Decaffeinated and aged or monsoon coffees will go through these stages and become darker more quickly than regular coffees. Think of this series of cracks as your alarm bell. At this point your coffee will be tan in color and, depending upon one’s own tastes, or bean type, can be stopped any time from this point on. 2nd crack is not a requirement for ending your roast.
There is often, but not always, a silent period between first and second crack. During this period, the coffee is taking on more of its distinct flavors and darker colors. Depending upon one’s own tastes and bean type, the roasting cycle can be stopped and cooling begins.
If you have chosen to try a darker roast, you will continue beyond this point and hear the cracking sounds start up again. This is second crack. Again, the sounds will initially be irregular. Now is when most of the greatest nuances and flavor characteristics emerge. Most excellent single origin coffees and some blends invariably show their greatest character when sent into the cooling stage at the start of or just prior to the start of second crack. If you do choose a Full City+, we strongly recommend you reduce the amount of coffee you are roasting to 336 grams/ 12 ounces for greater control.
At this time manual cooling can be started by pressing “Cool” if the timer has not run out and activated the default cooling cycle.
Important Reminders About Roasting:
- You are in control of the roaster so never leave the roaster unattended when roasting coffee. The Behmor
2000AB Plus is NOT a set and walk away device. - Never roast past 10 seconds into 2nd crack.
- You can end a roast at any time by pressing the cool button.
- Allow 1 hour between roasts
- In Case of a bean ignition, never open the chamber door. The Behmor 2000AB Plus should (but may not) automatically react to a bean ignition and shut down with an error message. Once the system has performed a shutdown, unplug the roaster and, if possible, move it outdoors for proper venting. Causes of such an ignition would likely be traced back to using a high chaff coffee or allowing a roast to go well past 10 seconds into 2nd crack. As instructed earlier, we strongly advise against the use of high chaff
producing coffees or roasting past 10 seconds into 2nd crack. - Unattended Safety Feature/ Err7: see page 9
Part 5: Tips
- Always forward think your roast by 15 seconds. This is the amount of time that is required to start reversing the trend from roasting to cooling. Whether new to, or experienced with roasting coffee, start off by roasting at least four (4) 10grams (P1 profile) batches to begin developing an understanding of the subtle nuances of roasting coffee with the Behmor 2000AB Plus.
- Never gauge your degree of roast by the appearance or non-appearance of “oils”. The Behmor, being a drum roaster (much like professional coffee roasting equipment) does not tend to form visible “oil” during the roast but rather oil droplets will start to appear in about 24 hours, building up further after several days of rest. If you see heavy smoke, bluish smoke or are in a heavy rolling 2nd crack your beans are “dark” and in imminent danger of igniting. Press COOL.
Button- Key Tip: ‘Rosetta Stone’: To better anticipate a roast hitting 2 nd crack and for additional roast. (Further details page 9, 10, 12 and 13)- The “C” button (defined further page 9 and 10) allows you to more accurately control and understand where you are in a roast, especially in cases where you have a bean type that migrates from 1C to 2C seamlessly. This also helps to prevent you from over-roasting your beans. The times are approximately the time it takes from start of the very first snaps of 1st crack (1C) to the start nd of 2 crack (2C) for regular coffee. Decaf and aged coffees, such as Malabar, roast faster and get darker more quickly In order to prevent possible issues with over-roasting, we have built in maximum roast times associated with each profile. If you should happen to be roasting at P1, the system is designed to prevent you from allotting more than 20:30 minutes roast time. This is a safety feature.
