FOS Ribbon Driver
User’s Manual 
INTRODUCTION
Thank you for purchasing this Ribbon Driver 800. The unit is designed for LED strip light. Please read this user manual carefully before use.
What is included
- 1pc Ribbon Driver 800
- 1pc Power cord
- 1pc User Manual
Safety Instruction
WARNING!!! To reduce the risk of fire, electric shock, or injury to persons, follow this important safety instruction:
- This product is intended for indoor use only!
- Always turn off, unplug the power and allow the fixture to cool before servicing.
- Ensure that fixture is properly grounded.
- Please keep this User Guide for future consultation.
- To prevent the risk of fire or shock, do not expose fixtures to rain or moisture.
- The unit must be installed in a location with adequate ventilation, at least 50cm from adjacent surfaces. Be sure no ventilation slots are blocked.
- Make sure the power cord is never crimped or damaged.
FEATURES
- Flicker-free for film or video
- 4 working modes: DMX, Auto, Sound, Master/Slave
- 5 DMX modes: 3ch, 4ch, 6ch, 12ch, 16ch
- 4 output ports and each port can be addressed individually
- 18 preset colors with linear dimmer
- 6 built-in programs with various speeds
- 3 sound programs with adjustable sound sensitivity
- 16 x 2 digits LCD display
SETUP
Mounting
Truss/ceiling /wall mounting is available for this small controller.
IMPORTANT!!! Safety cables must always be used. The safety cable must be capable of holding 10 times the weight of the fixture.
AC Power
The fixture is designed to work on 110V/230V 50Hz. Before applying power to a unit, check that the source voltage matches the unit’s requirement.
Connection

Connect the wires of the LED strip to the terminator of Ribbon Driver correctly based on the color code of the wire.
OPERATION INSTRUCTIONS
This fixture offers 4 working modes: DMX, Auto, Sound, and M/S.
- Connect the fixtures to the main power supply.
- Turn on the power switch and the LED indication on Control Panel is lit up.
- Wait for some seconds till the system is ready.
- Press buttons to continue.
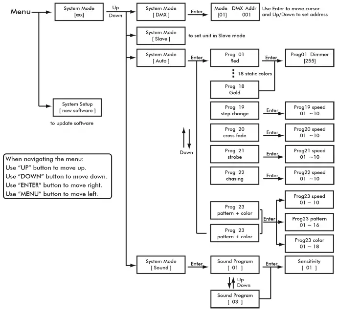
Menu Map
► System Setup [new software]
This mode is designed for the factory to upload software through the USB port. Your product has been tested before shipment. Just check the local distributor’s website if updated software is available.
► System Mode [ xxx ]
Press the MENU button till the display reads “System Mode [XXX]”, then use the UP/DOWN button to scroll through” DMX, Slave, Auto, Sound.
► DMX Mode
The unit can be operated in 3ch, 4ch, or 6ch. Set DMX address according to the DMX mode selected.
► Master/Slave Mode
For large venues, multiple systems can be run in sync as Master/Slave. Use DMX cables to link the Drivers together.
- One of Ribbon Driver 4 in the daisy chain is to be set as Master and this Master must work under Auto or Sound mode.
- Other drivers are to be set in Slave mode.
- Operate the Master Driver in Auto and Sound mode to run the whole system.
Technical Specifications
Power Input: AC110V/230V 50-60Hz
Output voltage: DC 12V or 24V Load: 200W/port, total 800W max.
Fuse: F5A/250V
Dimension: 436*235*62 mm
Weight: 5.5 kg
IMPORTANT INFORMATION!
In order to optimize the recovery and recycling of the materials that old appliances contain and reduce the impact on human health and the environment, ensure that this product is recycled at the end of its life.
DMX mode 1: 3 Channels
| Channel | Value | Function |
| 1 | 0-255 | Red Intensity 0-100% |
| 2 | 0-255 | Green Intensity 0-100% |
| 3 | 0-255 | Blue Intensity 0-100% |
DMX mode 2: 4 Channels
| Channel | Value | Function |
| 1 | 0-152 | Master dimmer 0-100% |
| 152-242 | Strobe from slow to fast | |
| 243-255 | Open | |
| 2 | 0-255 | Red Intensity 0-100% |
| 3 | 0-255 | Green Intensity 0-100% |
| 4 | 0-255 | Blue Intensity 0-100% |
DMX mode 3: 6 Channels
| Channel | Value | Function |
| 1 | 0-255 | Red Intensity 0-100% |
| 2 | 0-255 | Green Intensity 0-100% |
| 3 | 0-255 | Blue Intensity 0-100% |
| 4 | 0-255 | Strobe from slow to fast |
| 5 | 0-001 | No function |
| 6 | 002-255 | Built-in programs |
| 0-255 | Master dimmer 0-100% |
DMX mode 4: 12 Channels
| Channel | Value | Function |
| 1 | 0-255 | Port 1 Red Intensity 0-100% |
| 2 | 0-255 | Port 1 Green Intensity 0100% |
| 3 | 0-255 | Port 1 Blue Intensity 0-100% |
| 10 | 0-255 | Port 4 Red Intensity 0-100% |
| 11 | 0-255 | Port 4 Green Intensity 0- 100% |
| 12 | 0-255 | Port 4 Blue Intensity 0-100% |
DMX mode 5: 16 channels
| Channel | Value | Function |
| 1 | 0-152 | Port 1 Master dimmer 0- 100% |
| 152-242 | Port 1 Strobe from slow to fast | |
| 243-255 | Port 1 Open | |
| 2 | 0-255 | Port 1 Red Intensity 0-100% |
| 3 | 0-255 | Port 1 Green Intensity 0100% |
| 4 | 0-255 | Port 1 Blue Intensity 0- 100% |
| 13 | 0-152 | Port 4 Master dimmer 0100% |
| 152-242 | Port 4 Strobe from slow to fast | |
| 243-255 | Port 4 Open | |
| 14 | 0-255 | Port 4 Red Intensity 0-100% |
| 15 | 0-255 | Port 4 Green Intensity 0100% |
| 16 | 0-255 | Port 4 Blue Intensity 0- 100% |

















