AN051 Input Capacitor Selection MP2130

Product Information
Input Capacitor Selection Guide for MP2130
The MP2130 is a monolithic step-down switch-mode converter that comes with internal power MOSFETs. It can provide a 3.5A continuous output current with excellent load and line regulation from a 2.7V-to-6V input voltage. The device has a built-in soft-start feature that helps to ramp up the output voltage at a controlled slew rate, preventing overshoot at startup. The MP2130 also includes a soft-stop time of typically 1ms when disabled, which ramps down the internal reference, thus linearly discharging the output.

Abstract
This application note provides a guide to select an appropriate input capacitor for the MP2130. It describes the source of overshoots and offers a method to select a suitable input capacitor to protect the IC from overvoltage damage.
Why Overshoot Voltage Occurs
Overshoot voltage occurs because of the sudden discharge of the inductor current during the soft-stop period. To prevent overvoltage damage, a large input capacitor can absorb overshoot voltage.
Choosing an Appropriate Input Capacitor
To ensure that the LS-FET current does not exceed the negative current limit, use the average value to calculate the inductor current. If the negative inductor current is less than the negative current limit, then the output voltage can be regulated from the nominal value to 0V within the fixed soft-stop period. During soft-stop, estimate the lowest negative inductor current using the equation provided in the manual.
Product Usage Instructions: Input Capacitor Selection Guide for MP2130
To select an appropriate input capacitor for the MP2130:
- Read the manual carefully to understand the source of overshoot voltage and the need for an input capacitor.
- Calculate the average value of the inductor current to ensure that the LS-FET current does not exceed the negative current limit.
- Estimate the lowest negative inductor current during soft-stop using the equation provided in the manual.
- Select an input capacitor that can absorb overshoot voltage and meet the minimum capacitance value recommended in the manual.
- Install the input capacitor according to the manufacturer’s instructions.
By following these steps, you can select an appropriate input capacitor for the MP2130 that protects the IC from overvoltage damage and ensures proper functioning of the device.
ABSTRACT
The root cause of voltage overshoot on the input pin during soft-stop and how to select the input capacitor are introduced in this application note. Under light-load and large-output–capacitor condition, the buck IC operates in soft-stop mode and can behave as an undesirable boost circuit. This application note describes how to select an appropriate input capacitor to absorb the energy from regulated output capacitors to prevent input overvoltage. It is also useful for other Buck parts with soft-stop function.
Input Capacitor Selection Guide for MP2130
The MP2130 is a monolithic step-down switch-mode converter with built-in internal power MOSFETs. It achieves a 3.5A continuous output current from a 2.7V-to-6V input voltage with excellent load and line regulation. The MP2130 has a built-in soft-start that ramps up the output voltage at a controlled slew rate, avoiding overshoot at startup. When disabled, the MP2130 ramps down the internal reference thus linearly discharging the output. The soft-stop time is typically about 1ms.
During soft-stop, the low-side internal MOSFET switches to control the slew rate of the output voltage that follows the internal reference. Under light-load and large-output–capacitor condition, the high-side MOSFET is almost off during the soft-stop procedure. The energy stored in the output capacitor transfers to the input capacitor through the inductor. The topology changes to a boost converter with the high-side MOSFET acting as a parasitic diode, as shown in Figure 1. The boost voltage causes an overshoot on the input capacitor; sometimes this overshoot exceeds the absolute maximum voltage (VABS) of the input pin and can damage the IC. To prevent this, increase the input capacitor value to absorb this energy as per this input capacitor selection guide.
INTRODUCTION
Some special applications or the test processes need the output voltage to fall at a regulated rate for a fixed time being disabled: This feature is called soft-stop. Usually, this function causes the output voltage to fall smoothly, analogous to the soft-start. Care must be taken at light load and large output capacitor condition as there may be an overshoot voltage on the input pin caused by this phenomena. To protect the IC from being damaged by this overshoot, the input capacitor needs to be increased to absorb this overshoot.This application note describes the source of overshoots, and provides a method to select an appropriate input capacitor.
WHY OVERSHOOT VOLTAGE OCCURS
Figure 1 shows the topology change during soft-stop. During soft-stop, the low-side internal MOSFET (LS-FET) switches to control the slew rate of the output voltage, which follows the internal reference. Under light-load and large output capacitor condition, the high-side MOSFET remains on for only a short portion of the soft-stop period. When the LS-FET switches, the inductor current starts flowing from the output capacitor to the SW pin. The output capacitors CO1 and CO2, the inductor L, the LS-FET, the parasitic diode D1, and input capacitor CIN become a boost circuit. This can cause the voltage on the VIN pin to rise rapidly and overshoot, as shown in Figure 2. To protect the IC from overvoltage damage, use a large input capacitor to absorb overshoot.
CHOOSING AN APPROPRIATE INPUT CAPACITOR
a. LS-FET Current Cannot Exceed the Negative Current Limit
To simplify the analysis, use the average value to calculate the inductor current. If the negative inductor current is less than negative current limit, then the output voltage can be regulated from the nominal value to 0V within the fixed soft-stop period. You can refer to Figure 2. During soft-stop, estimate the lowest negative inductor current using the equation below:
Where INeg is most negative inductor current,
- OC is the output capacitor,
- OV is the output voltage,
- SStopt is the soft stop time.
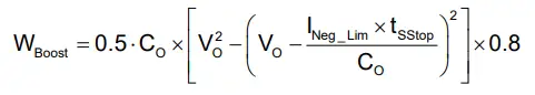
Under this circumstance, all energy stored in the output capacitor transfers to the input capacitor. Consider the conduction loss on inductor, low-side MOSFET (LS-FET) and parasitic diode, estimate 80% transfer efficiency of boost converter. Therefore the transferred energy can be calculated by below equation:

Where WBoost is the transferred energy.
To absorb this energy and protect the IC, the current input voltage plus the overshoot voltage cannot exceed VABS on the input pin. The required minimum input capacitor can be calculated below:

Where CIN(Min) is the minimum input capacitor, and VABS is the absolute maximum value of input pin.
b. LS Current Exceeding the Negative Current Limit
Sometimes the stored energy in the output capacitor is very large (when the output voltage is high, or the output capacitance is large, or both). The IC can not regulate the output voltage using the internal reference during soft stop because the negative current limit protecting the LS-FET prevents high-current conduction. In this situation, the output voltage does not drop to zero during soft-stop and the inductor current is limited by the negative current limit of the LS-FET, as shown in Figure 3.

The output capacitor discharges at the current limit. If the output capacitor exceeds CO(Max), the inductor current is limited to:

Where CO(Max) is the boundary value that the inductor current at the negative limit;
INeg_Lim is the negative current limit of the LS-FET.
Figure 3 also shows the simplified transfer mode if the current reaches the negative current limit. In this mode, a current sink of equal value to the negative current limit discharges the output capacitor. Considering the conduction loss on the inductor, the LS-FET, and the parasitic diode, estimate an 80% boost-converter transfer efficiency. Then the transferred energy can be calculated below:

The required minimum input capacitor now can be calculated:

EXAMPLE DESIGN
The following is an example input-capacitor calculation using the detailed design procedure described previously for the MP2130. The MP2130 is a monolithic, step-down, switch-mode converter with built-in internal power MOSFETs. It achieves 3.5A continuous output current from a 2.7V-to-6V input voltage. It has excellent load and line regulation. The calculations are based on the following parameters:
- VABS =6.5V
- INeg_Lim=2.5A
- tSStop=1ms
- VIN=4.5V
- VO=3.3V
- L=1µH
- CO=10µF + 470µF E-Cap.
First, the CO_Max was calculated based on Equation (4):

In this example, CO is smaller than CO_Max and the inductor current will not exceed the negative current limit. Calculate the input capacitor value using equations (2) and (3), or equations (5) and (6). The minimum required input capacitor is then:

Therefore the minimum input capacitor should be larger than 190µF, and preferably use a 330µF capacitor for this example. Below is the curve of the minimum input capacitance vs. the output capacitance for this example.

CONCLUSION
The root cause of input voltage overshoot during soft stop and how to select the input capacitor are introduced in this application note. Under light load conditions with a large output capacitor, the soft-stop mode may act as a boost circuit. This application note describes how to select an appropriate input capacitor value to absorb the energy from regulated output capacitors. The design example and procedure also help the engineers develop simple solutions based on different output capacitor values.
NOTICE: The information in this document is subject to change without notice. Users should warrant and guarantee that third party Intellectual Property rights are not infringed upon when integrating MPS products into any application. MPS will not assume any legal responsibility for any said applications.
www.MonolithicPower.com
MPS Proprietary Information. Patent Protected. Unauthorized Photocopy and Duplication Prohibited. © 2011 MPS. All Rights Reserved.



