Max Program ‘A lb. 1/2 lb. Lb. P1 10:00 13:30 20:30 P2 10:30 14:30 22:30 P3 11:00 15:30 23:30 P4 11:30 16:30 0:30 P5 12:30 17:30 25:30 Default Program ¼ lb. ½ lb. 1 lb. A 8:30 12:00 18:00 B N/A N/A N/A C N/A N/A N/A D N/A N/A N/A - Quicker cool-down option: After the beans have ceased snapping (approximately 1:30 minutes after cooling has started), while keeping the system on cool, simply open the front door. Doing this will allow a greater airflow over the beans. The one drawback is that a small amount of chaff will blow out past the chaff tray. NEVER STOP THE SYSTEM IMMEDIATELY AFTER COMPLETING A ROAST TO REMOVE THE ROASTING DRUM AND COOL THE BEANS. Stopping the system before reasonable cooling may damage the system’s internal electronic components.
- Know your beans. Hard Bean (SHB – strictly hard bean or HG- high grown) vs. Soft Bean is based on the altitude at which beans are grown. Bean suppliers often post data about grades, such as SHB, HG, etc. when describing the bean characteristics.
A few examples of standard Profiles for types of bean are:
P1-P2: All Centrals, Peruvian and Colombians
P3: Brazilians, Africans, Southeast Asians, Malabar*, Jamaican Blue Mountain and Yauco Selecto (Puerto Rican)
P4-P5: Kona and other low grown island coffees (P4 just into 2nd crack, and P5 for shy of 2nd crack)
* Due to types of processing, aged and Decaffeinated Coffees roast quicker and remind users, as discussed earlier, to never gauge a degree of roast by the appearance of oils or non-appearance of oils.
The
Button function was originally intended to instantly reset the timer to the approximate time it takes to go from 1C to 2C using P1 in the P1 Auto mode, but it also does so much more!
Did you know that if you Press “C” when you are even close to the time window of the unattended safety feature, it by-passes it?
In cases I prefer to roast 12 ounces/ 336 grams as the ideal batch size for 4 days-worth of coffee. In those cases, I hit “C” with about 4:45-5:30 left on the timer and it jumps to 3:10, thus bypasses the unattended safety feature because this tells us you are there and you are actively interfacing with your roaster – which is our goal!
Another handy use of the “C” Button is in low voltage situations, you can press it numerous times towards the end of the roast, extending available roast times.
**Professional Sample Roasting Tip** Roast with Manual Mode to finish:
Close door, press desired Weight: Example
then
(default Auto P1)
Once user hears First Cracking sound wait appx :10-15 seconds
Press:
then ![]()
** For FC you may need to add time using
or![]()
Press
as needed
**Reason you are adding time is you are cutting power using
to 50% which sustains heat, but gently allowing beans exothermic momentum to work and prevent scorching beans.
Recap- NEW features activate ONLY once a roast cycle has begun
In Auto (default) all buttons act the same as in current system except ABC, for temp readings and time reset.
In Manual (only functional after starting a roast)
Button 1: Returns system from Manual mode to Auto (defaults).
Buttons A – C A- Exhaust Temp B- Side Wall Temp (page 9) C- Resets timer (see pages 9 and 13)
Button D – drum / cylinder motor speed toggle from standard (8 rpm) to high (16rpm)
Buttons P1 – P5 power to elements: P1- 0, P2-25%, P3-50%, P4*-75%, P5*-100%
**All other buttons 1/4, 1/2, +, -, Cooling, Light, Off remain the same in either program.
**Standard Default times are 18:00 for 1lbs, 12:00 for 1/2lbs and 8:30 for 1/4lbs
**New running out of time Beeper Feature- :15 left you will hear loud BEEPING 5-times to warn you the roast is about to end.
Many questions can be answered by visiting our Knowledge Base at: https://behmor.com/knowledge-base/
Part 6: Maintenance
- After every five roasts* we recommend you do a system dry burn and interior cleaning. Clean the interior with Simple Green or another non-caustic, non-abrasive cleaner (Never use Easy Off, Bon Ami, Ajax, or Comet or similar abrasive cleaners). First lightly spray the metal sides only (always avoid spraying the roasting elements whether hot or cold), allow to sit a minute, then wipe clean. Insert the empty roasting drum and chaff tray, close the front door, press “1/4” then press “Start”. Let the system complete an entire roast and cool cycle. This is done to ensure there is no sediment build-up blocking a sensor. To clean your roaster, first make sure it is unplugged! *Darker roasts require more frequent cleanings and dry burns.
- It is highly recommended you keep the area in the back lower right corner of the roasting chamber (Fig. A, red box) clean of all oils and coffee roasting sediment. This ensures the thermocouple properly reads the roaster temperatures and keeps roasts times normal.

- We also recommend that you clean your DC fan’s impellors/ electronics chamber every four months or sooner. In some locations, such as areas of high dust, or other airborne particulates, the impellor blades of the fan/ PCBs will get coated with buildup. This can cause the system’s roast times to become extended as adequate and proper air circulation is restricted or cause component failures.
a. Begin this procedure by removing the six screws holding the right outside panel in place, using a Philips head screwdriver.
b. Once the panel is removed, a few strong gusts of air on the impellors should remove the buildup. We then suggest you plug in the roaster and press cool. Clean all areas covered with dust to include PCBs. to ensure the fan is rotating properly. If not, contact tech support.
c. While performing the above also we recommend removing the exhaust channel cover (see Fig. D) and cleaning any lint, dust, or stray chaff from the back of the cover and exhaust channels. This maintenance will ensure air is allowed to flow freely and not clog exhaust holes.

| Part 7- FAQs My system stopped and an error message reads: 1.Errl 2.Err2 & Err3 3.Err4 4.Err5 5.Err6 6.Err7 ** | 1.Thennostat is damaged or system has been stored in sub 46F environments* 2.Coffee beans have burned or the oven chamber has experienced an unacceptable rise in heat 3.Draw fan is damaged 4.DC fan is damaged 5.DC motor (roasting drum) is blocked or damaged. 6.** Err7 denotes unattended safety feature activated-see page 10 | If an errl-6 message appears, immediately stop using the Belunor. Then visit our website’s support pages for solutions and ways to contact tech support. Always check for updates on our web site *bring the unit into a warm environment to allow sensors to warm & reset. This is a storage issue only |
| In cooling I noticed a little smoke leakage. | We have worked to seal the door area and other tiny cracks, but to completely seal the system is impossible. Wisps may be visible | We advise gently cleaning the door seal on a regular basis with a damp cloth to ensure no chaff or other particulate matter prevents a proper seal. |
| When roasting, I noticed a little smoke from the exhaust. | I. Occasionally, whether due to the quality of the beans, the darkness of the roast or the quantity of the roast, small amounts of smoke may be seen. 2.During the first couple of roasts there may be a little smoke as the system “seasons” itself. 3.Wiring could be old and doesn’t supply a sufficient amount of voltage to run the system properly. | I. Reduce the quantity of the types of bean that give off smoke. 2.On subsequent roasts the smoke should go away. 3.Try different power outlet for a line carrying a greater amount of voltage. |
| Sometimes I notice, even when I’ve added time, I can’t complete a roast to a desired degree. | In some instances, depending on the wiring, there can be voltage issues that are outside our control. In other instances, sediment has been allowed to build up and the interior needs cleaning with Simple Green. See “Section 6: Maintenance “ | 1.Try using a different outlet. In some cases, an outlet only a few feet away can have better voltage input and sustainability. 2.Try roasting at a different time of day. As is true throughout the country during summer, the afternoons are when the largest power consumption occurs. |
| I tried the above and I still have the same problem. | As stated above in some instances power being supplied by your local power company could be an issue and beyond our control. | Contact Tech Support via email and ask for Short Weight details |
| While the chamber was still warm I opened the front door and noticed the gasket is wavy in appearance. | The gasket is attached using tiny nipples and not glued so the expansion and contraction caused by heat up and cool down has no ill effects on the materials | |
| When the roasting drum is turning I hear squeaking. | Like any metal-on-metal rubbing, noises can be emitted over time. | Take a Q-Tip, place a drop of food grade oil on it, and rub the Q-Tip the grooved area (round peg) of the roasting drum |
| Pad 7- FAQs cont | Yes, this is simply an indication that the system has reached its set-point In the temperature profile. | |
| I notice my roasting elements sometimes shut off in the middle of a roast, is this normal? | ||
| Does the on/off cycle of the elements have a negative effect on the coffee? | No. Before using any feature we had the systems tested by professionals, the quality of the cup was maintained and not negatively affected. | |
| What is a safe time to rest the roaster in between roasts? | We recommend 1 hour between roasts, to safeguard the critical system components. | Wait 1 hour between roasts. |
| The square peg on the right side of my roasting drum sticks or does not fit well. Is my roasting drum defective? | No. On rare occasions too much stainless steel is deposited during the coating stage. | Take an emery cloth, emery board or very fine file and lightly remove any buffs or high points on each side. In general, the square hole will also expand to accommodate the extra coating within a few roasts |
| My roasting drum is stuck in the square peg and I’m afraid to pull on it. What should I do? | As stated above, the stainless-steel coating is likely too thick. | DO NOT pull on the roasting drum. Take a Q-Tip and apply a drop of food grade oil to the square peg where it enters the receiving end. Now gently move the roasting drum |
| My roast times seem to be longer than they should. Do I have a defective unit? | No. There are many factors influencing roast times. Those factors include low voltage, old wiring and significant voltage drawdown. Other factors: 1.Beans stored at temperatures of 65 F (18.3 C) or below, such as in a garage or refrigerator. 2.Use of an extension cord that would cause a voltage drop 3.Using the roaster in a cold environment (below 65 F/ 18.3C). 4.Roasting in unusually high heat. The roaster is designed for indoor use only. | The way to help us determine if there is an issue with the roaster is to do the following: Take 1/2 pound of green beans that are no cooler than 65 F (183 C), in an environment that is no cooler than 65 F (including the roaster) and roast using 400g P1 Program A. E-mail us ([email protected]) the times showing on the display when the FIRST crack of 1st was heard and the FIRST crack of 2nd. This data will help us determine your system’s status… |
| I like my beans oily but don’t see this on the beans when I do darker roasts. What can I do? | The design of the Behmor will allow you take roasts to a level that will generate oils. Due to the way heat is applied in this roaster, the oils appear only after several days of rest. | Roast your beans, then let them rest/degas and the oils will appear. Never gauge your degree of roast by the appearance of oils. Aroma is a better indicator of roast level. |
| When I’ve finished roasting and even after pressing off, I can hear a very faint humming sound. | What you are hearing is the hum of the system’s transformer. This is normal. | Always unplug your roaster when finished roasting. |
| Are there other reasons why I should unplug my roaster? | Yes. One is that power surges in the lines can destroy electronic circuitry. By unplugging the roaster, we use less energy and place smaller demands on the power grid. | Always unplug your roaster when finished roasting. |
Limited Warranty-The Behmor Coffee Roaster
12/6 month Limited Warranty: Behmor Inc., warrants to the original owner of this product that it is free from defects in material and workmanship for a period of 12 months from date of purchase for the Behmor 2000AB Plus roaster and 6 months from date of purchase for roasting drum and chaff tray, providing the Owner Registration Card has been completed and returned to Behmor Inc., within thirty (30) days from the original purchase date or Owner Registration at www.behmor.com has been completed online within (30) days from the original purchase date.
The manufacturer’s obligation will be limited to repairing or replacing F.O.B. (address city state zip) any part(s) of the product which is/are defective.
Such warranty will not apply to defects resulting from commercial use, tampering, cosmetic damage, acts of God, accidental breakage, abuse, negligence, neglect, and/ or misuse. This would include damage to the system caused by bean ignitions and failure to properly maintain the Behmor 2000AB Plus as referenced in the manual and/or Updates posted on the Behmor Inc website located at www.behmor.com
If the product is defective within the FIRST 30 days of the purchase date, please contact Behmor Inc. and they will provide you with a return label, a return authorization and/or send you a new part(s) to replace the defective one(s).
If you must return the product for reasons of malfunction after the first 30 days but within the 12-month warranty period, the following action and steps are required:
- The machine must be packaged securely to protect from damage or breakage in shipment. Behmor Inc. accepts no responsibility for damages occurring in the shipping process. We highly recommend insuring the shipment in case the shipping firm damages the roaster.
- Email Behmor Inc. to obtain a Return Merchandise Authorization (RMA). Then ship prepaid to Behmor Inc., by the most convenient method with the RMA clearly noted on the outside of the box. Also include $35 for return shipping.
- If you return the product after the 12-month warranty period, enclose $369.00 plus $35 in US Dollars, for shipping, handling and insurance and Behmor Inc. will replace/repair your machine and return it to you.
Even if not required, the rights in this warranty are granted to you. This warranty gives you specific legal rights, and you may also have other rights, that could vary from state to state. Return of Owner Registration Card is not a condition precedent to warranty coverage.
Behmor Inc., will not be held liable for any special, incidental, or consequential damage, resulting from possession, use, or loss of use of this product either directly or indirectly.
KEEP ORIGINAL SALES RECEIPT AS PROOF OF PURCHASE- WARRANTY IS VALID ONLY WITH THE ORIGINAL PROOF OF PURCHASE RECEIPT FROM BEHMOR AUTHORIZED RESELLERS
No returns will be accepted without prior authorization and company issued RMA number.
To receive a Return Merchandise Authorization (RMA) email Customer Service at [email protected] for RMA instructions
Date of Purchase _____________________
Serial Number ______________________
The Behmor 2000AB Plus is intended for indoor use only.
This warranty is non-transferable
Auto Mode Roast Profiles / Power Application**

** above profile data is for illustrative purposes only and intended to solely provide basic concepts of how power is applied under normal conditions.

Joe Behm is passionate about coffee, technology, and philanthropy-and he has found a way to make all three work together. He has led his company, Behmor Inc., to create multi-award winning high-tech products with a story behind them. He regularly travels to foreign countries to offer tastings to farmers and talk about their work. His passion started after he developed his flagship product, the Behmor Coffee Roaster, when he followed the coffee bean back to its origin. He wanted to discover everything he could about it, literally getting his hands dirty with the soil it grows in.
Bringing the cup back to the coffee farmer

Discovering that many farmers in Guatemala and other coffee producing countries hadn’t ever tasted the end result of their hard work, Joe partnered with Anacafe to provide Behmor Customizable Drum Coffee Roasters to community co-ops and training centers, where farmers can connect and get support.
Now farmers can roast and cup their own coffee. Learning how their coffee tastes better with improved soil and growing conditions ultimately means farmers can earn a better living with their product. The program has spread from there.
Through these efforts, Behmor Inspired has:
- Supported over 200,000 people in Guatemala alone and over 320,000 total worldwide
- Donated nearly 1100 roasters to national coffee associations
- Toured worldwide and donated to associations in Guatemala, Costa Rica, Honduras, El Salvador, Peril, Mexico, Dominican Republic, Colombia, Kenya, Rwanda, Burundi, Ethiopia, Uganda, Philippines and India
BRAZEN® PLUS 3.0
COFFEE DELIVERED AS YOU WANT IT

- Capacity: 1.2L / 8 Cup (uses 10 Cup paper filters)
- Variable Temperature Controls
- 190°-210° F (90-99C) 1° increments
- On Board System Temperature Calibration
- Altitude Correction
- Power Controlled Temperature Glide
- Full Saturation Water Dispersion Spray head
- Pre-Soak function w/User Controlled Time Setting
- Stainless Steel Water Reservoir \
- Stainless Steel carafe
- Manual Water Release Feature
- Auto-Timer
- Memory (on board) – stores system settings
- Sleep Mode- power saver

Behmor Inspired®
Be more Connected
V25.2 7.12.2021 Gen 2000A13 120v





















